中心议题:
- 计算机仿真
- 参数建模法
- 子电路建模法
解决方案:
- 直接通过研究器件资料得到所需参数的数值,生成库文件
- 单元电路和集成电路新产品,由用户自己创建子电路的网格表转化库文件
计算机仿真具有效率高、精度高、可靠性高和成本低等特点,已被广泛应用于电力电子电路(或系统)的分析和设计。计算机仿真不仅可以取代系统许多繁琐的人工分析,减轻劳动强度,提高分析和设计能力,还可以对电路进行优化和改进,最大限度地降低设计成本,缩短系统研发周期。
但这些优点都是基于元器件模型,电路的数学化主要是元器件的模型化,可以说没有模型化就没有电路的仿真分析。简单的元器件,比如,电阻、电容和电感等,只需要一个或几个参数就可以描述其电学性能。而各类半导体和集成器件,则需用很多参数来描述较复杂的建模过程。
目前各种仿真工具中都自带很多常用的元器件模型,但是自带模型库永远跟不上电子元器件的更新速度。这里针对建模的重要性和必要性,研究当前流行的电子电路仿真工具的电子元器件模型,提出两种建模方法:参数建模法和子电路建模法。
参数建模法
参数建模法主要是针对加工工艺相同的一类半导体器件提出的,其工作过程是先利用物理法或黑箱法构建出不同复杂程度的等效电路,然后通过公式演算,得出这类半导体器件的参数。在使用过程中,若遇到该类器件,就可以通过直接设置参数值实现不同型号元器件的建模,从而省去重复构建等效电路和繁琐的方程式推导过程。
下面以N沟道MOS(metal-oxidesemiconductor)晶体管为例说明等效电路与参数之间的关系。典型的N沟道MOS晶体管组成示意图如图1所示。

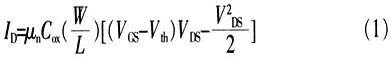
设置栅极宽度为W,有效栅极长度为L,栅极下氧化层的厚度为tOX。MOS管的特性方程为:

式中,COX是每单位面积的栅极电容。Vth为栅极-源极间的阈值电压。
[page]
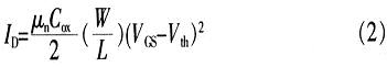
当VDS增加时,ID上升,直到沟道的漏极末端夹断,ID不再上升。这种夹断发生在VDS=VGS-Vth时。因此工作区MOS管的特性方程可简化为:

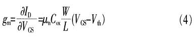
通过式(2)得到如图2所示的MOS晶体管等效电路,其中压控电流源gmVgs是模型中最重要的部分,晶体管的跨导gm定义为:

将式(2)代入式(3),可得出:

图2中,gsVs表示第2个压控电流源,模拟漏极电流id上的体效应。当源极与地相连时,或其电压不变化时,此电流源可忽略。当体效应不能忽略时,则有:

式中,γ是体效应参数,|2φF|为表面反转电势。图2中,电阻rds表示有限输出阻抗,模拟沟道长度调节和漏极电流因Vds改变而引起的效应,由式(1)可得:

图2中,电容的求解过程参见参考文献[1],以下给出结果:

Cgs是最大电容,需要较高精确度时可表示为:

LD是重叠区的距离。
[page]
第2大电容Csb表示为:式中,As是源极的结面积,Ps是源极的结周长,不包括与沟道相邻的一边,Cj-sw表示0V偏置下的侧壁电容。

(Cj0偏置下的耗尽结电容)。
Cgd称为密勒电容,其值为:Cgd=WCoxLD。
源极主体电容Cdb表示为:Cdb=C''''''''''''''''db+Cd-sw=AdCjd+PdCj-sw,其中,Ad是漏极的结面积,Pd是不包括与栅极相邻部分的结周长

在仿真工具中建模,可指定如表1所示参数,系统自动根据上述计算式确定等效电路参数,从而完成该器件的建模。

在pspice中仿真得到预期结果,如图4所示。

可见参数建模法省去了构建等效电路的过程,只需通过厂商提供的器件特性参数就可以直接建模。但该方法只适用于固定结构的半导体器件。

[page]
子电路建模法
随着电子器件的不断更新,单纯依靠修改参数值进行建模已经远远不能满足现在电子电路仿真的需求。针对常用电路单元和集成电路新产品,本文提出一种为新产品建立一个子电路模型的方法,并将该模型作为一个器件添加到仿真软件的模型库,在仿真电路时用户可以像调用自带库一样直接使用该模型。
将此种的文本文件存为.lib的后缀名后,通过ModelEditor工具将该文件与器件符号联系在一起,就可以使用在电路仿真中。图5为AD648C的简单运用电路,从图6瞬态分析结果可知建模正确。

对于前面所述的器件内部全部子电路建模法,很多时候并不能如此具体的了解一个器件内部的所有结构,这种情况下只能通过模拟器件行为建模。直接在子电路中用运算函数代替电路本身。
对高压开关稳压器MC33363进行以下的子电路连接网格表:

语句GSUPP34VALUE={IF(V(33)<3.5,250U,3.5M)},表示节点33和节点3、4之间连接的??槭迪值笔淙攵?3节点的电压小于3.5V时,输出端节点3和节点4之间的电压为250μF,否则为3.5mV。该网格表使用到的EVALUE和GVALUE器件是将输出量和输入量之间运算函数关系用语句表示。EVALUE和GVALUE称为模拟行为模型(ABM)器件,除了这两个外还有:*SUM、*MULT、*TABLE、ABS、LOG等,带有“*”符号的元器件,有E、G两种类型。使用ABM器件可省去实现这些换算的电路,简化子电路建模的工作量。
电路原理图仿真的最大瓶颈在于电子器件的建模,针对这一难点给出两种方法:一种是对于已经参数化的典型半导体器件,可以直接通过研究器件资料得到所需参数的数值,生成库文件:另一种是针对一些单元电路和集成电路新产品,由用户自己创建子电路的网格表,再转化为库文件。实验证明这两种方法都是行之有效的。




