【导读】卫星通信系统是现代军事领域非常重要的通信方式。直升机卫星通信指的是直升机通过机载卫星实现卫星间的直接通信,并且能够在卫星和地面之间进行信息传输和交换。本文详细分析了直升机卫星通信系统的关键技术,并结合工程应用对整个系统进行全面的了解。
信息交换的种类有话音、数据和图像视频等。由于直升机本身的旋翼特点及操控特性,在设计卫星通信系统时对微波天线的尺寸和重量都有严格的限制和要求,天线口径、安装位置和功放等硬性条件确定之后,在测试通信质量时,如果通信效果不好,试验工程师应该从哪些方面进行分析,查找问题的根源。本文从直升机卫星通信系统的关键技术入手,结合工程应用把问题一一展开。通过对系统全面的了解,对关键技术的确认,从而实现对系统的准确测试。
1 机载卫星通信系统工作原理
1.1 机载卫星通信系统
卫星通信( 简称卫通) 具有频带宽、容量大、性能稳定、成本与通信距离无关等优点,成为现代通信的一种重要方式。机载卫星通信系统分为固定翼机载卫星通信系统和旋翼卫星通信系统。
一个基本的卫星通信系统至少包含两个卫通站和必要的卫星资源。对于直升机卫星通信系统,只是在信道处理时增加抗旋翼遮挡???。
卫星通信的工作频段很多, 有UHF、S、C、Ku 和Ka等频段。目前,国内的主流卫通频段还是Ku 频段,Ku 频段常用的发射频率范围是14.0~14.5 GHz;接收频率范围是12.25~12.75 GHz,带宽均为500 MHz,也是目前机载设备普遍选用的频段。
1.2 系统工作原理
卫星通信系统工作原理如图1 所示。发送端输入的信息经过处理和编码后,进入调制器对载波(中频)进行调制;已调的中频信号经过上变频器将频率搬移至所需求的上行射频频率,最后经过高功率放大器放大后,馈送到发送天线发往卫星。卫星转发器对所接受的上行信号提供足够的增益,还将上行频率变换为下行频率,之后卫星发射天线将信号经下行链路送至接受地球站。
地球站将接受的微弱信号送入低噪声??楹拖卤淦灯?。低噪声??榍岸耸蔷哂械驮肷露鹊姆糯笃?,保证接收信号的质量。下变频、解调器和解码与发送端的编码、调制和上变频相对应。

图1 卫星通信系统基本工作原理
2 关键技术
2.1 姿态角提取及坐标变换
在机载卫星通信地球站工作过程中,天线伺服控制分系统的作用是使天线的波束中心自动、快速、准确地对准卫星,从而使通信系统保持正常工作。伺服控制分系统要完成这一任务,必须知道天线波束中心和所要对准卫星的方位角、仰角和极化角。
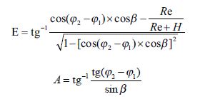
目前,国内典型机载卫星通信系统天伺系统是采用数字引导和自跟踪功能相结合的机制,即通过捷联惯导(IMU)提供的载机姿态信息解算天线指向的引导方式和通过天线馈源网络和接收机提供的角差信号控制天线指向目标的自跟踪方式。首先,根据载机定位信息和预选设定的卫星信息,运用以下公式可以计算出大地仰角(E)及方位角(A)。

式中:φ1 为接收站经度(度);φ2 为卫星的轨位经度(度);β 为接收站纬度(度)。
Re/(Re+H)=0.15,Re 为地球半径(6 378 km),H 为同步卫星距地球表面的高度(35 786 km)
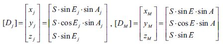
由于绕定点转动的两个坐标系之间的关系可以用方向余弦矩阵来表示,且载体坐标系与地理坐标系之间存在着姿态变化,所以,对天线稳定系统来说,可以根据惯导提供的姿态信息(横滚R、俯仰P 和航向H),实现从地理坐标系到载机坐标系的角度变换。具体变换如下:
式中[Dj] 为目标在载体坐标系中的坐标矢量,[DM] 为目标在大地坐标系中的坐标矢量,S 为矢量半径。

