陶显芳老师谈开关变压器的工作原理与设计其他相关文章:
陶显芳老师谈开关变压器的工作原理与设计之一——开关变压器的伏秒容量与测量
http://m.5r3h.cn/power-art/80022261
陶显芳老师谈开关变压器的工作原理与设计之二——对开关变压器的伏秒容量进行检测
http://m.5r3h.cn/power-art/80022265
陶显芳老师谈开关变压器的工作原理与设计之三——开关变压器伏秒容量的意义
http://m.5r3h.cn/power-art/80022276
例1:电视机中使用的行扫描回扫开关变压器,简称高压包,其工作原理属于脉冲变压器,但也属于反激式开关变压器的范畴。高压包的工作电压与占空比是固定的,其磁滞回线也基本是固定的,因此,高压包的铁芯气隙相对要留得比一般开关变压器的小,漏感相对也比较小。
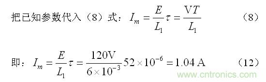
高压包初级线圈的电感量为6毫亨,工作电压一般为120V,正程扫描时间(脉冲宽度)
为52uS ,逆程扫描时间为12uS 。这里我们检测它的伏秒容量是否设计得合理,或是否工作于最佳工作状态。
为此,我们可以根据(8)式,先计算流过高压包初级线圈的最大电流Im,然后再求其极限电流Imax的值,即:测试时选用迭加电流的值。

根据上面分析,以及图8和图10,正常工作时,流过高压包初级线圈的最大电流Im不应该超过极限电流值Imax的70%,由此,可以求得流过高压包初级线圈的极限电流Imax为1.49 A 。
上面计算出来的极限电流Imax值,就是用来测试高压包初级线圈的迭加电流的数值。根据图7,把电流源的电流设置为1.49 A,即:设置测试高压包初级线圈的迭加电流为1.49 A,然后测试高压包初级线圈的电感;如果测试结果Lx的数值等于或者大于初始电感L0的90%,则说明,高压包初级线圈的伏秒容量设计是合格的,即:高压包铁芯的磁感应强度基本工作于最佳状态范围之内;如果测试结果Lx小于初始电感L0的90%,则说明,高压包初级线圈的伏秒容量余量太小,不合格,即:高压包铁芯的磁感应强度工作于接近饱和区的范围之内,磁滞损耗以及涡流损耗比较大,并且开关变压器容易出现磁饱和。
对于高压包除了测试伏秒容量的大小之外,还应该检测高压包初级线圈的漏感。正常漏感的数值一般都小于初级线圈电感量的2%,如果太大,则说明铁芯留的气隙长度过大,或者高压包初、次级线圈的绕线方法或结构不合理。
这里顺便说明,采用图7测试时应该注意的地方。图7中,隔离电感LT的数值要求是测试电感Lx数值的3倍以上,并且测量高压包初级线圈的初始电感值L0时,最好也要接入电路之中。这里,隔离电感LT可选取20毫亨以上的矽钢片直流电感,电感的铁芯要留有气隙;流电源可用一个稳压电源与一个大功率电阻串联代替,如图11,或用一个稳压电源与一个大功率晶体放大器串联来代替,如图12。

[page]
在图11中,E为稳压电源,R为大功率电阻,阻值范围在1~10欧姆比较合适,阻值太大损耗功率会很大;调节稳压电源的电压输出,就可以调节迭加电流的大小。

在图11中,E为稳压电源,Rx为可调电阻,Q为晶体管大功率放大器(必须带散热片);调节稳压电源的输出电压,或改变可变电阻的阻值,就可以改变迭加电流的大小,但晶体管大功率放大器集电极与发射极之间的电压降不要大于10V,否则,晶体管大功率放大器的损耗将很大。一般稳压电源都有电流输出指示,所以在测试电路中不需要另外安装电流表。
这里特别指出,在测试高压包初级线圈的初始电感L0的时候,高压包的铁芯必须要退磁,否则,测试结果将不准确。一般带有磁性的开关变压器初级线圈的电感量,要略大于没带磁性开关变压器初级线圈的电感量。高压包退磁的方法请参考图14和图15,以及说明。
另外,迭加电流Imax的值一般是正常工作时,流过高压包初级线圈电流(平均值或有效值)的好几倍。例如:上例测试的高压包,正常工作时,其平均电流Ip大约才有0.42 A,但迭加电流Imax的值为1.49 A ;由此求得,迭加电流Imax的值是正常工作时平均电流的3.5倍。一般高压包初级线圈漆包线的电流密度都小于3A/mm2 ,从而可求得,流过高压包初级线圈漆包线迭加电流的最大电流密度为10.5 A/mm2 。
因此,通过对高压包初级线圈伏秒容量的检查,同时也是对高压包初级线圈的线径进行检查。一般漆包线在40度温升的情况下,其最大电流密度大约在13A/ mm2左右(直流),因此,通过测量高压包线圈的温升就可以知道高压包线圈的设计是否合理。
这里顺便介绍一下电流平均值Ip的求法,以及其与最大电流Im和极限电流Imax的关系。图13是电流平均值Ip与最大电流Im和极限电流Imax之间的关系图。

