【导 读】电磁兼容性包含着2方面要求,其一是要求产品对外界的电磁干扰有一定的承受能力;其二是要求产品在正常运转过程中,该产品对周围环境产生的电磁干扰不 能超过一定的限度。汽车电器的电磁兼容性就是指在汽车及其周围空间中,在运行时间内,在可用的频谱资源条件下,汽车本身以及周围的用电设备可以共存,不致 引起降级。
ABS防抱死制动系统,发动机燃油点火电子控制系统,GPS全球定位系统等电子设备的正??煽抗ぷ鞫急匦胫厥佣缘绱偶嫒菁际醯纳杓坪脱芯?,可以从传统的汽 车电器(诸如起动机、刮水电动机、闪光器、空调启动器、燃油泵等)入手进行探讨,交流发电机电缆的连接和间歇切断也是产生较大功率电磁辐射的干扰源,只是 其它设备对其工作可靠性的影响较那些小功率高频段的电子设备为小。现在,交流发电机的调节器与电子点火系统一样,已经设计成集成模块化结构,同样面临抗干 扰的问题。
电磁干扰的来源、传播途径及检测
(一)电磁干扰的来源
汽车电器设备受到的电磁干扰的来源常分为3种:周围高压变电所输电线、大功率无线电发射基站、行驶中相距较近的汽车、雷电、太阳黑子辐射的车外电磁干扰; 由于行驶时车体与空气高速摩擦,在车体上形成不均匀分布的静电而产生的车体静电干扰;点火系统产生的车内电磁干扰等高频辐射干扰。电动机电刷换向火花的电 磁辐射,起动机电磁开关和各种开关工作时放电干扰等,都是汽车电器设备电磁干扰的来源。
(二)电磁干扰的分类及传播
电磁干扰(EMI)按频段可粗略划分为:0.02~2kHz,谐波干扰;2~300kHz,传导干扰或载频干扰;0.3~300MHz,射频干扰;0.3~300GHz,微波干扰。
从干扰的途径来分,0~300kHz并存着传导干扰和交变电磁场引起的近场感应干扰;射频和微波干扰都是远场的辐射干扰。当设备和导线的长度比波长短时,主要的问题是传导干扰;当它们的尺寸比波长长时,主要的问题是辐射干扰。
(三)3 类干扰分述如下
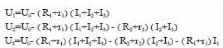
a.传导干扰是通过电路连接的导体传播,共电源线,共搭铁线。图1为传导干扰的电路原理图。
根据电子电工学知识可得各电器的工作电压为:

式中:R——电源线电阻;
r——搭铁线电阻;
U——支路电压;
I——支路电流。
可见一个电器电流的变化会影响其它电器电压变化,引起干扰。降低电器间相互干扰,必须减小R、r和I。
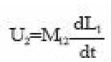
b.感应干扰由各类电器、导线的交变电磁场引起,下面从电场耦合干扰和磁场耦合干扰来叙述其原理。图2、图3分别表示其电路原理图。

分析图2,则导线2上干扰电压U2为:

式中:C12——两导线间电容;
C20——导线2搭铁电容;
R——回路电阻;
U1、I1——导线1的电压、电流。
减小U2,应从降低C12和R或增大C20入手,即增大导线间距离或改变电器导线间介电参数。
磁感应干扰与两回路长度L1、L2,导线间距离b相关。由图3可知

式中:

