上期回顾:电容选型与应用知识系列大讲台—电容基础知识大搜罗
中心议题:
- 电解电容的原理
- 电解电容的优、缺点
- 铝电解电容器的寿命
- 铝电解电容器的电路设计
一、电解电容的原理
电解电容是电容的一种,介质有电解液,涂层有极性,分正负,不可接错。电容由两个金属极,中间夹有绝缘材料(介质)构成。电解电容器通常是由金属箔(铝/钽)作为正电极,金属箔的绝缘氧化层作为电介质,电解电容器以其正电极的不同分为铝电解电容器和钽电解电容器。铝电解电容器的负电极由浸过电解质液(液态电解质)的薄纸/薄膜或电解质聚合物构成;钽电解电容器的负电极通常采用二氧化锰。由于均以电解质作为负电极(注意和电介质区分),电解电容器因而得名。

延伸阅读:电解电容解构
二、电解电容的特点
电解电容器特点一:单位体积的电容量非常大,比其它种类的电容大几十到数百倍。
电解电容器特点二:额定的容量可以做到非常大,可以轻易做到几万μf甚至几f(但不能和双电层电容相比)。
电解电容器特点三:价格比其它种类具有压倒性优势,因为电解电容的组成材料都是普通的工业材料,比如铝等等。制造电解电容的设备也都是普通的工业设备,可以大规模生产,成本相对比较低。
三、电解电容的缺点
内部损耗大:此主要是由于电解液所形成的电阻 加上相对于容量下铝箔及接点本身的电阻所形成 此内电阻 在等价电路上为串联电阻亦即影响逸散因子的因素。在大电流充放电时,可能会引致发热等现象。
静电容量误差大:因为电解电容器的大部分电容量是依靠铝箔表面凹凸不平的曲面及电解形成的氧化膜介质所形成,而此二者不管在进行处理或使用时,性质均不安定,使得许多电解质电容器的容量误差为标示值的-20%到+80%。为此项缺陷在电源电路中并无所影响。
漏电流大:主要是因为介质特性的关系,此在使用于交连等需要隔绝直流之处宜特别注意。
长期储存后,漏电流有增大及容量降低之倾向:此乃由于氧化铝膜长期浸渍在电解液中,使铝膜的介质特性劣化所致,但可于施加电压若干时间后恢复之。
延伸阅读:电解电容知识
四、铝电解电容
铝电解电容与其他的电容相比,具有体型小、容量大、对抗过高电压和逆向电压能力强的特征。在要求高性能和高信赖度的计算机、 导航仪技术以及影像设备、照相机闪光灯中得到广泛应用。
1.电容量
电容器的电容量由测量交流容量时所呈现的阻抗决定。交流电容量随频率、电压以及测量方法的变化而变化。JISC5102 规定:铝电解电容的电容量的测定是在 120HZ 频率,最大交流电压为 0.5Vrms、DC bias电压为 1.5~2.0V 的条件下进行。铝电解电容器的容量随频率的增加而减小。以下是典型的电容量随频率变化图:

和频率一样,测量时的温度对电容器的容量有一定的影响。随着测量温度的下降,电容量会变小。以下是典型的电容量随频率变化图:

另一方面,直流电容量,可通过施加直流电压而测量其电荷得到,在常温下容量比交流稍微的大一点,并且具有更优越的稳定特性。
[page]
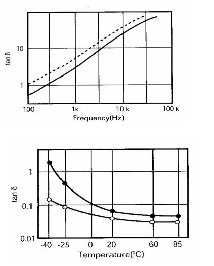
2.Tanδ(损耗角正切)
在等效电路中,串联等效电阻 ESR 同容抗 1/ωC 之比称之为 Tan δ,其测量条件与电容量相同。

Tanδ=RESR/ (1/ωC)=ωC RESR
其中:RESR =ESR(120 Hz),ω=2πf,f=120Hz
Tan δ随着测量频率的增加而变大,随测量温度的下降而增大。以下是典型的电容量随频率变化图:

3.阻抗(Z)
在特定的频率下,阻碍交流电通过的电阻就是所谓的阻抗(Z)。它与容量以及电感密切相关,并且与等效串联电阻 ESR 也有关系。具体表达式如下:

以下是典型的电容量随频率变化图:

由图可知电容的容抗(Xc)在低频率范围内随着频率的增加逐步减小,频率继续增加达到中频范围电抗(XL)降致 ESR。当频率达到高频范围感抗(XL)变为主导,所以电抗随着频率的增加而增加。由于电解液电导率随温度改变而改变,所以阻抗随着温度的变化而变化如下图所示:

4.漏电流
电容器的介质对直流电具有很大的阻碍作用。然而,由于铝氧化膜介质上浸有电解液,在施加电压时,重新形成以及修复氧化膜的时候会产生一种很小的称之为漏电流的电流,刚施加电压时,漏电流较大,随着时间的延长,漏电流会逐渐减小并最终保持稳定。

