【导读】电压模式放大器有一个明显的缺点就是随着被处理信号的频率越来越高,电压模式电路的固有缺点开始阻碍它在高频高速环境中的应用。主要由于闭环增益和闭环带宽的乘积是常数,当带宽向高频区扩展时增益按比例下降,而且在大信号下它的输出电压转换速率也很低。为克服这些缺点,本文设计了低压状态下的运算放大器">电流反馈运算放大器。
运算放大器">电流反馈运算放大器(CFOA)被广泛应用在模拟信号处理中,比如模数转换(ADC),滤波器以及许多其他通信系统中。运算放大器">电流反馈运算放大器相对于电压反馈运算放大器的一个显著的优点就是有较快的转换速率和与增益设置无关的带宽, 80年代末期,基于互补双极工艺发展起来的电流负反馈运算放大器,从根本上改变了传统电压反馈运算放大器的电路结构,得到了极大的发展 ;但电源电压一般都是5V,功耗也比较大,笔者设计了基于双电源±0.9V供电,功耗仅为3.5mW的运算放大器">电流反馈运算放大器。
电路描述
CFOA简化拓扑结构可用图1表示,它主要由输入缓冲级、跨组放大级和输出缓冲级组成。输出缓冲级接在两个输入端之间,具有单位电压增益。其作用有三个:强制un 跟随up;使同相输入端为高阻抗(理想为无穷大)的电压输入端;使反相输入端为低阻抗(理想为零)的电流输入端,信号电流在反相输入端流进或流出。
跨组放大级将反相输入端的电流信号in 传送到内部增益节点,并将它转化为一个电压信号uz 。图1中的Aro代表开环增益,Aro的值通常很大(类似电压运算放大器的开环增益),跨组放大级的输出电压表达式为uz=Aroin式中,Aro为开环跨阻增益值,量纲为V/A或, in为反相输入端电流。输出缓冲级具有单位电压增益,将uz传送到输出端uo,并实现低输出阻抗。

图1 运算放大器">电流反馈运算放大器的简化拓扑结构图
之所以用CCII+作为电压缓冲器,是因为CCII+具有如下的功能特点:

图 2 第二代电流传输器
该方程表明,CCII+的Y端口电流为零,X端口的电压跟随Y端口的电压,因而X端口呈现零输入阻抗;低阻抗X输入端的电流传输到高阻抗的Z输出端,即在Z输出端口相当一个可控制输出电压。实际上CCII+可以看做一个电压缓冲器,因此基于这一思想,在参考文献[1]的基础上,并参考图1 CFOA的拓扑结构图,用CCII+做输入,中间级利用文献[2]图7.6-17,加以改进,构成低压低功耗的两级电压运算放大器,外加输出缓冲,就构造出一新型的CFOA电路(图3,图4)。

图3 低压低功耗CFA的电路模型图
图3为低压低功耗运算放大器">电流反馈运算放大器电路模型图。

图4 低压低功耗运算放大器">电流反馈运算放大器的电路原理图

图5 图4的交流小信号分析模型
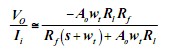
图5为图4的交流小信号分析模型图5中rx(CCII+的 反相输入端电阻)ro (输出缓冲器的输出电阻)均非常小,可忽略不计。则有:
假设核心??镺PAMP为单极点且开环增益为 A(S)=(AOWt/S+Wt),注意Wt是OPAMP的-3DB带宽。( 为了获得合适的相位裕度.利用调零电阻RZ和米勒电容CC进行相位补偿)AOWt是-3DB带宽和开环低频增益的乘积。带入(1)式可得:
合理的选择RL和 CZ 使二者产生的极点远大于GBP。那么(2)式可简化为:
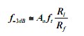
又由于Ao=30.5K, A0RL≥Rf(3)式又可简化为
又由于rX (反相端的输入电阻)很小 ,因此 Ii =Vi/Ri(4)式又可简化为:
由(5)可得CFOA的-3DB带宽为:
(6)(6)式表明CFOA的-3DB带宽依赖于Rl和Rf。由(5)式可知CFOA的增益依赖于Rf 和Ri ,很明显对于一定的Rl , Rf 一旦确定,改变Ri可获得不同的增益,而-3DB带宽却不受影响。因此CFOA实现了增益和带宽的独立调节。为了避免运算放大器OPAMP的高频极点和确保闭环增益的稳定性,CFOA的-3DB带宽必须小于GBP,从(6)式知Rl必须满足RlRf。
利用HSPICE仿真
开环状态下交流小信号分析

图6 开环放大电路增益和相位的仿真分析
CFOA的开环增益及相位图如图6,AV=-28.5K(89dB),GB=52.5MHz,相位裕度为82o,由此可见开环相位裕度大于45o是稳定的。
闭环状态下交流小信号分析

图7 闭环电路的增益和相位
闭环电路的增益和相位如图7所示,-3dB带宽约为23.3MHz而增益却分别为12dB,6dB,2.5dB,0dB,相位裕度均大于45o,由此可见增益和相位均是稳定的。
由此可见CFOA实现了增益和带宽的独立调节。同样也可以构成同相放大器(将Ri 接地.信号由Y端输入)
转换速率测定(将CFOA接成电压跟随器)结果如图8所示。

图8 电压跟随器瞬态分析(输出端接20pF电容负载)可以计算出 SR=27.7V/μS
结语
本设计在有关资料的基础上,提出了自己设计的低压低功耗运算放大器">电流反馈运算放大器。在输入级合理设置CCII+的W/L来提高其带宽,避免了输入级的迷勒补偿。在输出级使用了缓冲器,在开环时,将输出电阻减小到几欧姆左右,极大的提高了负载能力。-3DB带宽为23.3MHz,静态功耗降低为为3.5mW。当前,电流负反馈运算放大器主要是基于双极工艺的,但是随着电源电压的降低及芯片集成度的增加,对CMOS型电路的研究是很有必要的。
【推荐阅读】