图13中,Ip为流过高压包初级线圈的平均电流,
为正程扫描期间,流过高压包初级线圈的平均电流;Im为正程扫描期间,流过高压包初级线圈的最大电流;Imax为正程扫描期间,流过高压包初级线圈的极限电流;
1为正程扫描时间(52 uS),
2为逆程扫描时间(12 uS),
x 为极限正程扫描时间。
[page]
例2:电视机开关电源一般都是脉冲调宽反激式开关电源,它有两种工作方式:一种是脉冲调宽兼调频工作方式;另一种工作方式是工作频率不变,只对脉冲宽度进行调制。前一种工作方式多在自激式开关电源中使用,后一种工作方式多在由集成电路构成的他激式开关电源中使用。
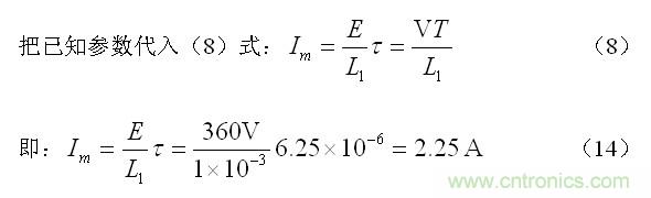
设一个100W电视机开关电源使用的开关变压器,其初级线圈的电感量为1毫亨,其最高工作电压为360V,最低工作电压为110V。由于开关管的耐压一般只有600V左右,并且还要预留最少20%的余量,因此,在最高工作电压和负载最重的状态下,开关电源的占空比最大值只能取0.25,即:D = 0.25 ;当开关电源的负载为最重的时候,占空比也处于最大值。设开关电源的工作频率为40kHz,当占空比为最大值时电源开关管导通时的脉冲宽度
= 6.25uS 。
根据上面已知参数我们可以利用(8)式来计算流过开关变压器初级线圈的最大电流Im,然后再求其极限电流Imax的值,即:测试开关变压器初级线圈电感时选用的迭加电流值。
根据前面分析,以及图8和图11,正常工作时,流过高压包初级线圈的最大电流Im不应该超过极限电流值Imax的70%,由此,可以求得流过高压包初级线圈的极限电流Imax为3.21 A 。
上面计算出来的极限电流Imax值,就是用来测试开关变压器初级线圈的迭加电流的数值。根据图7,把电流源的电流设置为3.21 A ,即:测试开关变压器初级线圈的迭加电流为3.21 A,然后测试开关变压器初级线圈的电感;如果测试结果Lx等于或者大于初始电感L0的90%,则说明,开关变压器初级线圈的伏秒容量设计是合格的;如果测试结果Lx小于初始电感L0的90%,则说明,开关变压器初级线圈的伏秒容量余量非常小,不合格。
假设其它参数不变,而把工作电压由360V降为110V时,开关电源的最大占空比可取值为0.7708,即:D = 0.7708 。由此可求得,当开关电源的工作频率为40kHz时,电源开关管导通时的脉冲宽度
= 19.27uS ,由此可以求得流过开关变压器初级线圈的最大电流Im为: 
比较(14)和(15)式可以看出,虽然开关变压器的工作电压不同,但两式最大工作电流Im以及极限电流Imax基本上是一样的。值得注意的是,虽然他们的最大电流值基本相同,但它们的平均电流值却不一样。前者的平均电流为0.281A,后者的平均电流为0.817A 。因此,在选取开关变压器初级线圈漆包线粗细的时候,一定要按平均电流的大小来选取。由此可知,一个双电压开关电源(110V/220V),其工作效率要比单电压开关电源低,因为,双电压开关电源铜阻损耗要比单电压开关电源大很多。
同理,除了测试开关变压器初级线圈伏秒容量的大小之外,还应该检测开关变压器初级线圈的漏感大小。反激式开关变压器初级线圈的漏感一般都小于初级线圈电感量的5%,如果太大,则说明铁芯留的气隙长度过大,或者开关变压器初、次级线圈的绕线方法或结构不合理。
当我们通过测试,知道开关变压器初级线圈的极限电流Imax数值,再根据(8)式或(10)式,就可以知道开关变压器伏秒容量的最大值VTm,或开关变压器伏秒容量的极限值VTmax ;根据VTm值,我们就可以进一步来确定开关变压器的工作电压和脉冲宽度
。
开关变压器的工作电压和脉冲宽度
的关系,可以根据(8)式求得。在选定工作电压的情况下,可把Im = 0.7 Imax代入(8)式,即可求得最大脉冲宽度
m 。
然后再根据脉冲宽度
进一步求占空比D和工作频率。下面(16)式和(17)式是计算脉冲宽度
和占空比D以及工作频率的关系式:
(16)式中,D为开关电源工作时的占空比,Dm为开关电源工作时的最大占空比,
为脉冲宽度,T为开关电源的工作周期,F为工作频率,E为开关电源的工作电压,Ucmax为电源开关管集电极(或漏极)的最大工作电压。一般Ucmax 的最大值只能取到电源开关管最大耐压值BVceo 的80% ,即选用电源开关管时,其耐压要留有20%的余量。因此,对开关变压器伏秒容量的测试,必须结合具体电路进行。
这里还需特别指出,在测试开关变压器初级线圈的初始电感L0的时候,开关变压器的铁芯必须要退磁,否则,测试结果将不准确。一般带有磁性的开关变压器初级线圈的电感量,要略大于没带磁性开关变压器初级线圈的电感量。