μ0——真空导磁率;M12——两回路间互感。
降低U2,在于增大b和减小回路面积来减小M12,或减低电压变化率。
c.辐射干扰是射频的无线电发射通过导线电缆和金属构件这些等效的天线进行发射干扰,因而线束的辐射干扰是最严重的一种。由描述电磁波的Maxwell方程可知,减小射频电磁场的强度,要减小高频电流I、辐射的有效长度L或增大距离b。
(四)电磁干扰的检测
汽车电路系统由蓄电池和整流的交流发电机作为核心电源,车体作为共用搭铁,各个电器装置并联其上。相连的线束造成电器间彼此传导干扰;相邻的导线间会有感应干扰;因为天线效应,不相邻导体间又存在着辐射干扰。因而电磁干扰综合着3种途径,覆盖较宽的干扰频率。
应用频谱分析仪进行电磁兼容性分析研究,检测电磁干扰直观且可以定量。它是一种30~1000MHz窄带扫频接收机,能在某一时刻接收某个频率范围内的能 量,记录下不同频段内干扰的幅值。缺点是对于时间很短频谱范围很宽,如静电放电这一类瞬态的脉冲干扰,不能宽频段全貌反映实际干扰情况。常常只能数台同时 启用进行观测分析。
汽车电器电磁兼容性
面对的3项技术问题和提高电磁兼容性的措施电子电器产品系统降噪技术在20世纪70年代已受到各国关注,至20世纪90年代美国联邦通讯委员会(FCC) 和欧盟CE先后提出对该类产品的有关规章。这些规章要求各公司确保其产品符合严格的电磁环境影响和发射准则。符合这些规章的产品称为具有电磁兼容性 (EMC)。
(一)电磁兼容性要面对的问题
汽车电器电磁兼容性需要面对的3个技术问题是:
①探讨电器产生的电磁辐射(EME)并控制为最小;
②电源电压的瞬变,车灯、起动机等重负载和感性负载引起的瞬态干扰是如何恶化汽车的电磁环境的;
③如何把电磁敏感性(EMS)降低到最小。电磁敏感性(Electro-Magnetic Susceptibility)是指存在电磁骚扰的情况下,装置设备或系统对自身性能降低的无作为能力。当敏感性低时,抗扰性则强,足以防护电器电子产品 免受其它系统有害辐射的影响。曾有EMC=EMI+EMS这样一个模拟的公式,表示电磁兼容性是研究降低电磁干扰和降低电磁敏感性,即增强抗干扰能力的。
(二)提高电磁兼容性能的措施
降低电器的电磁干扰强度:①要降低发电机纹波电流。交流发电机是大的功率源,减小高次谐波分量可以大幅度降低传导和辐射干扰,对电器而言输入电流谐波属于 EMI;②应在闪光器触点前加电弧抑制器;③感性负载(如刮水电动机、燃油泵、起动机)有电刷换向器,需要滤波电容器旁路换向火花所产生的高频辐射。电容 要达到良好的滤波效果,它与噪声源的公共搭铁之间的连线要尽量短。
自由空间中的导线电感每毫米约为0.04nH。如果电刷产生的噪声频率为50~100MHz,当电容连接的导线长度为100~150mm时,导线不计线间 电容,则感抗XL=2πfL=3.77Ω;而0.1μF电容的容抗XC=1/(2πfC)=0.159Ω。若导线长度缩短为25mm,感抗仅为 0.628Ω,滤波电容效果提高80%。滤波器件应直接由噪声源搭铁,使回路阻抗最小,有最佳滤波效果。必须注意,有交流分量的输入端安装电容一定要慎 重,解决EMC问题的同时,不能引起过大的漏电流,超出安全规范的规定。
在电刷上连接一个10~25μH的电感,吸收电刷通过换向器间隙时流经电刷电流突变的能量,串联在电路中的扼流圈和对搭铁的旁路电容组合成低通滤波器,也能抑制传导干扰。LC滤波器比单个电容有更宽的滤波带宽,而干扰波形尖峰产生的辐射干扰的抑制通过屏蔽来实现。
同一设计的汽车电机电器产生的干扰,由于工艺等的差异在幅度和频率上有很大的随机性。有一个良好的搭铁线,甚至将产生干扰的电器装置限制在一块公共搭铁板 上,就近接到车体或线束的屏蔽层搭铁,才能保证滤波、屏蔽最有效。低频电路的搭铁,应尽量采用单点并联搭铁;高频电路宜多点串联搭铁,搭铁线短而粗,更有 效抑制长搭铁走线产生的共模干扰。输入输出元件尽量隔远些,高频元件间要防止分布参数造成相互干扰。
合理布线,合理规划线束,使大功率干扰电路应尽可能紧靠负载,小功率敏感电路紧靠信号源,尽量分开大功率电路和小功率电路,减小线束间感应干扰和辐射干 扰。经过滤波的电源线要尽量远离各种信号线,以防高频信号耦合到电源线,造成传导发射超标。对较长的线束应在线束上增加滤波器,常用的方法是套上铁氧体磁 环,降低传导和辐射干扰。用于抑制电磁干扰的磁环不同于一般用做电感的铁氧体,它的品质因素Q值甚低,损耗较大。
滤波、屏蔽、优化布线和搭铁是4项EMC最常规采用的有效措施。但汽车钢制车体总是作为直流电源回到负极的电路,既作为搭铁线,又是射频阻抗较小的信号回 流线。所以汽车电器还采用阻尼的方法来抑制辐射。发动机火花塞的中心电极对壳体通过绝缘介质构成电容,中心电极本身又具有电感,这样就形成一个LC振荡回 路,火花塞的导线起着天线作用,以电磁波形式向空间发射,电刷与换向器、滑环间的火花,喇叭、灯开关,机械式调节器、传感器的触点开关,由于各自回路LC 的差异,射频干扰频率范围在0.15~1000MHz之间。点火装置就是采用在高压电路串入阻尼电阻有效削弱电火花产生的高频振荡,但过大的阻值会影响火 花塞电极的能量,故一般不超过20kΩ。常采用直径1mm的NiCrAl丝绕成,LCR并存,有良好的阻尼振荡辐射作用。
干扰电波具有下述特性:当从发生源临近的地方移开时先以距离3次方的速率衰减,稍远些时,以距离二次方的速率衰减,最后随距离线性衰减。
FCC第15部分规定30~88MHz的极限值为100μV/m。
在80MHz处,相距干扰源50cm的位置,测得辐射强度80μV/m,应为合格,当距离减小为30cm时,其辐射强度变为800μV/m,是极限值 100μV/m的8倍,高出18.1dB。“?;ぞ嗬?rdquo;的概念,是指在某种条件下使用电器设备,仍可能会产生干扰。当今汽车设计中都有一个高度集成的微控 制器MCU,它用来完成大量的计算并实现有关车辆运行的控制,包括发动机管理和制动控制。除MCU模块自身满足EMC规范外,必须使这类关键元器件在?;?距离以内,达到优良的电磁兼容性能,免受其它电器电子设备干扰。
改善电磁兼容性的试验研究
电磁兼容性的仿真计算仅能对电器的电磁性能进行初步粗略的估算,最终改善汽车电器的电磁兼容性须待试验进行验证。下面对2种汽车电器产品采用综合改进措施前后的干扰波形图进行对比。

