中心议题:
- LED点阵灰度级产生原理
- LED 灰度级实现
- LED控制板的硬件实现
本文在深入研究LED 器件发光特性的基础上,介绍了一种在高位高密度LED 平板显示器上实现灰度显示的解决方案,并对该方案进行了实验验证,实验表明,通过这种方案实现的LED 灰度显示可以同时兼顾显示器的亮度和灰度。
1 LED 点阵灰度级产生原理
LED 点阵的每一个像素点由红(R) 、绿( G) 、蓝(B) 三色LED 组成,对应着视频图像的一个像素点。在与计算机CRT 同步显示时,若L ED 点阵每一个像素的红、绿、蓝LED 的发光亮度随CRT 对应像素点R、G、B 信号变化而变化,就能同步显示出相应的CRT 图像。若用灰度级来描述单色LED 的亮度变化,则灰度级越多,图像色彩就越多,层次越丰富。LED 正向伏安特性与普通二极管大致相同,电压的开启点以前无电流,电压一旦超过开启点便显示出导通特性,这时正向电流I与正向电压U 的关系式如下:

式中m 为复合因子, I0为反向饱和电流, UT =kT/e 称为温度电压当量,在热力学温度T = 300 K时,UT = 26 mV1 在宽禁带半导体中, 当I <0. 1 mA时,通过结内深能级进行复合的空间复合电流起支配作用,这时m = 2 ;电流增大后扩散电流占优势时m = 1.U 为外加电压。
图1 为LED 正向偏向电压的伏安特性图

由图1 可以看出,L ED 从导通开始直到它不被烧毁的最大电流为止,其伏安特性一般是线性的。在这个线性区域内,L ED 的发光强度基本正比于它的电流强度1有两种方法实现L ED 的亮度控制:
(1) 通过调节L ED 的正向电流,得到L ED 的亮度调制。如把L ED 的正向导通电流按一定步长调节,其发光亮度就可以分为若干个灰度级。但这种方式所需的驱动电路太复杂,在实际应用中并不可行,在此不予讨论。
[page]
(2) 控制单位时间内L ED 的导通时间。L ED具有快速时间响应特性,最高可达数十兆赫兹,可以用脉冲方式驱动L ED 发光,例如用1 MHz ,占空比为0. 25 % ,峰值电流为1 A 的脉冲去驱动L ED ,与用25 mA 的直流驱动,其发光亮度是一致的。显然,调节驱动脉冲的占空比,可获得不同的灰度级,那么如果用CRT 图像信号各像素点的离散图像数据去控制对应L ED 的导通时间,即可获得多灰度级显示图像1图2 表示周期时间T 内,占空比分别为1 、4P7 、2P7 、1P7 的脉冲去驱动L ED ,显然获得亮度比为7∶4∶2∶1 ,这样最高灰度级为7 ,共可获得8 个灰度级。

图2a 只表示了7 、4 、2 、1 这四个灰度级L ED 的导通情况,这种直接调节驱动脉宽以获得显示图像灰度的方法一般不易实现,只有用间接的方法使L ED 的驱动脉冲占空比受制于图像数据,以获得显示图像灰度级。
图2b 表示在T 时间内用一个脉冲窜去驱动L ED ,控制时间内脉冲个数就能控制L ED 的亮度,当各个T 时间内驱动脉冲个数为7 、4 、2 、1时,获得的亮度比为7∶4∶2∶1 ,同样也会获得8 个灰度级。但是,不难看出,用这种方法,驱动脉冲的占空比要下降,这就意味着各灰度级的L ED 亮度要下降,图2b 是用对称方法驱动的,那么与图2a 相比,导通时间缩短了一半,在同样的正向导通峰值电流下亮度必然下降一半??赏ü岣叻逯档缌鞯姆椒ɡ疵植沽炼人鹗?但重要的是这种调制脉冲个数以获得图像灰度的方法在电路实现上也有较大困难。
图2c 为另一种目前已在等离子体显示中应用的方法,当所摄图像亮度化为八级时,可用三位二进制码“a3 a2 a1 ”表示,最高亮度表示为“111”,最低亮度为“000”,那么,可以将周期T 分为3 个小的时间间隔t ,在t 时间内分别用二进制码a3 ,a2 ,a1 来控制L ED的导通状态“, 1”表示导通“, 0”表示断开,同时a3 ,a2 ,a1 是有权码,对应的权值分别为4 、2 、1。如果a3 ,a2 ,a1 不仅仅控制t 时间内L ED 的导通,而且还控制导通时间,其导通时间长短依据所对应的权重,就可以有8 个灰度级。如图2c 所示,第一个周期T表示最高亮度,其二进制码为“111”,那么每一个t时间内,L ED 都导通,其导通时间之比为4∶2∶1 ,第二个周期T 表示4P7 最高亮度, 其二进制码为“100”,显然,其导通时间只有第一个t 时间内L ED导通,与图2a 相比,不难发现, T 时间内,L ED 导通时间仍减少了,所以在同一峰值电流下每灰度级的亮度都下降了,因而这种牺牲显示图像亮度的办法对L ED 点阵显示是不利的。
图2d 表示,如果将每一周期等分成7 个小的时间间隔,每一时间间隔电平的高低决定着L ED 的亮灭,那么,可以获得8 个灰度级1 例如,当7 个时间间隔电平全为高,L ED 亮度为最高,有6 个时间间隔电平为高,另一个为低时,获得6P7 最高亮度,依次类推,7 个时间间隔电平全为低,为全黑1 图2d也表示的是亮度之比为7∶4∶2∶1 ,与2a 图相比对应的导通时间是相等的,因而显示图像亮度没有损失1在实验中,作者采用的正是这种方法。具体实现如下。
[page]
2 LED 灰度级实现
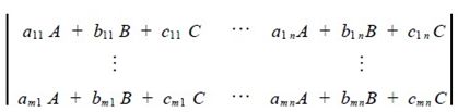
CRT 图像是按帧频来刷新的,每一帧的图像可由一个M 行N 列的矩阵来表示,对应着一帧M ×N 像素点的视频图像。 每一场图像不一样,矩阵元素的值也会发生相应的变化,矩阵的表达式为

