【导读】在工程机械电气系统设计中不可避免地存在一些感性负载,如启动线圈、继电器、电磁阀、电喇叭和空调离合器等。当断开或接通这些感性负载的电源时,都将在电感线圈两端产生高于电源电压几倍乃至几十倍的反向瞬时电动势,这种因电磁感应而产生的脉冲电压不仅能使控制器件的触点间产生电击穿,出现飞弧放电现象,而且能使其他电子仪表或元件性能恶化甚至损坏,大大降低其寿命和可靠性。
1 脉冲电压的形成
一般感性负载可等价如图1所示。

IR电路在电源开关闭合瞬间,电压及电流都随时间而变化,称为过渡过程。之所以出现这种现象,是由于当线圈中电流变化时,线圈本身就产生自感电动势来阻碍电流的这种变化。由于这种阻碍作用,经过一定时间以后电压及电流才能达到稳定状态,电流达到稳定状态的63%所需时间称为时间常数T,可由下式表示。
L愈大,R愈小,时间常数就愈大,与电源电压的大小无关。
由于线圈的自感而产生的反向电动势的幅值可由式(2)计算。
式中:
L——线圈中的电感;
当控制开关切断电路时,瞬时脉冲电压
将产生电弧,电弧是由于气体中有大量的带电粒子作定向运动而产生的。触点在分离的瞬间其间隙很小,电路电压几乎全部降落在触点之间,在触点间形成很强的电场从而产生撞击电离、热电子发射和热电离现象导致飞弧。飞弧的产生将加快触点表面的氧化,严重的将烧蚀触点而发生故障。随着机电一体化技术的发展,越来越多的集成电路用于工程机械,瞬时脉冲也将对这些低电平敏感电路产生很强的干扰,使控制误差加大乃至控制失常。
2 抑制措施
常规设计中所选用的继电器、电磁阀、电喇叭等感性负载部分没有瞬时反电势的抑制措施,这常导致电气部分故障率升高,因此很有必要采取反电动势的抑制措施。从简单实用的角度出发,常用的抑制网络如下:
(1)D网络

如图2,该网络常装在线圈两端,在开关断开瞬间电感线圈两端的反电势被续流二极管钳位于1V以下,故该网络对反电势的抑制效果较好。但由于电能损耗少,电磁机构的动作频率降低很多。续流二极管的选取一般为:耐压值≥电源电压,额定电流≥负载电流。
(2)R-D网络

如图3,在D网络的基础上再串联电阻R,可对动作灵敏度和反电动势的抑制统筹兼顾,只要R、D选择适当,应用效果较好。R-D网络通常置于线圈两端,如图3。D参数选择可令R=0时用D网络选择法。R参数选择分为两步:第一步确定阻值,先用较大的可变电阻器串入,从几十千欧逐步减小,直到电磁机构动作速度满足要求,同时又无干扰出现,即可确定其阻值。第二步确定R的功率,由式(3)计算:
式中:
f——电磁机构动作频率;
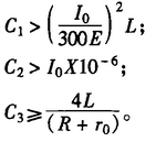
(3)R-C网络

如图4,在网络中串联电容C。网络中电阻值的选择可按式(4):
电阻的功率:
网络中C值的选择如下:
式中:

式中:
E——电源电压;
R——网络中的电阻;
f——电磁机构的动作频率。
实践表明,一般情况下上述三种网络就近加于线圈两端即可有效抑制瞬时反电动势对电气系统的破坏,提高整个系统的可靠性。对要求较高的场合,可在触点上另加保护网络。
推荐阅读:




