桃花源qm花论坛(品茶),凤楼阁论坛官网入口网址,一品楼品凤楼论坛最新动态,风楼阁全国信息2024登录入口

你的位置:首页 > 电源管理 > 正文

试分析软起动器对电机过载?;さ目刂品椒ǎㄉ希?/h2>

发布时间:2014-09-02 责任编辑:stone

【导读】多年研究软起动器,发现软起动器对电动机的过载?;び行┘虻セ?,虽然说是反时限保护,但实际是采用定时分段的办法。如果要真正反应电动机的过载能力又能对电动机起到过载?;ぞ捅匦柰ü然郑捎萌燃且涔δ?。这样才能保正系统的可靠性和?;さ牧槊粜浴?/strong>

1 引言

多年研究电动机?;て鳎⑾秩砥鸲鞫缘缍墓乇;び行┘虻セ?,虽然说是反时限?;ぃ导适遣捎枚ㄊ狈侄蔚陌旆?,有时误动作,有时烧电动机。对于电动机断续过载?;な庇捎诘缍缫压龋敲此墓啬芰σ丫跣?,对于冷态的电动机来说,它的过载能力要比热态的电动机过载能力大的多。

如果要真正反应电动机的过载能力又能对电动机起到过载保护就必需通过热积分,采用热记忆功能。这样才能保正系统的可靠性和?;さ牧槊粜浴?br />
1.1 两种典型的数学模型

软起动器对电动机具有控制、?;?、监测等功能,对电动机的热过载?;げ捎玫姆词毕薇;ぬ匦杂卸嘀质P?,其中典型的有两类:

(1)等I2t的时间电流特性

t = k / I2

(2)IEC 60255-3[1]推荐的数学模型

软起动器对电机过载?;さ目刂品椒? />以上式中: Ir — 电流整定值<br />
<br />
I — 实际电流值<br />
<br />
t — 动作时间(s)<br />
<br />
K — 表征特性的常数<br />
<br />
α— 函数指数<br />
<br />
<strong>1.2 脱扣器的控制方式</strong><br />
<br />
脱扣器的控制方式可采用:<br />
<br />
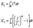
<strong>(1)积分法</strong><br />
<br />
以两种典型的数学模型为例,分别求积分值:<br />
<br />
<div style=软起动器对电机过载?;さ目刂品椒? /><br />
 </div>
设定K1或K2的动作值,控制动作时间t。<br />
<br />
<strong>(2)查表法<br />
</strong><br />
设定I—t对照表,根据当前I控制动作时间t。<br />
<br />
但是在实际运行中两种方法均存在弊端。如用积分法上述的两类数学模型都可能造成在低于动作值时仍能误动作;如用查表法在通常电流不断变化的情况下,很难合理的控制过载脱扣的延时时间。<br />
<br />
为了较好的解决低压<a  target=断路器的智能控制器中长延时脱扣器的延时控制,本文试图按热?;さ幕驹斫蟹治龊吞教?。

2 热?;さ幕疽?/strong>

根据热平衡关系,电气设备的发热应等于散热与蓄热之和,即

软起动器对电机过载?;さ目刂品椒? />(1)<br />
<br />
式中:P — 发热功率;<br />
<br />
Kr— 散热系数;<br />
<br />
S — 散热表面积;<br />
<br />
τ— 温升;<br />
<br />
c — 比热;<br />
<br />
G — 发热体重量;<br />
<br />
t — 时间。<br />
<br />
微分方程的解为:<br />
<br />
<img width=22T(12)

以K作为式(6)或(7)的截止值,当A≥K时控制器动作,实现长延时?;すδ?。

式(9)和(10)可转换为:

软起动器对电机过载保护的控制方法

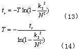
4.2 热时间常数的计算

在已知任意—N值下要求的tr值,即可计算T。

软起动器对电机过载?;さ目刂品椒? /><br />
<br />
<strong>4.3 延时时间的计算</strong><br />
<br />
按式(13)计算在不同过载电流下的延时时间,并考虑电流测量误差的影响,计算结果见表1(计算时取T=642s)。<br />
<br />
<div style=软起动器对电机过载?;さ目刂品椒? /><br />
 </div>
<strong>5 动作值的测量和计算</strong><br />
<br />
为测量智能脱扣器实态通电时的A值,可以采用数值积分的方法等间隔的测量电流和计算A值并与K值比较。<br />
<br />
设测量间隔为Δt,并且初始温升为0,由式(6)和(7)<br />
<br />
<img width=
表2 与表1中计算值tr对应的p和f值

软起动器对电机过载?;さ目刂品椒? /></div>
<br />
表2的误差传递系数f的估算值与表1的计算结果基本相符。<br />
<br />
由表1及表2可以看出在较低过载倍数下由电流测量误差所引起的延时时间误差较大。<br />
<br />
<strong>7 ?;ぬ匦缘男甭实鹘?/strong><br />
<br />
<strong>7.1 建立数学模型</strong><br />
<br />
为了满足不同的配合需要,现在有的制造厂**了改变长延时保护特性斜率的调节功能[2]或参照IEC 60255标准**了不同数学模型的?;ぬ匦浴N耸迪直;ぬ匦缘男甭实鹘冢疚耐萍隽街质P筒⒂玫姆桨?。<br />
<br />
<strong>(1)基本数学模型</strong><br />
<br />
经对比分析我们可以以式(7)作为基本?;ぬ匦缘幕臼P汀?br />
<br />
<strong>(2)用于斜率调节的数学模型</strong><br />
<br />
可选用国家标准GB 14598.7(等同IEC 60255-3)推荐的数学模型用于斜率调节。根据GB 14598.7:<br />
<br />
<img width=(16)

式中:N=I/Ir

指数α可选

K为常数

现以三种斜率的保护特性为例:

A型反时限

tr=K/(N0.02-1) (17)

B型反时限

tr=K/(N-1) (18)

C型反时限

tr=K/(N4-1) (19)

K值可根据?;ひ笊瓒ǎ虿握涨笆龌颈;ぬ匦訬Ir(如N=2或N=6)对应的时间tr设定。

相关阅读:

选型技巧:如何选择电机?;て餍秃?/strong>

细说电压、电流对步进电机的性能影响

试分析软起动器对电机过载保护的控制方法(下)

关闭

?

关闭