桃花源qm花论坛(品茶),凤楼阁论坛官网入口网址,一品楼品凤楼论坛最新动态,风楼阁全国信息2024登录入口

你的位置:首页 > 测试测量 > 正文

工程师应用仪表放大器时为何困惑不解?

发布时间:2014-12-23 责任编辑:echolady

【导读】电源或共模电压在产生变化时极易产生失调偏移,对于仪表放大器,电子工程师在计算这种失调偏移时会困惑不解,工程师为何困惑不解?困惑的根本原因又是什么呢?本文就来为你揭晓谜底。

放大器的电源抑制比 (PSRR) 随放大器增益配置的升高而增加。这样很容易让人想到,在高增益下产生任何输出偏移,都需要电源的明显变化!

工程师应用仪表放大器时为何困惑不解?
图 1:仪表放大器的典型电源抑制比曲线
 
但一定要记?。汗材R种票?(CMRR) 和 PSRR 都是输入参考参数:
工程师应用仪表放大器时为何困惑不解?
PSRR 和 CMRR 定义为输入失调电压变化 ΔVOS(IN) 与电源电压变化 ΔVS 或共模电压变化 ΔVCM 的比值。

为了了解增益对这些参数的影响,请将大多数仪表放大器看成两个串行的放大器级,一个输入级放大器(如图 2 中 G1 所示)和一个输出级放大器(如 G2 所示)。电源或共模电压的变化会造成每个放大器级失调电压的变化,如图中 ΔVOS1 和 ΔVOS2 所示。

工程师应用仪表放大器时为何困惑不解?
图 2:大多数仪表放大器的概念图
 
在需要计算输入时,用输入级增益 G1 除第二个失调电压变化 ΔVOS2。最后,由于两个失调变化的极性未知,可能为正也可能为负,因此可推导出公式 2:
工程师应用仪表放大器时为何困惑不解?
在仪表放大器产品说明书中可找到该公式,从而可计算出由温度、电源和共模电压等不同因素所引起的输入失调变化值:

工程师应用仪表放大器时为何困惑不解?
图 3:内容摘自产品说明书,说明不同因素所导致的输入失调变化。
 
将公式 2 代入公式 1,就很容易得出增益如何影响仪表放大器的 PSRR 和 CMRR:
工程师应用仪表放大器时为何困惑不解?
从输入级增益除以第二个放大器失调电压的变化值 ΔVOS2 可以得出,这两个参数会随增益的提高而增大。

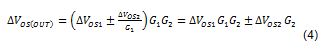
到目前为止,我们一直关注的只是输入失调的变化,但输出端会怎样呢?毕竟我们通常真正关心的是放大器输出。很明显,我们可用 ΔVOS(IN) 乘以放大器总体增益来计算 ΔVOS(OUT)。
工程师应用仪表放大器时为何困惑不解?
很多仪表放大器的输出级增益都为 1,这就意味着放大器总体增益由输入级增益决定。这样我们就可将公式 4 简化为:
工程师应用仪表放大器时为何困惑不解?
由于输入级现已成为主要误差源,因此仪表放大器的 CMRR 和 PSRR 参数可在较高增益下得到改善。但是,还有一个我们尚未讨论的影响。细心的读者在观察图 3 时可能已经注意到了:输出级失调比输入级差。
[page]
前面讨论了为什么仪表放大器电源抑制比 (PSRR) 及共模抑制比 (CMRR) 会随放大器增益的提高而改善。

回到仪表放大器的简化模型(如图 4 所示)中,我们可以再次回想起 PSRR 与 CMRR 都是输入参考参数。

工程师应用仪表放大器时为何困惑不解?
图 4:仪表放大器的概念模型
 
在更高的增益下,当需要计算输入时,可用输入级增益除以第二级失调的变化:
工程师应用仪表放大器时为何困惑不解?
这里就是二级放大器概念模型不完备的地方。例如:如果两个二级放大器的失调变化相同,而且极性也相同时会怎样呢?也就是说:
工程师应用仪表放大器时为何困惑不解?
对比增益为 1000 及增益为 1 的放大器在 PSRR 方面的改善情况:
工程师应用仪表放大器时为何困惑不解?
如果输入参考失调变化减少一半,PSRR 就可提高 6dB。但是在将增益从 1 提升至 1000 时,典型仪表放大器的 PSRR 可能会提高达 30dB。显然,ΔVOS1 必须远远小于 ΔVOS2 才能实现这种水平的改善。

我们通过仔细观察图 2 中三运算放大器仪表放大器的内部结构便可明白如何实现这种可能性。由放大器 A3 和电阻器 R3、R4、R5 以及 R6 组成的输出级可作为差分放大器配置。如果电阻器 R3、R4、R5 和 R6 符合以下比例:
工程师应用仪表放大器时为何困惑不解?
那么输出级就将只放大输入级的差分电压,抑制两个输入端的共模。

工程师应用仪表放大器时为何困惑不解?
图 5:三运算放大器仪表放大器的标准拓扑
 
放大器的输入级包含两个放大器:A1 和 A2。电源电压或共模电压的变化会带来这两个放大器输入失调的相应变化,在图 6 中分别使用 ΔVOS1A 和 ΔVOS1B 表示。

工程师应用仪表放大器时为何困惑不解?
图 6:仪表放大器的输入级放大器及其各自的失调情况
 
让我们来看看这种情况,A1 和 A2 的非反相输入接地,并将输入级增益配置为 1。现在,假设电源电压的变化会导致 A1 和 A2 的输入失调电压发生变化。那么,接地的每个放大器输出都将在失调电压中反映出这种变化。输入级的输出共模电压将为:
工程师应用仪表放大器时为何困惑不解?
而输出差分电压则将为:
工程师应用仪表放大器时为何困惑不解?
前面已提到过输出级差分放大器抑制共模电压,只有差分电压可传输至输出端。因此,输入级的输入参考失调变化 (ΔVOS1) 实际上由 ΔVOS1A 与 ΔVOS1B 之差决定,而非其绝对量级!

通过对 IC 进行精心设计与布局,这两种失调就可获得良好的匹配,从而可将输入级失调变化平均降至输出级的大约十分之一。

仪表放大器的 CMRR 与 PSRR 参数不会如魔法般地随增益提高而改善,事实上它是多级拓扑与差分放大器输出级的结果。

输入放大器的精确匹配与输出级电阻器的正确布局有助于现代 IC 仪表放大器为电子工程师提供我们已习以为常的巨大抑制功能。

相关阅读:

三运放组成的仪表放大器原理分析
选型大全:模拟世界必知的放大器知识
网友分享:微波功率放大器的ALC环路设计

要采购电阻器么,点这里了解一下价格!
特别推荐
技术文章更多>>
技术白皮书下载更多>>
热门搜索

关闭

?

关闭