- 基于数字滤波器的内阻测量技术
- 监测装置与充电机互动设计方案
- 监测装置的模块化设计
- 监测采用不同深度放电测试达到检测SOH的目的
- 检测??橥瓿墒莶杉?,并将数据传给控制模块
- 内阻??橛胂低车姆植际浇峁瓜嗍视Γ芗觳饽?榈牡鞫?/strong>
- 控制??橛糜谑荽洹⒋砗腿嘶缑娌僮?/strong>
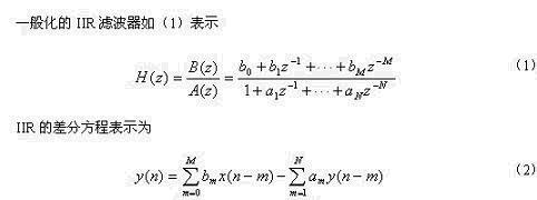
一、基于数字滤波器的内阻测量技术
在线测量每个单电池的内阻是检测装置的难题之一,测量准确度直接关系到分析的准确度。在线测量需要解决充电机和用电负载干扰的问题。对于大容量电池,内阻是微欧级小信号,本文采用了数字滤波技术提高测量准确度。
在线测量主要存在以下因素影响测量:
1)测量线耦合的高频干扰信号;
2)50Hz工频干扰;
3)充电机低频纹波;
4)充电或放电的电压缓变;
5)负载的不规则变动。
对于高频干扰,一方面通过硬件低通滤波削减,另一方面,在有效的A/D采样频率下进行平滑滤波处理。有效信号组成如图1-1所示。

本文的研究中设计了专用的激励装置,向电池组馈入受控交流信号,测量电路采集被测电池的交流电压信号。为消除上述影响因素,采用了IIR数字滤波技术。

采用直接方式即可实现差分方程运算。图1-2是采用椭圆滤波器设计的带通滤波器,M=N=11,具有良好的下降斜率,在通带和阻带内均为等纹波。
[page]表1是量程为50mΩ的实测数据,表明该方法具有良好的线性和重复性。
表1采用IIR滤波器的实测数据(mΩ)

二、监测装置与充电机互动设计方案
监测装置与充电机互动方案是提高劣化程度预测准确性的创造性工作模式,其基本结构如图2-1所示。

互动方案的监测系统结构
浮充状态下的测量理论和方法有其固有的局限性,放电测试能得到更为可靠的数据,但目前的放电测试或者需要人工干预,或者在不确定的停电发生后被动进行,前者难于经常性的进行,而且风险较大,后者的不确定性也带来隐患。本文的互动方案是针对先进电源装置的系统化设计方案,能有效解决前述的多方面问题。
互动方案的主要原理是:电池监测(BatteryMonitoringUnit--BMU)进行日常的巡检,并且分析采集的数据及变化趋势,在一定条件下请求充电机(RectifierUnit--RU)配合进行部分放电测试。由于RU在部分放电时设置为一个比蓄电池放电下限电压低的某一整流输出值,既能使电池提供用电设备的负荷功率,又避免了放电过程中由于电池问题带来的停机风险。
在正常浮充状态下,BMU连续检测电池组的电压和内阻,若发现电压或内阻异常,则启动部分放电测试过程,进行更深一层次的测试。该测试过程也被设置为按一定周期启动,如一个月。
在放电测试期间,将劣化程度预测模型所需的放电数据,采集包括浮充电压、初始跌落、正常放电电压等数据,通过电池的劣化程度(SOH)预测模型运算,准确得知SOH。
此外,互动方案并不排斥停电后的被动测试,被动放电也可以触发进行预测计算,出现放电即触发数据采集,在放电深度达到某个设定值时启动一次预测运算。
这样,在内阻监测的基础上,监测系统通过采用三类不同深度的放电测试达到长期连续准确检测SOH的目的:
1)完全放电电池在投运之前应进行一次100%深度的放电,以确认该电池组能满足设计要求。否则,若存在产品本身的质量问题,会影响到后续监测数据处理的准确性,放电前应该充满并在浮充状态保持一定的时间。
2)中等深度的放电中等深度指30—50%深度的放电。检测装置的数据处理方法根据此深度的放电数据可以相当准确地计算各电池的SOH,同时亦避免了更加深度放电过程的突然停电,使设备承受断电的危险,一般的电池配置往往考虑了电池容量的裕量,比如一倍。因此中等深度的放电在一般情况下,包括一般停电故障发生情况下是安全的。
3)周期性的短时放电根据蓄电池应用场合选取适合的周期,例如3个月。一般短时放电的深度为5%左右,检测装置启动FNN运算,预测电池的SOH。因为是预测,其可靠程度在目前仍处在研究中。这也包括FNN算法中所使用的输入数据是否对所有的电池失效情况均敏感。在FNN运算中,还存在算法的“保守性”一面,即宁可低估SOH,也放弃高估SOH所带来的风险。
因此,互动方案在长期运行方式如图2-2所示,一般为多次短时放电测试后加入一次中等深度放电,或者在短时放电测试结果发现电池可能严重劣化时进行一次中等放电予以确认。如果被确认预测结果正确,则通知控制中心;若证明预测有误,则对预测模型作自适应调整。在最后一次中等深度放电确定电池劣化严重后,采取更换措施,更换之前进行一次完全放电,本组数据对于SOH模型的完善有重要意义。

图2-2互动方案的监测过程
[page]
三、监测装置的??榛杓?/strong>
3.1监测装置设计要求
如图3-1所示,装置由控制???、检测???、内阻???、相关软件和辅助部件构成,一个控制??榭山尤攵喔黾觳饽??,完成对不同只数和不同电压规格的蓄电池组的监测管理,可同时管理多组蓄电池。

