随着LED的广泛应用,在很多地方线性电源这种简单的结构已经不能满足需求。一般情况下,当用电阻的方式设定LED所需的正向电流的时候,这种简单的驱动方式可以连续的由电源向负载提供能量。
由于LED的电流与电阻上的相同,所以电阻上产生的功耗会随输入电压的增加而增加。例如,一个用线性电源驱动的LED,效率为70%,用5V线性电源提供1A电流给一个典型的白光InGaNLED(VF=3.5V)。在相同的工作条件下,当输入电压上升到12V时,它的效率将会降到30%。在如此低效率的情况下是无法应用的。
开关电源
开关电源改善了由于输入变化使得效率变化比较大的问题。这种方式是通过控制占空比的方式来满足输出所需要的电压或电流。由于开关电源会产生脉冲式的电压和电流,所以这就需要用一些储能器件(电感或电容)对这些脉冲波形进行整形。
和线性电源相反,开关电源可以通过不同的设置来实现电流或电压的降、升或者同时升降的功能??氐缭赐梢栽诳淼氖淙牖蚴涑龇段率迪指咝?。在前面的例子中,用一个降压型的开关电源取代线性电源后,当输入电压由5V变到12V后,电路的效率由95%变到98%。
开关电源在效率和结构的灵活性上得到了很大的提升,但由于周期性的开关造成了噪声的增加,同时由于结构的复杂使得电路的可靠性下降和成本的上升。恒流型LED电路可以被简单的认为是一个恒流源。拓扑结构的选择应该考虑最少的外部原件和最好的性能为标准,这样可以提高电路的稳定性和减少成本。
鉴于LED的动态调光特性好,在设计的时候要考虑使这种特性能够方便应用。幸运的是,基本降压开关电路在实现这些特性的时候表现的非常好,所以LED驱动一般选择降压型开关电源。
恒流输出级

图1a:基本降压型电压调整器。
开关调整器最常用的是电压调整器。图1a为一种基本恒压型降压调整器。降压控制器可以在输入电压变化的情况下,通过控制占空比或频率的变化使输出电压保持恒定。输出所需的电压由下面的公式计算得到(Eq.1)
式1电感L用来设置电感电流纹波的峰-峰值ΔIpp的大小,电容Co用来设置输出电压纹波和输出电压的负载瞬态响应。在这种降压型逆变器中电感的平均电流等于负载电流,因此我们可以通过控制电感电流纹波的峰-峰值来控制负载电流。这样可以使电压源控制的方式转换成电流源控制的方式。

图1b:基本电流型降压调整器。
图1b为一种基本电流型降压调整器。与恒压型相似,恒流型降压调整器可以在输入电压变化的情况下,通过控制占空比或频率的变化使输出电流IF保持恒定。输出所需的电流由下面的公式计算得到(Eq.2):
式2在我们设定好LED电流IF之后,我们必须准确的检测电感上的电流。从理论上来说,检测电感电流有很多方式,例如利用MOSFET的导通阻抗Rdson检测或者用电感的直流电阻检测。但是实际上这些检测方式在精度上不能满足LED电流设置的要求(高亮度LED的精度为5%-15%)。
如果直接用电阻RFB来检测IF,这样在精度上就可以满足要求,但是在电阻上将会产生额外的功耗。降低反馈电压VFB,在同样的检测电流IF(图.2)的情况下可以降低检测电阻的阻值,这样就可以使功耗降到最低。最新的LED驱动大多数提供的参考电压(反馈电压)在50-200毫伏之间。
恒流降压调整器独特之处在于输出可以不需要电容。因为有连续的输出电流和不存在负载瞬态变化,这个调整器中输出电容的作用只是局限于电流滤波器。当我们设置成没有电容的恒流型降压调整器时,此时输出阻抗将大幅增加,而对于升压型来说,由于输出阻抗增加,为了满足输出电流恒定,输出电压也将会大幅增加。
结果调光的速度和调光的范围都有了显著的提高。在应用过程中,从背光和机器视觉角度来说调光的范围是一种非常有价值的特性。[page]
在另一方面,由于输出电容不足,AC电流的纹波电路需要比较大的电感,以满足LED纹波的要求(正向电流ΔIF=±5到20%)。在同样的电流纹波时,大电感会增加面积和LED驱动的成本。因此在恒流降压电路中,输出电容的使用要在成本、面积和调光的速度、范围之间经行权衡。
例如,用纹波电流驱动一个1A的白光LED(VF≈3.5V),ΔIF需要满足±5%范围内,输入电压12V,频率为500kHz,在电感电流幅度为1.1A时,只能允许使用50mH的电感。然而如果电感的纹波电流允许增加±30%,那么电感将会小于10mH。
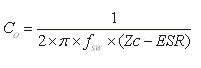
如果10mH和50mH电感在使用相同的材料和相同的额定电流的情况下,在成本和体积方面,10mH大概只是50mH的一半。为了用10mH电感实现需求的ΔIF(±5%),输出电容需要根据LED的动态电阻rD和检测电阻RFB和在此开关频率下电容的阻抗来计算,可以利用下面的表达式(Eq.3)
式3
式4环路控制结构
基于降压的结构可以与很多环路控制结构很好的匹配,而且不用考虑稳定性的限制,例如右半平面零点问题。除了和其他调光方法兼容以外,这种降压结构使得PWM调光变得容易?;谡庵纸峁沟腖ED驱动可以使系统设计人员提供更多的选择。滞回控制非常适合在开关频率变化比较快和输入范围比较小的情况下应用,例如灯泡和交通灯。
由于滞回控制不用考虑稳定性限制,所以不需要考虑环路补偿。不像环路控制那样受带宽限制。利用滞回控制驱动降压LED驱动(图.2a)使设计变得简单,也减少了器件数量和成本。这种结构也使PWM调光的范围比其他结构好。利用滞回控制的LED驱动非常适合在要求调光范围非常大和调光频率比较高以及开关频率变化非常大的情况下应用。

图2a:基本的滞回控制降压驱动。
类似的滞回降压LED驱动可以在固定频率操作和不需要开关频率变化的滞回控制之间提供了一个比较好的折中方案??刂瓶羰奔涞慕笛筁ED驱动(图2b)使用了一个滞回比较器和开启时间控制器。让开启时间与输入电压成反比,这样可以让开关频率的变化减少的最小。运用这种结构同样可以避免环路控制的带宽限制。运用不同的调光结构可以让调光范围变得非???。

图2b:开启时间控制的降压LED驱动。
在一些情况下,例如许多自动控制应用中,LED驱动与外部时钟或与驱动之间进行同步时要求减少噪音的干扰。在没有时钟的滞回控制和准滞回控制的结构在执行同步频率时会带来困难。相比来说,这个问题对于由时钟控制的调整器来说就比较容易实现,例如图2c中固定频率的降压LED驱动。固定频率控制可以解决这个复杂的问题,但是由于它动态响应的限制也影响了调光的范围。

图2c:基本的固定频率的降压LED驱动。
总之,降压LED驱动的很多特点使其变得很有吸引力。它可以很容易设置成电流源,也可以实现最少的外围元器件,器件少可以使得设计变得简单,提高驱动的稳定性,也可以减少成本。降压结构的LED适合很多种控制方式使其应用的灵活性比较高。
它输出可以省略输出电容,也可以与其他不同的调光方式进行很好的匹配,这些特点可以允许它在高速调光和宽范围调光的情况下应用。当应用允许的情况下,所有的这些特点使得降压LED驱动的拓扑结构有了很多的选择。
什么样的应用条件不允许使用这种结构呢?例如家用或商用的照明需要上千流明,设计一种方法来驱动一个LED串。LED串上的总的正向压降等于其中每个LED正向压降之和。在一些情况下,系统的输入电压范围可能比一串LED的正向压降低,或者有的时候高有的时候低。这些情况下有可能会需要升压结构,也有可能会需要降-升压开关调整器。
去LED照明电源社区看看





