桃花源qm花论坛(品茶),凤楼阁论坛官网入口网址,一品楼品凤楼论坛最新动态,风楼阁全国信息2024登录入口

你的位置:首页 > 测试测量 > 正文

如何计算电流测量精度以提高功能安全

发布时间:2021-10-17 来源:Dan Harmon 责任编辑:wenwei

【导读】随着功能安全要求日益受到重视,改进系统诊断功能势在必行。其中,电流测量便是诊断评估的一项重要内容。要确定设计的测量精度,务必要了解误差源。

 

正如之前在信号链基础知识 #141中所述,了解如何解读数据表对于计算高侧电流测量的精度非常重要。此外,了解外部元件的影响对于获得正确的电流测量结果也至关重要。

 

高侧电流检测实现

 

在高侧配置中,有两种常用的电流测量方法:

 

●     使用差分运算放大器,如图1所示。

 

如何计算电流测量精度以提高功能安全

图1 用于高侧电流测量的运算放大器电路

 

使用电流检测放大器,如图2所示。

 

 

如何计算电流测量精度以提高功能安全

图2 用于高侧电流测量的电流检测放大器电路

 

这两种方法具有一些根本的区别,主要体现在电流检测放大器集成了增益电阻器网络,而运算放大器则使用外部分立式电阻器作为其增益网络。无论您使用哪种方案,基本系统传递函数都适用,如公式1所示:

 

如何计算电流测量精度以提高功能安全   公式1

 

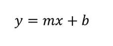
其中

 

●     y是输出电压 (VOUT)。

●     m 是系统增益,对于此系统为RSHUNT×G。G是为大多数电流检测放大器预定义的,而对于运算放大器,则为RF/RI。

●     x是输入电流(I)。

●     b 是系统的失调电压。如果系统测量双向电流,当输入电流为零时,b 是输出电压。如果单向测量,b 在0A下的理想电压为0V,但它可能会受到放大器输出摆幅规格的限制。对于运算放大器和电流检测放大器,VOFFSET 通常是以输入为参考规格。因此,b 实际上还需要考虑系统的增益。

 

电流测量的传递方程可改写为公式2:

 

如何计算电流测量精度以提高功能安全   公式2

 

基于此基本传递函数,有两种误差类型:增益和失调电压。

 

增益误差

 

系统增益误差有两个主要来源:分流电阻器和放大器增益。分流电阻器误差对于运算放大器或电流检测放大器是常见的,通过查看电阻器规格表很容易确定,而放大器的增益误差则取决于选择的放大器方案。

 

对于差分运算放大器方案,如前所述,增益是两个电阻器的比率,即RF/RI。要计算误差,需查看电阻器的数据表。典型分立增益网络电阻器的容差为0.5%、100ppm/°C。要计算此比率的最大误差,需假设一个电阻处于最大值,而另一个电阻处于最小值。这会在室温下产生1%的误差,并且由于假设会发生反向漂移,因此在125°C下为3%。

 

对于电流检测放大器,增益误差通常列在数据表中。图3 显示了德州仪器(TI)INA186-Q1的增益误差。可以看到,室温下的增益误差为1.0%。温漂为10ppm/°C时,125°C下的增益误差为1.1%。

 

如何计算电流测量精度以提高功能安全

图3 INA186-Q1增益误差和增益误差漂移规格数据表

 

这是TI电流检测放大器的一个主要优势:精度匹配的集成增益网络可更大限度地减少温漂效应。对于运算放大器电路,您可以使用精度匹配的电阻器网络,但它们会显著提高方案成本。

 

偏移误差

 

如上所述,输出失调电压必须包括增益。由于失调电压通常指定为以输入为参考,因此公式3按如下所示计算失调电压误差:

 

如何计算电流测量精度以提高功能安全   公式3

 

从公式3中可以看出,当VSHUNT (IxRSHUNT) 接近失调电压值时,失调电压误差很重要,并且随着电流变为0,失调电压误差将接近无穷大。相反,如果VSHUNT >>VTOTAL OFFSET,那么此误差项将接近0。

 

总输入参考失调电压具有三个主要组成部分:

 

放大器VOFFSET 规格和漂移。

 

共模抑制比(CMRR)。

 

电源抑制比(PSRR)。

 

由于放大器的VOFFSET 通常在固定共模电压和电源电压下指定,因此CMRR和PSRR也是造成失调电压误差的因素。图4 显示了INA186-Q1的固定值,图5显示了常用运算放大器TI TLV2186的固定值。

 

如何计算电流测量精度以提高功能安全

图4 INA186-Q1在固定共模电压和电源电压规格下的CMRR和PSRR数据表

 

