桃花源qm花论坛(品茶),凤楼阁论坛官网入口网址,一品楼品凤楼论坛最新动态,风楼阁全国信息2024登录入口

你的位置:首页 > EMC安规 > 正文

精华集粹【一】:PCB任意角度布线的巧思及优势

发布时间:2015-01-11 责任编辑:echolady

【导读】PCB布线的方式一直在加速改进,灵活地布线方式也多了起来。众所周知,灵活地布线技术能够有效地缩短导线长度,释放更多的PCB空间。正因为传统的布线方式受到导向坐标固定以及缺少角度的限制,但是现在人们不断地改进和提高,布线的质量已经有了明显的提升。

任意角度布线的优势

任意角度布线有许多优势。首先,不使用线段间的角度可以节省PCB空间(多边形所占的空间总是要大于内切圆)。

传统的自动布线器在紧邻元件之间只能布3根线(见图1中的左边和中间)。而任意角度布线时的空间足以在相同路径上布4根线而不违反设计规则检查(DRC),见图1右边。

精华集粹:PCB任意角度布线的巧思及优势
图1:左边和中间的图:传统自动布线器在紧邻元件之间只能布3根线。右图:任意角度布线时的空间足以在相同路径上布4根线而不违反DRC。

假设我们有一个正方式芯片,想把芯片引脚连接到另外两列引脚(见图2)。只使用90度夹角要占很大的面积(见图2顶部)。

精华集粹:PCB任意角度布线的巧思及优势
精华集粹:PCB任意角度布线的巧思及优势
精华集粹:PCB任意角度布线的巧思及优势
图2:正方形芯片布线:(顶部)正交版图布线要求很大的面积;(中间)任意角度布线不仅有助于缩短导线长度,而且在确保满足所有要求的同时占用更小的面积;(底部)旋转芯片可以提供更好的效果,占用面积可以进一步缩小两倍以上。
[page]
使用任意角度布线可以缩短芯片和其它引脚之间的距离(图2中间),同时减小占用面积。在本例中,面积从30cm2缩小到了23cm2。

任意角度旋转芯片还可以提供更好的效果。在本例中,面积从23 cm2缩小到了10 cm2(图2底部)。图3显示了一块真实的PCB。带旋转芯片功能的任意角度布线是这种电路板的唯一布线方法。这不仅是一个理论,也是得到实际应用的解决方案(有时是唯一可行的解决方案)。

精华集粹:PCB任意角度布线的巧思及优势
图3:带旋转芯片功能的任意角度布线是给这种电路板布线的唯一方法。
 
图4显示了一个简单PCB的例子。拓扑布线器结果如图4a所示,而基于最佳形状的自动布线器结果如图4b所示。图4c是实际PCB的照片。基于最佳形状的自动布线器无法完成这种电路板的布线,因为元件被旋转成任意角度放置。你需要更多的面积,如果不旋转元件,设备必须做得更大。

精华集粹:PCB任意角度布线的巧思及优势
精华集粹:PCB任意角度布线的巧思及优势
精华集粹:PCB任意角度布线的巧思及优势
图4:PCB布线例子:(a)拓扑式自动布线器(完成了100%导线的布线);(b)基于最佳形状的自动布线器(完成了56.3%的导线布线);(c)实际PCB。

电磁干扰(EMI)


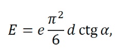
如果没有并行导线段,版图性能将得到很大的提升,因为并行导线段经常是串扰的来源。随着并行导线长度的增长,串扰等级将呈线性增加。当并行导线之间的间距增加时,串扰则呈二次方减小。让我们把两条并行的1mm长导线在间距为d时所产生的串扰等级设为e。