刮水电动机是直流永磁蜗轮减速电动机,额定功率为60~100W,既是感性负载,又有电刷换向火花的存在,是一个大的干扰源。改善刮水电动机的EMI性能需要改进传统的换向结构,并在刷握近处加滤波处理。图4是改进前后的干扰波形图。
用无刷直流电动机做刮水电动机,采用霍尔元件做位置传感器,脉宽调制(PWM)变频调速,在扫频仪上可以看到3~18次的高次谐波干扰。
作为信号装置的闪光器是典型触点继电器式的器件,触点处于频繁火花通断工作。相连的线束上产生的传导干扰,又引起较大的辐射干扰。改善EMC的措施是在线 束上加套的铁氧体磁环,和闪光器出线处连接的0.1μF电容构成低通滤波器,抑制了传导干扰,射频干扰也得到大幅度衰减(尤其是50~100MHz段)。 图5为12V/20A的闪光器改进前后干扰波形。
同一设计的汽车电机电器产生的EMI,由于元器件、布线工艺等的差异,干扰幅度和频率上会有较大的随机性。在定性的理论指导下,采取1~2项或综合的改进措施,统一工艺规范,反复实验总结,都能达到满意的结果。
结语
我国对汽车电器电子设备电磁兼容性系统研究起步较晚,目前已日益受到重视,这对提高汽车产品出口竞争力至关重要。电磁兼容性出口的CE或FCC认证费用十 分昂贵,提高认识,及时调整好各项参数,可以缩短认证周期,降低成本,使我国出口产品具有优秀的EMC品质,品质稳步提高。
【推荐阅读】
电子式互感器面临电磁兼容性考验
工程师该如何估计无线传感器电池供电时间?
如何用单个施密特触发器测量两个电阻式传感器或多个开关?
陶显芳老师教你如何避免开关电源变压器的漏感
开关电源变压器屏蔽层抑制共模EMI的研究





