【导读】补偿器是使控制系统在动态运行中快速稳定的电子滤波器。在绝大多数研究中,补偿器是置于运算放大器(运放)周围的一个有源电路,其特性完美。文本共有两部分,这第一部分主要介绍开环增益的影响,第二部分将探讨这些额外的极点的影响,并展示如果没有适当选择,它们会如何影响最终结果。
补偿器是使控制系统在动态运行中快速稳定的电子滤波器。在绝大多数研究中,补偿器是置于运算放大器(运放) 周围的一个有源电路,其特性鉴定为完美。如果这种方法适用于低带宽系统,如今的转换器即使输出电容小,只要交越频率超过100千赫就能确保足够快的瞬态响应以限制输出压降。在这些应用中,若一个完美运放不行的话,最终会导致严重的增益和相位失真。如果展示开环增益和所选运放的低、高频两个极点如何影响整体动态响应,您就可选择恰当的元件,免除影响交越所需的增益和相位性能表征。文本共有两部分,这第一部分主要介绍开环增益的影响,特意先不谈低频和高频两极点。第二部分将探讨这些额外的极点的影响,并展示如果没有适当选择,它们会如何影响最终结果。
不同补偿器的类别
补偿器的作用是形成一个给定电路的频率响应-例如降压转换器-以便一旦闭环,控制系统表现出所需的交越频率fc和适当的相位/增益裕度。补偿器通过提供在fc的一些中期波段的增益或衰减强行形成0 dB交越点。相位裕度?m由补偿器在fc表现出的相位增量(phase boost)调节。最后,增益裕度取决于交越后补偿器调降增益的能力。
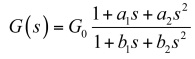
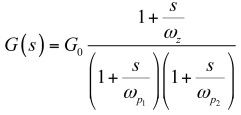
补偿器有不同的类型,其在开关转换器中通常称为type 1、type 2和type 3。所有三个型号在原点都有一个极点以提供最大可用准静态增益(S = 0),从而提供一个精确的输出变量。type-1补偿器是个简单的积分电路,完全不提供相位增量。type 2基于type 1,增加了一个极/零对,最多有90°的相位增量,常见于电流模式电源,可提供大量补偿。最后,type-3电路提供另一个极零对,可增加相位达180°。图1所示为三种补偿器的频率响应(幅值和相位)及各自的传递函数表达式。

图1:您选择的补偿器与您想要的相位增量有关。
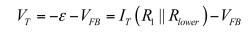
type-2补偿器常见于电流模式电源,其相位增量最大达90°,可提供大量补偿。图2所示为它置于运算放大器周围的电路图。您可看到检测所监测变量(本例中的输出电压Vout)的一个电阻分压器和几个形成滤波器的无源元件。为确定该转换器的传递函数,我们将首先考量运放的开环增益AOL,并看看它如何影响最终的表达式。该电路的传递函数G是联系激励信号Vout到输出响应VFB的数学关系。

图2:在该补偿器中,我们认为运放具有有限的开环增益,但尚不考虑其内部极点。
简介快速分析电路技术(FACT)
有许多确定滤波器动态响应的方法,本文将使用如快速分析电路技术(Fast Analytical Technique,简称FACT)。FACT的基本原理是确定在两个不同条件下的电路时间常数:激励信号消失(Vout降至0V)时和响应清零(VFB = 0)时。通过使用这种技术,您将领会用它确定一个特定的传递函数有多快速和直观。
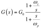
一个具有非零准静态增益的一阶系统的传递函数可表示为:
首项G0是S=0时系统表现出的增益。视情况而定,该项带有单位。在这里,因为我们所说的增益是[V]/[V],没有单位,G是无量纲的。分子的N(s)控制传递函数的零点。在数学上,零点是个特定的点sz,无信号响应。从理论上讲,考虑到激励信号覆盖整个s面(谐波模式下不仅在垂直轴),当输入信号调到零角频率sz,零点表现为无信号的输出响应。电路中一些特定阻抗组合阻挡了信号传播,响应为0V,尽管存在激励源。零点是分子的根。请注意这是个实用的数学抽象,极其有助于通过检测找到零点,无需写一连串代数。
分母D(s)由电路自然时间常数构成。通过设置激励信号为0和确定这种结构中所考虑的电容或电感“所示”的阻抗而得出这些时间常数?=RC或?=L/R。如您想象把欧姆表置于暂时移除的电容或电感器,并读取它显示的电阻。这其实是个相当简单的运用??纯赐?无源电路,可看到一个注入源(换言之,一个激励源)正加偏压于左边回路。输入信号通过网格和节点传播,形成您看到的电阻R3上的响应。