图3-1监测装置硬件结构
3.2检测??樯杓?br />
检测模块主要包括5个部分:
1)电压、电流、温度的测量电路;
2)通道切换;
3)A/D转换电路;
4)微处理器单元;
5)通讯接口。
检测??橥瓿墒莶杉?,并将数据传给控制???。高精度、高时效的数据采集模块采用??榛杓品桨?,兼顾了专用化与通用化原则,配置灵活,根据采样点种类及规模的需求,各个模块可单独使用,亦可自由组合,能适应不同的监测场合。
电池组是由多个单电池串联构成的,一般的配置情况如表3-1所示。

电池的串联给采样电路的设计带来困难,目前的主要解决方法有以下几种:
1)继电器切换由于机械触点的寿命和可靠性问题,不能使用在需要快速巡检的场合。
2)分段采样将电池组分段,使得每段的电压降低,使用常规的巡检电路。由于每段之间需要隔离,带来成本的提高。而且,如果发生电池开路,加在某一段的电压仍然可能很高,同时还存在现场接线顺序出错时可能损坏电路。
3)在许多的设计中都使用了电阻分压方法,由于可以为每一通道设定标定系数,在一定程度上可以修正因电阻匹配精度不够所带来的共模误差。该方法的长期稳定性受电阻的稳定性制约,在高共模下很难达到需要的准确度。
BB公司INA117高共模运算放大器电阻的匹配达到0.005%、温度系数为1ppm时共模抑制比为86dB,在400V共模范围的检测误差达到20mV,对于2V的VRLA电池,浮充电压的检测准确度应该达到10mV或更优。显然,在现实中很难用分压方法获得如此高的准确度。
4)耐高压电子开关本课题中使用耐高压电子开关解决巡检的困难。PhotoMOS是一种新型光耦合的耐高压电子开关,它与普通的光耦相似,但输出端为场效应管,克服了晶体管的管压降问题,适合本文所要求的高耐压、高精度、高速的要求。
高共模采样电路原理如图3-2所示,在A/D和CPU之间采用光耦合方式进行电气隔离。[page]

图3-2高共模采样电路
3.3内阻??樯杓?/strong>
内阻??橛胂低车姆植际浇峁瓜嗍视?,接受检测??榈牡鞫?。用于向电池组注入内阻测量的激励信号。
内阻??榈纳杓浦饕芯拷饩鲆韵?方面问题:
1)受控波形和频率受采样??镃PU控制,可以工作在设计范围内的任意频率点和不同波形。
2)稳定性和准确性要保持长期工作的时间稳定性和温度稳定性,??橹淇梢曰セ?。
3)独立性激励信号不受电池充放电回路的影响。
4)工作范围宽能够在电池组的最低放电下限和最高充电上限范围内正常工作。
以上要求主要体现在硬件电路设计中。
3.4控制模块设计
控制??橛糜谑荽?、处理和人机界面操作,具有远程(集中)管理RS-485(RS-232)接口、检测??榭刂瓶?、操作键盘、显示面板、声光报警及报警输出接点??刂频ピ凳毕允镜绯厥?,智能分析数据,对异常的电池运行情况进行及时报警。通过总线结构控制检测??楣ぷ鳎占觳饽?椴杉氖荨1镜ピ苑⑸氖录信卸洗聿⒎⒊錾獗ň?,完成数据的通讯、存储和查询功能,这些功能供运行人员进行现场事件处理使用。
四、监测装置应用
在本文的研究过程中,监测装置在电信48V直流系统、电力220V直流系统和石油化工400V不间断电源系统3种典型的阀控铅酸蓄电池应用场合得到实际应用,验证了技术方案的合理性。
以电信局站直流系统为例,电池应用有以下特点:
1、48V系统,每组由24只2V单体电池串联,一般2组电池。
2、大容量电池,摆放合理,运行环境较好。
3、难于进行周期性容量核对放电。
4、一般有备用油机,停电后一段时间即启动油机,电池容量下降的问题更难及时发现。
5、电池数据可通过动力环境集中监控系统传送至中央控制室。
电池监测采用了1个控制??榇?个采样??楹?个内阻???,该系统接入环境集中监控系统,与中心控制室联网。
根据阀控铅酸电池的一般使用情况和监测管理的目的,监测装置的设计主要考虑以下几个方面:
1)浮充电压测量电池的运行参数主要受充电机的控制,尤其是电池的浮充电压,直接影响电池的浮充使用寿命。浮充电压的相对差异很小,要求测量电路具有高准确度;电池组串联后的高电压要求电路具有抗高共模性能。
2)电流监测检测电池充电,放电,电流值。
3)环境温度(或标样电池温度)监测。
4)内阻测量在线测量每个单电池的内阻值。
5)??榻峁瓜低骋阈畹绯赜τ玫拇蟛糠钟τ贸『?,包括电信、电力、UPS等不同电池配置的应用??梢愿莸绯氐牟煌俊⒉煌娓窈筒煌陌诜判问嚼戳榛钆渲?,便于现场安装与维护。
6)网络化设计,网络化和信息化是电子设备的发展趋势,系统设计要有通讯接口和多种网络方案。要适于远程管理和集中监控。
7)可靠性检测装置应用于对可靠性要求很高的场合,要求装置长期稳定工作。
8)电磁兼容检测装置应对用户设备不能产生任何附加干扰,保证用户设备同监测系统共同长期稳定工作。同时还要求装置具有较强的抗干扰能力,在大功率电源装置投切时保持稳定。