测试温度和电压对漏电流具有很大的影响。漏电流会随着温度和电压的升高而增大(如下图所示)。
[page]
5.铝电解电容器的寿命
5.1.忽略纹波电流时的寿命推算
一般而言,铝电解电容器的寿命与周围的环境温度有很大的关系,其寿命可以由以下公式计算。与温度比较,降压使用对电容器的寿命影响很小,可忽略不计。

其中,L:温度 T 时的寿命,L0:温度 T0 时的寿命
5.2.考虑纹波电流时寿命的推算
叠加纹波电流,由于内部等效串连电阻(ESR)引起发热,从而影响电容器的使用寿命,产生的热量可由下式计算

其中,I:纹波电流(Arms),R:等效串联电阻(Ω)
由于发热引起的温升如下式所示:

其中,△T:电容器中心的温升(℃),I::纹波电流 (Arms) ,R: ESR (Ω),A:电容器的表面积(cm2), H: 散热系数( 1.5~2.0x10-3W/cm2℃)
上面公式(3)显示电容器的温度上升与纹波电流的平方以及等效串联电阻 ESR 成正比,与电容器的表面积成反比,因此,纹波电流的大小决定着产生热量的大小,且影响其使用寿命,电容器的类型以及使用条件影响着△T 值的大小,般情况下,△T<5℃。下图表示纹波电流引起的温升的测量处

测试结果:
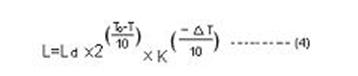
(1).考虑到环境温度和纹波电流时的寿命公式

其中,Ld:直流工作电压下的使用寿命,(K=2,纹波电流允许的范围内),(K=4,超过纹波电流范围时),T0:最高使用温度,T:工作温度,△T:中心温升
(2)电容器工作在额定的纹波电流和上限温度时,电容器的寿命可通过转化(4)式得到,如下:

其中,Lr:工作在额定纹波电流和最高工作温度下的寿命(h),△T0:最高工作温度下的电容器中心容许温升。
(3)考虑纹波电流,环境温度时可由(5)式得到下式:

其中,I0:最高工作温度下的额定纹波电流(Arms),I:叠加的纹波电流(Arms)
由于直接测量电容器的内部温升存在着困难,下表列出了表面温度和内部核心温度的换算关系。

寿命的推算公式,原则上适用于周围环境温度为+40℃到最高工作温度范围内,但由于封口材料的老化等因素,实际的推算寿命时间一般最大为 15 年。

表 5-1 寿命推算曲线
延伸阅读:电解电容的使用寿命
浅谈电解电容寿命——请注意测试条件!
[page]
6.冗余电压
铝电解电容器先充电,再放电,而后再将两引线短接,再将其放置一段时间后,两端子间存在电压上升的现象;由这种现象所引起的电压称之为再生电压。当电压施加在介质之上时,在介质内部引起电子的转移,从而在介质内部产生感应电场,其方向与电压的方向相反,这种现象称之为极化反应。在施加电压引起介质极化后,如果两端子进行放电一直到端子间的电压为零,而后将其开路放置一段时间后,一种潜在的电势将出现在两端子上,这样就引起了再生电压。再生电压在电容器开路放置 10~20 天时达到峰值,然后逐渐降低,再生电压有随元件变大而增大的趋势(基板自立形)如果电容器在产生再生电压后,两端子短路,瞬间高电压放电可能引起组装线上的操作员工的恐惧感,并且,有可能导致一些低压驱动元件(如CPU,存储器等)被击穿的危险,预防出现这种情况的措施是在使用前加 100Ω~1KΩ的电阻进行放电,或者在产品包装中用铝箔覆盖引起两端子间短路。
7.极性
铝电解电容器一般是有极性的。极性接反是造成铝电解电容器短路及漏液的原因,并可能导致危险的发生。因此在无法辨识的电气回路上或使用于有极性变换设计的回路时,请选用双极性电解电容器。
8.电解电容器的储存
电解电容器应在温度为 5~30℃,湿度为 75%以下的室内储存。当电解电容器经过了长时间放置后,由
于原电池的作用使其漏电流有增加倾向。因此在使用经过长时间放置的电解电容器以前,需先施加额定电
压直至其电气特性恢复正常。
9.电路设计
在电路设计及生产过程中,应严格按照铝电解电容器的额定性能范围使用,尽量避免下述情况下使用
(1) 高温(温度超过最高使用温度)
(2) 过流(电流超过最高纹波电流)
(3) 过压(电压超过最高额定工作电压)
(4) 反向加压或交流电压
(5) 使用于多次急剧充放电的回路中
电容器外壳、辅助引出端子与正、负极以及电路板间必须完全隔离;当电容器套管的绝缘性能不能保证时,在有绝缘性能特定要求的地方不要使用;
电容选型与应用知识系列大讲台—电解电容应用选型篇(二)