图3:确定电路的时间常数需要将激励源设为0,并看看从电路中暂时移除的储能元件所提供的电阻。
为确定本示例电路的时间常数,我们将激励源设为0(一个0V电压源短路和0A电流源开路),拆下电容器。然后,我们连接(在脑海中想象)一个欧姆表,以确定由电容器端提供的电阻。图4引导您进行这些步骤。

图4:在0V源短路后,您确定电容器端的电阻。
如果您按图4进行运用,您“想象”R1与R2并联后与与R4串联,所有这些与R3并联后与rC串联。该电路的时间常数只通过R和C1即可计算得出:
我们可证明,一阶系统的极点是其时间常数的倒数。因此:
(3)现在,s = 0时这个电路的准静态增益是多少?在直流条件下,电感器短路,电容器开路。把这概念应用于图3的电路,绘制如图5所示。您想象在R4前断开连接,会看到一个含R1和R2的电阻分压器。R2上的戴维宁(Thévenin)电压为:
输出电阻Rth 是R1与R2并联的值。因此完整的传递函数涉及到电阻分压器(由与Rth 串联的R4和加载的R3所构成)。rC是断开的,由于电容C1在这直流分析中被拆下。因此:

图5:您断开直流电路中的电容器,计算这简单的电阻配置的传递函数。
我们如何知道是否有零点?嗯,这里有个有用的技巧:您想象图3的电路,使电容C1短路。现在假设您为具有短路电容器的电路提供激励信号。您能够基于示波器观察Vout的响应吗?当然rC使R3短路,尽管振幅可能低,输入信号仍会传输并有响应。若“尽管C1短路但仍有响应”,那么有与C1有关的零点。处理含电感L1的电路亦然(但采用电感开路)。
我们前面提到,零点通过阻断激励信号的传播而在电路中表现出来,输出响应为0。如果我们考虑一个变形电路–其中C1由1/SC1代替–如图6所示,当激励源加偏压于电路,有什么特定的条件意味着无信号响应?无信号响应只意味流过R3的电流为0。如果电阻没有电流,没有电压施加和Vout是0V,这不是短路,而是虚拟的接地。

图6:在这变形电路中,当串联的rC和C1转化为短路,响应消失。
如果R3没有电流,那么串联的rC和1/SC1转化为短路:
根sz是我们需要的零点位置:
从而有:
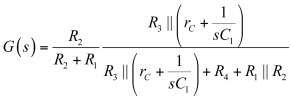
现在,我们可以组合所有这些结果,形成以图3电路为特征的最终的传递函数:
(9)这就是所谓的低熵表达式,您可立即识别增益、极点和零点。高熵表达式将在考量阻抗分压器时通过施加大规模外力到原来的电路来获得,例如:
(10)不只您可能在推导表达式时犯错误--我也会!但是将结果格式化到像(9)这样需要更多的精力。此外,请注意,在写(9)时我们没有写一行代数。如果我们后来发现一个错误,那么易于回到一个单独的图纸并单独修正它。(9)的校正将是容易的。现在尝试对(10)进行相同的修正,您可能会从头开始。您比对一下,在Mathcad®表绘制的表达式(9)和(10)的频率响应是相同的,如图7所示。

图7:快速Mathcad®说明用FACT推导出的表达式是否与由原表达式返回的响应相匹配。
FACT的简介意在说明,无论对简单电路还是更复杂的电路使用它们,都很简单和高效。通过将一个复杂的体系结构分解为简单的单独的电路,您可以很快地写出传递函数,有时只需观察就能写出,正如我们所做的那样。既然我们已介绍了工具,让我们把它应用到我们的type 2补偿器中。
FACT应用于Type-2补偿器
为高效地将FACT运用到图2的电路,我们先考虑储能元件:C1和C2??悸堑剿堑亩懒⒆刺杀?mdash;如它们不是串联的或并行的--这是个二阶系统??悸欠橇阕季蔡鲆?,该系统可以表示为:
对于二阶系统,我们可以证明分母遵循下列公式:
系数s仅仅是确定零点激励源的时间常数之和。S²系数稍复杂,因其引入了一个新的符号:t1 2 。此符号意味着您“想象”的C2两端的阻抗,而C1由短路取代。乍一看有点难以理解,但我们稍解释就会明白。
按照求解图3电路的途径,我们可研究s = 0的系统,如图8所示。在分析的过程中,Vref是个完美的源及其动态响应为0(忽略我们应用的调制,它的电压是固定的)。因此,它自然不存在于小信号电路,在交流分析中采用短路的形式。

图8:在直流条件下,断开所有的电容:运算放大器运行于开环配置。
运算放大器提供的电压相当于开环增益AOL的?倍。反相引脚的电压与低边阻抗Rlower有关,在这种情况下,?是个非零的值:
(13)在这个电路中,有两个电容,因此有两个单独的时间常数。为确定与C2有关的第一个时间常数,我们将激励信号设为0,确定C2的阻抗,C2连接端子,而C1从电路中移除,如图9所示。

