【导读】短路故障是IGBT装置中常见的故障之一,本文针对高压大容量IGBT的短路故障,分析了IGBT的短路特性,基于已有的IGBT驱动器和有源电压箝位技术,设计了一种闭环控制IGBT关断过电压的驱动电路。通过实验证明,这种电路可以提高IGBT短路?;さ目煽啃?。
IGBT被广泛用于各类pwm变流器,如ups、变频器、有源电力滤波器等。随着IGBT制造工艺的发展,如今,IGBT的额定电流和电压已分别提升到3600a和6500v,由大功率IGBT构成的现代化兆瓦级变流器,广泛出现在各类工业应用当中,尤其是近年来,随着新能源发电技术的发展,中大功率IGBT得到了更为广泛的应用。随着变流器容量的提升,变流器在整个系统的成本以及可靠性中所占的比重日益增大,因此,兆瓦级变流器的可靠性成为广泛关注的问题。
短路时IGBT失效的原因
短路故障是电力电子装置中常见的故障之一。电机绕组绝缘击穿、电机电缆绝缘击穿、误操作、驱动指令错误、不足的死区时间,都会造成短路故障的发生。
通常,IGBT短路故障致使IGBT损坏的原因主要有以下三种。总的来说,这三种原因都可以归结为器件中硅材料或焊接导线的热效应所引起。
(1)超出硅材料的热极限
短路过程中,IGBT承受整个vdc电压,同时ic为正常电流的若干倍。IGBT将承受远大于正常运行状态下的损耗,从而使得IGBT的结温迅速升高。如果结温超过了允许的最高结温,IGBT将因热积累作用失去阻断能力。vce将迅速降低,随后整个器件完全损坏。通常,IGBT生产厂家都会保证在特定情况下10μs的短路耐受时间。
(2)IGBT擎住效应
在IGBT中存在一个寄生的npn三极管,正常运行情况下,这个npn三极管被扩散电阻旁路,不会开通。然而,在ic很大的情况下,例如短路发生时,这个npn三极管将开通,这样IGBT门极将失去对IGBT的控制力。最终,IGBT将因为过大的电流使芯片和焊接导线上产生过大的损耗而损坏。
(3)vce过电压
在?;さ缏房刂艻GBT主动关断由于短路引起的大电流时,由于分布电感的存在会产生vce过电压,vce超过了特定的限制。IGBT将因雪崩击穿而损坏;与短路电流相等的ic将集中于一块很窄的硅上从而产生一个高温的热点,因此,IGBT失去它的阻断能力,并在几十ns内失去电压。为了防止由于这类原因造成IGBT失效,除了主回路的分布电感应尽可能地小,还需要一种带有vce控制的门极驱动器。
短路故障的关断过电压
通常情况下,IGBT短路故障被分为两类,开通短路(hsf)和通态短路(ful)。
开通短路是指负载短路发生在IGBT开通过程中,如图1a)所示。IGBT在t1时刻开始开通,ic迅速升高!dic/dt由门极驱动电路的特性和 IGBT的跨导决定。vce先下降,很短时间后重新开始上升,稳态时,vce略低于IGBT断态电压——直流侧电压vdc。

图1:两种IGBT短路故障特性
通态短路是指在IGBT已经开通进入稳定导通状态之后,负载发生短路,如图1b)所示。短路发生后,ic上升,dic/dt由短路阻抗和直流侧电压vdc决定。当ic升高至由门极电压vge和IGBT跨导所决定的稳态最大电流后,IGBT将退出饱和区,vce开始升高。vce的升高将通过米勒电容cgc耦合一个电流对IGBT门极进行充电,从而使得vge升高。vge的升高将使得ic继续增大,从而使得ic表现出很大的过冲,这将导致IGBT擎住现象发生甚至毁坏。
仔细观察图1中vce曲线,可以发现,在短路过程中,vce出现两次过冲。第一次过冲是因为IGBT自身的限流作用,第二次是因为人为的IGBT关断指令。通常,第二次电压过冲是很高的,如果没有进行妥善的处理,可能造成IGBT因为vce过电压而损坏。本文主要针对解决此问题,从门极驱动器的角度,展示了一种解决方法,保护IGBT免于由于此类故障损坏。

图2:换流回路的等效电路
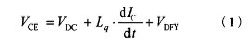
IGBT关断过电压是存储在主回路分布电感中的能量重新分配的结果,无论何时,只要流经IGBT、母排、直流侧电容的电流发生换向,关断过电压都将出现。在如图2所示的等效电路图中,可得vce如下:
其中,lq包括了母排中的电感,直流侧电容中的等效串联电感以及IGBT封装中的电感。vdfy表示反并联二极管的正向恢复电压,通常为10到50v。
为了保证vce在IGBT的额定范围以内换流电流变化率必须满足下式。

相关阅读:
大功率开关电源IGBT短路?;さ娜稚杓品椒?span lang="EN-US">
http://m.5r3h.cn/cp-art/80019306
一种新型的IGBT短路?;さ缏返纳杓?span lang="EN-US">
http://m.5r3h.cn/motor-art/80000715
第二讲:基于IGBT的高能效电源设计
http://m.5r3h.cn/gptech-art/80020858
[page]
短路时关断过电压的抑制方法
传统?;し椒?/strong>
传统IGBT驱动器 的控制框图如图3所示。正常运行时,IGBT经rg_on开通,经rg_off关断。当短路或过流故障发生时,为了限制关断过电压,IGBT经阻值较大的电阻rg_fault关断。这将使vge缓慢下降,从而消除显著的关断过电压。然而,这是一种开环的控制方法,无法完全保证IGBT在任何情况下都能够安 全的关断。同时,任何短路检测方法都需要一定的检测时间,如果IGBT关断信号在短路故障检测出之前使能,IGBT将经rg_off关断,这样一来,IGBT损坏将不可避免。

图3:传统的驱动电路
对于传统驱动器中存在的问题,本文中使用一种被称为“有源电压箝位技术”的方法,设计了一种闭环的?;で缏?,如图4所示。

图4:所采用的的闭环?;し椒ㄊ疽馔?/div>
图4中z为瞬态抑制二极管,瞬态抑制二极管为一种瞬态冲击电压?;て骷?,反应时间可以达到ns级。相比压敏电阻,其反应速度快,然而瞬态容量和稳态容量都远小于压敏电阻。
在检测到短路故障之后,IGBT经rg_fault关断,当vce升高至瞬态抑制二极管的击穿电压时,电流通过瞬态抑制二极管向IGBT门极充电,提升IGBT的门极电压vge,随着vce的继续升高,流过瞬态抑制二极管的电流将增大,从而动态的改变dic/dt,实现了关于vce的闭环?;?。
实验结果
实验的等效电路图如图2所示。验证性实验使用一只Infineon公司的半桥IGBT??閒f450r17me3作为功率开关,9只低感薄膜电容——每只225μf/1200v——组成直流侧电容,功率开关与直流侧电容通过基于印刷电路板的叠形母排连接,以保证较低的主回路分布电感。ff450r17me3为采用Infineon公司第三代IGBT芯片技术,具有更低的导通压降,更快的开关速度,同时,采用了新的econodual封 装模式,保证了IGBT封装内部更低的分布电感。

图5:试验工作台
驱动板采用infineon的1700v IGBT驱动器2ed300c17作为核心器件,提供良好的隔离和两路隔离的正负30a的峰值驱动电流能力,以及过流?;?、欠压保护等。通过实时检测导通时的vce电压,能够快速判定短路故障,及时控制门极电平,实现IGBT的软关断。其故障状态下的软关断功能和有源电压箝位功能共同作用,有效地抑制了在故障状态下关断IGBT时产生的高di/dt,降低了IGBT两端的关断过电压,保证在最严重的的短路下实现安全有效的保护。

图6:短路试验结果
在vdc=1200v下进行了短路试验,试验波形如图6所示??杉诠囟峡ǘ搪返缌骱屯ㄌ搪返缌魇?,vcemax被可靠地箝位在1350v,小于vces(1700v),使IGBT工作于安全工作区间内,有效地?;ち薎GBT,所采用的有源电压箝位技术达到了预期的效果。
相关阅读:
大功率开关电源IGBT短路保护的三种设计方法
http://m.5r3h.cn/cp-art/80019306
一种新型的IGBT短路?;さ缏返纳杓?span lang="EN-US">
http://m.5r3h.cn/motor-art/80000715
第二讲:基于IGBT的高能效电源设计
http://m.5r3h.cn/gptech-art/80020858