如何计算电流测量精度以提高功能安全

图5 TLV2186在固定共模电压和电源电压规格下的CMRR和PSRR数据表

 

正如信号链基础知识 #141 中所述,数据表中电流检测放大器的VOFFSET 指定方式与运算放大器不同。具体而言,电流检测放大器失调电压包括集成电阻器网络的影响,而运算放大器VOFFSET 仅适用于器件。运算放大器方案中的总失调电压需要将外部电阻器的影响考虑在内。

 

由于电流从共模电压流经外部电阻器,因此可将外部电阻器视为导致共模抑制误差的原因。假设所有四个增益电阻器具有相同的容差,根据公式4,电路的增益和电阻器的容差将确定“电阻器CMRR”:

 

如何计算电流测量精度以提高功能安全   公式4

 

图6 所示为不同增益和电阻器容差下计算出的电阻器CMRR(以分贝为单位),您可从中看到不同增益和电阻器容差所产生的影响。

 

如何计算电流测量精度以提高功能安全

图6 在三种不同增益配置、不同电阻容差下计算出的CMRR值

 

对于电流检测放大器,只需将CMRR和PSRR的影响添加到器件的失调电压规格中,即可计算出总输入失调电压。通常会在整个温度范围内指定CMRR和PSRR;因此,任何漂移影响都已考虑在内。但是,计算不同温度下的误差时必须考虑温漂。

 

总误差

 

理论上,最坏情况下的总误差只是各个误差项的总和。从统计学角度讲,所有误差同时发生的这种情况不太可能发生。因此,使用平方和根方法(公式5)计算一阶总误差:

 

如何计算电流测量精度以提高功能安全   公式5

 

图7列出了使用INA186-Q1和TLV2186且增益为20时的关键性能指标。

 

如何计算电流测量精度以提高功能安全

图7 使用INA186-Q1或TLV2186实现高侧电流测量应用的关键性能指标

 

图8展示了两种方案使用10mΩ、0.5%、50ppm/°C RSHUNT 分别在室温和125°C 时用公式5计算得出的以下误差曲线。

 

如何计算电流测量精度以提高功能安全

图8 高侧电流测量方案结合使用INA186-Q1或TLV2186以及10mΩ、0.5%、50ppm/°C RSHUNT 时的平方和根误差曲线

 

从图7和图8中可以看出,外部增益电阻器是分立式方案的主要误差源,在温度变化时尤为明显。校准可以更大限度地降低室温下的失调电压误差,但温漂不容易校准。

 

总结

 

通过增加可实现的设计裕度,提高电流检测方案的精度可以提高系统的诊断能力。但与任何电子系统一样,提高精度通常需要增加系统成本。通过了解不同工作条件下的误差源及其影响,您能够在成本和精度之间做出适当的权衡。

 

参考文献

 

●     下载 INA186-Q1 数据表。

●     下载 TLV2186数据表。

 

关于作者

 

Dan Harmon是TI电流和位置检测产品线的汽车营销经理。在他33多年的职业生涯中,他曾为多种技术和产品提供支持,包括接口产品、成像模拟前端和电荷耦合器件传感器。他还担任过TI USB Implementers Forum代表和TI USB 3.0 Promoter’s Group主席。Dan拥有戴顿大学电气工程学士学位,以及德克萨斯大学阿灵顿分校电气工程硕士学位。

 

关于德州仪器(TI)

 

德州仪器(TI)(纳斯达克股票代码:TXN)是一家全球化的半导体公司,致力于设计、制造、测试和销售模拟和嵌入式处理芯片,用于工业、汽车、个人电子产品、通信设备和企业系统等市场。我们致力于通过半导体技术让电子产品更经济实用,创造一个更美好的世界。如今,每一代创新都建立在上一代创新的基础之上,使我们的技术变得更小巧、更快速、更可靠、更实惠,从而实现半导体在电子产品领域的广泛应用,这就是工程的进步。这正是我们数十年来乃至现在一直在做的事。 欲了解更多信息,请访问公司网站www.ti.com.cn。

 

 

免责声明:本文为转载文章,转载此文目的在于传递更多信息,版权归原作者所有。本文所用视频、图片、文字如涉及作品版权问题,请联系小编进行处理。

 

推荐阅读:


连接器日常使用维护避雷指南

X-FAB与派恩杰达成长期战略合作,共同推动全球SiC产业发展

仿真看世界之SiC MOSFET单管的并联均流特性

专家支招:如何解决在工业应用中实施视觉系统的挑战?

使用氮化镓IC对离线式电源的大电容进行优化

特别推荐
技术文章更多>>
技术白皮书下载更多>>
热门搜索

关闭

?

关闭