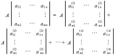
矩阵(2) 中的每一元素代表着M ×N 点CRT图像中对应像素点的图像亮度信息,而元素在矩阵中的位置恰恰是该像素点在CRT 图像中的位置。其中A 、B 、C 代表着具有单位亮度的R、G、B 三原色,系数aij 、bij 、cij 为零和正整数,它决定着混成该像素点颜色所需R、G、B 三色的亮度份额,如果将该图像白电平亮度所含R、G、B 三原色的亮度分别等分成N 级,那么每份亮度就是A 、B 、C , 即单位亮度, aij 、bij 、cij 的取值分别为从0 到N ,表示用aij 份的单元亮度红色, bij 份的单位亮度绿色和cij 份的单位亮度蓝色,可混成该元素所对应像素点的颜色。根据矩阵运算法则,矩阵(2) 又可表示为

它表示一场图像可分解为R、G、B 单色图像,同样,用R、G、B 单色图像在空间或时间上叠加,可恢复原来所对应的彩色图像。
式(3) 中的各项分别代表红、绿、蓝单色图像,是具有若干灰度级的,如果aij 、bij 、cij 的取值分别从0 到N ,那么,每一单色图像的灰度级为N + 1。根据矩阵运算法则有

其中aij ( n) = 0 或1 ,且aij = aij (1) + aij (2) + ...+ aij ( n) 。
从式(4) 看出,一个单色图像数据矩阵可分解为若干二值矩阵(矩阵中每一个元素均为0 或1) 的和,每一个二值矩阵代表着一具有单位亮度的单色二值图像,那么式(4) 的意义为:具有( N + 1) 灰度级的单色图像可有若干N 个具有单位亮度的单色二值图像在时间上叠加而成,显然,在空间叠加是不现实的1 这意味着可将一电视场的单色视频图像分成若干个单色二值图像,再将这些单色二值图像顺序显示出来,根据人眼的积分效应,又可复现出原来的单色视频图像1 同样的方法,同时恢复出R、G、B单色视频图像,再使它们在空间叠加就可以获得彩色视频显示图像。
具体来说,如果每一单色像素的灰度级数为N+ 1 ,灰度级由低到高分别为0 ,1 , ..., N ,对每一级灰度规定一串N 位‘0’、‘1’控制码与其对应,而在每一控制码中,‘1’的总数与其对应灰度级的编号相等,即灰度级越高,其控制码中‘1’越多。
再将L ED的每个显示周期分为等间隔的N 段,每一段用一位控制码控制L ED 的通断,‘1’是控制L ED通‘, 0’是控制L ED断1由于不同灰度级中‘1’的个数不同,故在一周期内,L ED 导通的时间不同,通过人眼视觉的积分效应,就产生了亮度的差别。
由此类推,把CRT 显示的一帧单色画面分成N场在L ED 点阵屏上显示,每场显示的时间为TPN ,在各场中,各像素由其对应的控制码来控制L ED 的通断,通过视觉的积分效应,就产生了整个画面的灰度效果。
[page]
3 LED 控制板的硬件实现
L ED 板的硬件设计框图如图3示

CRT 的红色信号经采样量化后形成红色4 位二进制数,因此经量化的亮度有16 级,如把CRT 的一帧图像在LED 点阵屏幕上分为15 场来显示,通过控制15 场中LED 像素点亮次数来形成不同的亮度等级1 如15 场中某一像素点全不点亮,即为黑点亮一次,表现为仅高于黑的图像亮度;点亮两次,亮度又高一级;全部点亮,即为最亮1 在实际电路中,考虑到电路的复杂性,将L ED 屏分成16 场显示,第一场始终不点亮,这样当然会损失一些亮度,但简化了设计。
4 结论
在完成其测试系统研制的基础上, 对高密度LED 矩阵显示屏进行了部分性能参数的测试,实验表明,通过这种方案实现的LED 灰度显示可以同时兼顾显示屏的亮度和灰度。