MR、MP、MH 分别为3 个姿态变换矩阵。

信号丢失正常情况下不外乎两种原因:一由于剧烈的外部作用天线伺服未能快速的克服随动,导致天线指向偏离卫星。二由于载机所处的环境阴影遮挡,如高楼、天桥、树木、山脉等,此处系统的处理方法是,当信号丢失后,默认为由于阴影遮挡,先保持当前的天线姿态一定的时间( 保持时间),在此过程中不断进行信号的采集和比较,如果在到达保持时间之前信号大于门限,则恢复跟踪状态,如果保持时间达到后,信号仍然小于门限,则进入搜索状态。这种信号丢失的处理方式有利于链路的快速建立,特别是在载机快速的运动过程中,偶尔出现遮挡物时( 树木,高楼等) 的现实环境中。
此外,由于直升机的旋翼特点,在使用中除了要面临极化控制、电波稳定和可靠跟踪等问题以外,最大的问题就是解决旋翼遮挡。目前,采用多次重传机制的传输设计可以解决旋翼遮挡对接收的影响,重传的次数越多,信息的可靠性就越高,但是会降低链路的传输效率。相比较而言,二次重传机制可以满足需要,而且信道利用率更高。从而使该系统实现以下功能:
1) 载机在航向和姿态不断变化的情况下能够正常工作。这就要求伺服系统具有非??淼母俜段В?br />
2) 系统对载机的摇摆有适应能力,要求伺服系统对载机振动的隔离度要足够大,以保 证天线主瓣指向卫星;
3) 遮挡消失后伺服系统再捕能力。即设备穿过信号中断地带后,伺服系统能快速控制天线,立即恢复通信。
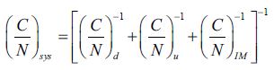
2.3 链路估算
在机载卫星通信系统中,卫星转发器接收系统的品质因数(G/T)、饱和通量密度(SFD)、等效全向辐射功率(EIRP)以及转发器的输入/ 输出补偿在链路计算和通信系统设计中起着关键性的作用,卫星通信工程师应对其有深入的了解。
地球站用户(包括机载站)在使用卫星资源时需要根据卫星转发器参数进行链路预算及分析,预估上下行载波的C/N,计算求得系统能噪比Eb/N0,以便确定系统能够保证信息传输质量和满足设计指标的要求。具体计算公式如下:
卫星链路总的载噪比:

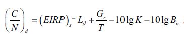
上行链路的载噪比估算公式为:

下行链路的载噪比估算公式为:

故链路的能噪比估算公式为:

[page]
3 工程测试方案设计
卫星通信系统的设计通常要求高概率可靠度( 例如99.99%),这就要求各种衰减引起系统的中断概率不超过0.01%,为了验证系统的这种性能,对测试方法的设计以及处理方法具有较高的要求。某机载卫星通信系统在进行工程测试验证时,基于关键技术的考虑重点设计以下测试项目,以达到对系统考核验证的目的。
1) 大机动及大速度飞行。在机载卫星通信系统中,天线跟踪是关键技术,当载机在高速运动、爬升/ 下降和转弯条件下,天线伺服控制系统使天线波束始终精确对准卫星,因此,通过大机动飞行达到对系统伺服系统的跟踪性以及稳定性的测试目的。
2) 高纬度地区及降雨环境飞行。地面天线的仰角极低时,地面热噪声将进入天线的近旁瓣甚至主瓣,从而提高天线噪声 ,降低地面系统的G/T 值,天线仰角低,从地球站到卫星的传输距离长,载波的自由空间损耗也较大。仰角低时,载波穿越降雨区的距离也较长,Ku 频段载波在降雨时所受的衰耗和噪声增量将相应增大。这些因素都可能抵消掉部分的转发器EIRP。因此,通过高纬度地区的飞行测试以及降雨环境下的系统测试实现对系统低仰角及降雨损耗的考核验证目的。
3) 信号较弱地区飞行。同一卫星资源在不同区域的等效全向辐射功率和品质因素是有差异的,这将直接影响链路的能噪比,即链路质量。
以某机载卫星通信系统为例,分别在南京地区和高原地区进行测试评估,中心站置于北京,卫星资源参数(轨道位置东经87.5°,转发器带宽BTs=36 MHz,转发器输入补偿10 dB 和输出补偿为4 dB)。试验结果表明,南京地区的链路通信质量明显优于高原地区,且高原地区的图像传输存在较严重的丢包现象。具体分析如表1 所示。

表1 不同地区卫星转发器参数与链路质量对比分析
从表1 可以看出,卫星转发器在南京地区的等效全向辐射功率和品质因素优于高原地区,通过链路计算得出的能噪比南京地区优于高原地区。虽然系统设计时,调制解调器在能噪比为5.0 dB 时能够保证信息传输质量,但是,考虑雨衰裕量等因素,在信号较弱地区仍然需要调整设备发射功率或天线尺寸,方能满足较好的通信质量,这与工程实际应用完全吻合。
4 结论
在机载卫星通信系统的工程测试过程中,对直升机卫星通信系统的关键技术进行了较为深入的研究,找出了测试设计过程中的关键技术点,通过设计测试方案验证了某型机载卫星通信系统的通信质量,并与理论计算进行了对比分析,达到了理论与实践相结合的试验目的。由于国内机载卫星通信应用尚处于初步阶段,对于系统的测试更是出于摸索阶段,对卫星通信系统关键技术的研究可以为后续型号系统的测试与性能评估提供相应的技术参考和借鉴。
相关阅读:
“军事”解析:飞机数据总线的构成及特性分析
熟透语音识别技术,军事斗争领域你就是"王"
国防最前沿:电磁环境自动测试,卫星地球站接招吧!