如果导线段之间有个夹角,那么当这个夹角增加时,串扰等级将下降。这时的串扰不取决于导线长度,仅受限于夹角值:
如果没有并行导线段,版图性能将得到很大的提升,因为并行导线段经常是串扰的来源。随着并行导线长度的增长,串扰等级将呈线性增加。当并行导线之间的间距增加时,串扰则呈二次方减小。让我们把两条并行的1mm长导线在间距为d时所产生的串扰等级设为e。 如果导线段之间有个夹角,那么当这个夹角增加时,串扰等级将下降。这时的串扰不取决于导线长度,仅受限于夹角值: 其中α代表导线段之间的夹角。 图5:如何导线段之间有个夹角,那么串扰等级将随这个夹角的增加而减小(d:导线段之间的距离,α:导线段之间的夹角)。 下面考虑三种导线布线方式。在图2中的左边(90度布局),由于并行线段而存在最大的导线长度和最大的电磁干扰值。在图2的中间(45度布局),导线长度和电磁干扰值都减小了。在图2的右边(任意角度),导线长度最短,也没有并行的导线段,因此干扰值可以忽略不计。 图6:三种导线布线方式。 因此任意角度布线有助于减小总的导线长度,并显著减少电磁干扰。另外你应该还记得对信号延时的影响吧(导线方向不应该并行,并且不应该垂直于PCB玻璃纤维方向)。
其中α代表导线段之间的夹角。

如果没有并行导线段,版图性能将得到很大的提升,因为并行导线段经常是串扰的来源。随着并行导线长度的增长,串扰等级将呈线性增加。当并行导线之间的间距增加时,串扰则呈二次方减小。让我们把两条并行的1mm长导线在间距为d时所产生的串扰等级设为e。 如果导线段之间有个夹角,那么当这个夹角增加时,串扰等级将下降。这时的串扰不取决于导线长度,仅受限于夹角值: 其中α代表导线段之间的夹角。 图5:如何导线段之间有个夹角,那么串扰等级将随这个夹角的增加而减小(d:导线段之间的距离,α:导线段之间的夹角)。 下面考虑三种导线布线方式。在图2中的左边(90度布局),由于并行线段而存在最大的导线长度和最大的电磁干扰值。在图2的中间(45度布局),导线长度和电磁干扰值都减小了。在图2的右边(任意角度),导线长度最短,也没有并行的导线段,因此干扰值可以忽略不计。 图6:三种导线布线方式。 因此任意角度布线有助于减小总的导线长度,并显著减少电磁干扰。另外你应该还记得对信号延时的影响吧(导线方向不应该并行,并且不应该垂直于PCB玻璃纤维方向)。
图5:如何导线段之间有个夹角,那么串扰等级将随这个夹角的增加而减小(d:导线段之间的距离,α:导线段之间的夹角)。

下面考虑三种导线布线方式。在图6中的左边(90度布局),由于并行线段而存在最大的导线长度和最大的电磁干扰值。在图6的中间(45度布局),导线长度和电磁干扰值都减小了。在图2的右边(任意角度),导线长度最短,也没有并行的导线段,因此干扰值可以忽略不计。

如果没有并行导线段,版图性能将得到很大的提升,因为并行导线段经常是串扰的来源。随着并行导线长度的增长,串扰等级将呈线性增加。当并行导线之间的间距增加时,串扰则呈二次方减小。让我们把两条并行的1mm长导线在间距为d时所产生的串扰等级设为e。 如果导线段之间有个夹角,那么当这个夹角增加时,串扰等级将下降。这时的串扰不取决于导线长度,仅受限于夹角值: 其中α代表导线段之间的夹角。 图5:如何导线段之间有个夹角,那么串扰等级将随这个夹角的增加而减小(d:导线段之间的距离,α:导线段之间的夹角)。 下面考虑三种导线布线方式。在图2中的左边(90度布局),由于并行线段而存在最大的导线长度和最大的电磁干扰值。在图2的中间(45度布局),导线长度和电磁干扰值都减小了。在图2的右边(任意角度),导线长度最短,也没有并行的导线段,因此干扰值可以忽略不计。 图6:三种导线布线方式。 因此任意角度布线有助于减小总的导线长度,并显著减少电磁干扰。另外你应该还记得对信号延时的影响吧(导线方向不应该并行,并且不应该垂直于PCB玻璃纤维方向)。
图6:三种导线布线方式。

因此任意角度布线有助于减小总的导线长度,并显著减少电磁干扰。另外你应该还记得对信号延时的影响吧(导线方向不应该并行,并且不应该垂直于PCB玻璃纤维方向)。

相关阅读:

【PCB设计小贴士3】轻松搞定“PCB布线设计“的经验之谈
【PCB设计小贴士2】PCB布线设计的经验之谈
【PCB设计小贴士1】PCB布线设计的经验之谈

要采购导线么,点这里了解一下价格!
特别推荐
技术文章更多>>
技术白皮书下载更多>>
热门搜索

关闭

?

关闭