图9:第一个时间常数与电容C2有关:在C2两端的阻抗是多少?
如果在前面的示例中检验得很好,但电压控制源的存在(即运算放大器)-用这简单的方法是行不通的。为确定由C2端提供的阻抗,我们可连接测试生成器IT,和确定其两端的电压VT。然后VT/IT会给我们提供想要的阻抗。涉及电流源的草图如图10所示.。您可写的第一个简单的等式与?有关。运算放大器的输入引脚之间的电压是施加在并联的R1和Rlower两端的电压的负值:

图10:您装上一个测试发生器以确定C2两端的阻抗。
运算放大器的输出为开环增益AOL的?倍。因此:
将(14)代入(15)得出:
VT是电流源的电压。在其左侧端有负的?而右侧有偏压VFB:
如果我们从(17)提取VFB,结合(16)的结果,我们有:
阻抗可简单地写为:
因此第一个时间常数?2表示为:
第二个时间常数与C1有关,需要更新的原理图,如图11所示。我们没有装电流发生器,因为结果很明显:C1两端的电阻就是已经确定的C2与R2 串联后的电阻:

图11:立即确定第二个时间常数,因为它是C2与R2串联的驱动电阻。
我们有两个时间常数,可进行第二阶项。我们需要评估 ,其中C2被短路,我们看C1两端的电阻。图12所示为新的草图。既然我们在涉及R2的回路中有弗兰克短路,那么电阻R就是R2:
因此,如果我们根据(12)组合时间常数,得出分母D(s) :

图12:高频系数用了罕见的符号但最终并不复杂:C2短路,只需确定C1两端的电阻。
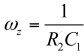
该二阶表达式可重新排列,假设质量因子Q远小于1。在这种情况下,两个极点完全分离:一个控制低频,而第二个位于频谱的上部。由(12)我们可以证明,两个极点定义为:
(24)
(25)如果我们将这些定义应用到(23),简化和重新排列,得到:
(26)
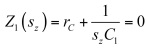
(27)现在有了分母,那么这个电路有零点吗?我们可以运用前述的技巧:如果我们想象,C1或C2短路,然后C1和C2短路,这三个配置有响应吗?如果C1短路,我们有一个含R2和其他电阻的简单的逆变器:有个与C1有关的零点。如果C2短路,则运算放大器为0: C2没有零点。如果两个电容器都短路,当然,没有响应。为确定零点位置,图13中的什么可以防止激励源的传播,使响应无输出信号?如果C1和R2短路,那么响应消失:
(28)然后

图13:如果R2与C1的串联转换为短路,那后没信号的响应:这就解释了零点是如何产生的。
其中给出了零点位于:
(30)现在有最终的传递函数
(31)及
(33)
(34)
(35)比较电路之间的响应
现在比较由type-2电路(其中我们考虑开环增益)带来的动态响应是有意义的,下面给出了type 2完美的传递函数:
(36)其中
(39)举例说明,我们对比理想的运放和开环增益为50 dB的运放(例如TL431),此时补偿器必须满足以下目标:fc = 10 kHz和在此频率的增益补偿20 dB,相位增量必须是65°。R1和Rlower计算用于12V输出和2.5 V参考电压。(31)和(36)的两个动态响应如图14所示。交越增益和相位增量的偏差可以忽略不计。然而,在120赫兹频率时(31)的增益为35 dB,(36)则为45dB。最后,有限的AOL选项的准静态增益仅36.4 dB(?66),而无限时则为完美的运算放大器。这些数字的影响是什么?增益少两倍时,电源频率将影响控制系统的能力,抑制整流纹波。输出变量可能会受到此元件的影响,特别是在电压模式控制下。此外,若植入增益低,控制变量可能有显着的静态误差。若您现在选择具有更高AOL的运放如80 dB,偏差消失,两曲线相互非常接近,如图15所示。

图14:在type 2的波特图中,我们认为开环增益AOL和低边电阻Rlower并没有太大影响原完美的方程式。

图15:当开环增益AOL增加,两条曲线很好地重叠。准静态增益提高到66.3dB,对比于采用50dB AOL增益时的36 dB。
总结
这第一部分证明了在补偿器中采用非理想的运算放大器时开环增益的影响。假如运算放大器不是完美的,您可以看到动态响应中在低频范围内弱开环增益的影响,来评估这种情况导致的性能下降。在这第一部分中,我们只考虑开环增益的影响。在第二部分中,我们将复杂化分析,将集成电路设计人员自然置于一个运算放大器中以确保稳定性的低频和高频两个极点考虑进来。
作者:Christophe Basso,安森美半导体公司
本文来源于电子技术设计。
推荐阅读:



