【导读】本文是电子元件技术网网友原创博文《铁路信号设备地线干扰抑制方法的研究》系列第三章,重点介绍了在PCB设计中,如何通过适当接地方法,规避地线干扰,包括地环路干扰抑制方法 、公共阻抗耦合干扰抑制方法、混合接地等内容。
《铁路信号设备地线干扰抑制方法的研究》全文从电气电子设备接地重要性与地线干扰形成机理入手,重点介绍电气电子设备接地点与接地方式选择、增加地环路阻抗、降低接地阻抗等方法,来消除公共阻抗耦合、地环路等地线干扰,实现电气电子设备良好的电磁兼容。最后,针对铁路现场电磁骚扰源特性与耦合方式,成功地将地线干扰抑制方法应用于某铁路信号设备的电磁兼容设计中。
全文第一章为:EMC接地的概念与分类
全文第二章为: EMC地线干扰形成的机理
4 地线干扰抑制方法
接地抗干扰技术的主要内容,一是避开地环路电流的干扰,二为降低公共地线阻抗的耦合干扰。“一点接地”有效地避免了地环路电流干扰,而在“一点接地”前提下,并联接地则是降低公共地线阻抗耦合干扰的有效措施。
4.1 地环路干扰抑制方法
从地环路干扰的机理可知:只要减小地环路中的电流就能减小地环路干扰,此外,防止线缆上的共模骚扰电流转化为干扰电压,也是解决地环路干扰的问题的效措施。
抑制地环路干扰主要方法有:平衡电路、光电隔离、磁电隔离、共模扼流圈,以及减少地线阻抗与浮地。本节将重点讨论平衡电路、光耦隔离、磁电隔离、共模扼流圈在抑制地环路干扰方面的应用。
4.1.1 平衡电路
当感应的电磁干扰在回路上传输时,如果回路的阻抗完全对称时,对电路不会引起干扰。但是在平衡电路中,实际的回路阻抗很难做到达到完全对称,这种不平衡阻抗,会将传输线中的共模干扰转化为差模干扰,从而对电路造成干扰,平衡电路抑制地环路共模干扰的机理如下图所示:

图 9 平衡电路对地环路的抑制
4.1.2 磁电隔离
磁电隔离实质上是利用变压器实现磁电隔离的基本原理:变压器主要由绕在共同铁心上的两个或多个绕组组成。当在一个绕组上加上交变电压时,由于电磁感应而在其它绕组上感生交变电压。因此变压器的几个绕组之间是通过交变磁场互相联系的,在电路上是互相隔离的。这样可以使用变压器切断设备与外部接口(含电源)之间的共模电磁干扰传播路途,让一定频率的差模信号可以通过,如下图所示:

图 10 磁电隔离原理
为提高高频共模电磁干扰的抑制性能,一般会在变压器原边、副边间增加静电屏蔽后,减小原边/副边之间的寄生电容。该屏蔽与绕组间形成新的分布电容,当将屏蔽接地后,可以将高频干扰通过这一新的分布电容引回地,避免其对副边电路产生干扰。
目前磁电隔离技术,已广泛应用于电气电子产品的开关电源、以太网端口,切断地环路干扰的耦合途径。
4.1.3 光电隔离
光电隔离采用光电耦合器来实现,即通过半导体发光二极管(LED)的光发射和光敏半导体(光敏电阻、光敏二极管、光敏三极管、光敏晶闸管等)的光接收,来实现信号的传递。由于发光二极管和光敏半导体是互相绝缘的,从而实现了电路的隔离,如下图所示:

图 11 光电隔离
4.1.4 继电器隔离
电磁继电器隔离一般由铁芯、线圈、衔铁、触点簧片等组成。只要在线圈两端加上一定的电压,线圈中就会流过一定的电流,从而产生的电磁效应,衔铁就会在电磁吸引力的作用下克服返回弹簧的拉力吸向铁芯,从而带动衔铁的动触点与静触点(??サ悖┪?。当线圈断电后,电磁的吸力也随之消失,衔铁就会在弹簧的反作用力的作用下返回原来的位置,使动触点与原来的静触点(常闭触点)吸合。这样的吸合、释放。
继电路实际上是一种电子控制器件,它具有控制系统(又称输入回路)和被控制系统(又称输出回路),通常应用于自动控制电路中,利用较小的电流去控制较大的电流的一种“自动开关”,在电路中起着自动调节、安全?;ぁ⒆坏缏返茸饔?。
继电器的线圈和触点之间没有电气上的联系。因此,可以利用继电器的线圈接受电气信号,而用触点发送和输出信号,从而在低频时,避免强电和弱电信号之间的直接联系,实现了输入与输出的电气隔离,如下图所示:

图 12 继电器隔离
4.1.4共模扼流圈隔离
[page]
共模扼流圈并非像隔离变压器、光电耦合器、电磁继电器那样属于隔离器件,这些器件中被隔离的两端,通过磁、光、机械进行信号的传输,但是共模扼流圈在电磁兼容领域的应用时,主要是为了让共模电感像隔离器件那样将共模干扰隔离在共模扼流圈输入/输出的两端,因此,在EMC领域,一般也将共模扼流圈与隔离变压器、光电耦合器、电磁继电器一样,用为隔离器件。
共模扼流圈由铁氧体磁芯、线圈La、 Lb,以及固定架组成,两个线圈绕在同一铁芯上,匝数和相位都相同(绕制反向),如下图所示:

图 13 共模扼流圈高频隔离
这样,当电路中的正常电流流经共模电感时,电流在同相位绕制的电感线圈中产生反向的磁场而相互抵消,此时正常信号电流主要受线圈电阻的影响(少量因漏感造成的阻尼);当有共模电流流经线圈时,由于共模电流的同向性,会在线圈内产生同向的磁场而增大线圈的感抗,使线圈表现为高阻抗,产生较强的阻尼效果,以此衰减共模电流,达到滤波的目的。
4.2 公共阻抗耦合干扰抑制方法
消除公共阻抗耦合的途径或方法有两个:一是减小“公共地”地线部分的阻抗,这样公共地线上的电压也随之减小,从而控制公共阻抗耦合。另一个是通过适当的接地方式避免容易相互干扰的电路共用地线,一般要避免强电电路、弱电电路共用地线,数字电路和模拟电路共用地线。
减少“公共地”地线阻抗核心问题是减小地线的电感,包括使用扁平导体做地线、用多条相距较远的并联导线做接地线。
对于印制电路板而言,在双层板上布地线网络能够有效地减小地线阻抗,在多层板上专门用一层做地平面。但是通过选择适当的接地方式也可有效的消除公共阻抗的耦合干扰。
电气电子设备的接地方法主要有:单点接地、多点接地、混合接地、浮地。一般会根据电路类型、系统工作频率、工作电流等选择一个合适的接地方法,来抑制或减小共地阻抗干扰。
4.2.1 单点接地
单点接地是指在一个线路中,只有一个物理点被定义为接地参考点,其它各个需要接地的点都直接接到这一点上。单点接地又分为串联单点接地和并联单点接地。
(1)串联单点接地

图 14 串联单点接地
串联单点接地如上图所示,
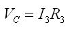
A点的电位:
B点的电位:
C点的电位:
由 A、B、C 三点的电位表达式可看出各点之间的电位将互相影响,若各电路的电平相差不大,这种接地方式可以使用,如各电路之间的电平相差较大则不能使用。假如电路 1 是高电平电路,而电路 3 是低电平电路,那么由C点的电位计算公式可知:电路 1 将严重干扰到电路 3 的工作。
但是这种接地方法比较简单,使用的仍然很多。须要注意的是,在使用这种接地方式抑制公共阻抗耦合干扰时,应注意串联的次序,最怕干扰的电路的地应接在A点,而最不怕干扰的电路的地应接在C点。
错误的串联单点接地如下图所示:

图 15 错误的串联单点接地设计
在上图中,将系统的接地点选择在运算放大器的输入侧,公共阻抗耦合干扰,叠加在运算放大器的输入端了,如果Z1很大,或流过该阻抗的电流较大,运算放大器输入端的叠加干扰可能很好,导致错误的输出结果。
如果将接地点放在运算放大器的输出侧,则可完全避免公共阻抗耦合干扰,使运算放大器的输入端不受地线电流的影响,如下图所示:

图 16 正确的接地设计
(2)并联单点接地
[page]
并联单点接地采取所有器件的地直接接到地汇接地点,不共用接地总线,各电路的地电位只与本电路的地电流及地线阻抗有关,不受其它电路影响,这样接地方式可以消除公共阻抗耦合干扰。
并联单点接地方式如下图所示:

图 17 并联单点接地
其中,
由上述电位计算公式可知,各点之间的电位只与本电路的地电流及地线阻抗有关,因此在低频时各电路之间不存在共阻抗耦合的地线干扰,因此,在电气电子设备低频工作时,尽量采用这种方式接地。只是当电路数量较多时,这种接地方式需要的地线较多,用起来比较笨重。
(3)混合单点接地
串联单点接地容易产生公共阻抗耦合的问题,解决的方法是采用并联单点接地,但是并联单点接地往往由于地线过多,而没有实施的可能性。
因此,实际情况中可以灵活采用这两种单点接地方式的组合,即混合单点接地方式。
混合单点接地方式中,是将电路按照干扰特性分组,相互之间容易发生干扰的电路放在不同的组,相互之间不易发生干扰的电路放在同一组,一组内的电路采用串联单点接地,不同组的电路采用并联单点接地。
混合单点接地方式,如下图所示:

图 18 串联单点和并联单点混合接地
这种接地方法避免公共阻抗耦合干扰的关键是:避免使功率相差很大的电路或噪声电平相差很大的电路共用一段地线。这种接地方式,既解决了公共阻抗耦合的问题,又避免了地线过多的问题。
但是这种方式只适用于低频,不能用于高频。因为根据传输线理论,当地线的长度接近信号波长的1/4时,它就相当于一根终端短路的传输线,不仅起不到接地作用,还会有很强的天线效应,向外辐射干扰信号。
总的来说,单点接地适用于较低的频率范围,或者地线长度不超过信号波长的 1/20。
4.2.2 多点接地
多点接地,是指系统中各个接地点都接到距它最近的地平面上,以使接地线最短。这种方式由于地线较短,适用于高频电路。高频信号电路在接地阻抗上起主导作用的是电感,为了降低地线阻抗,在高频端都使用多点接地方式。
但多点接地方式可会形成各种地环路干扰,如下图所示:

图 19 多点接地
如上图可知,每电路对地电位为:
其中, 为地线等效电阻; 为地线等效电感, 是电路的地电流。
由上述公式可知,为了降低电路的地电位,每个电路的地线应尽可能短而粗,以便降低地线阻抗。
但在高频时,由于趋肤效应,高频电流只流经导体表面,此时要降低地线阻抗,通常采取地线排镀银的方式。
多点接地的优点是电路结构比单点接地简单,可应用于频率大于或等于10MHZ的高频电路,施工时接地连接比单点接地易实现,而且高频下驻波效应可减至最小。
然而,多点接地将会使相距较远的参考地未隔离、两个互连通信设备之间出现多个地线回路,通过地线回路将可能对低电平电路产生干扰,形成地环路干扰,对电气电子设备的正常运行造成不良影响。
目前多点接地方法主要用于如下场合:
(1)高速印制线路板的接地设计:一般在印制线路板中定义一个完整的参考地平面,为了保持地平面的低阻抗特性,尽可能的不对地平面分割或减小过孔的数量。
(2)相距较远的电气电子设备之间互连信号线通过光电、磁电、继电器等隔离方法,切断其地环路干扰耦合途径或增大其地环路的阻抗等。
(3)尽可能地减小电气电子设备之间的地电位差,譬如通过多股铜线或扁平铜板将设备各个接地点相连。
否则,应用多点接地方法不但不能消除地线干扰,还可能导致电气电子设备的运行不稳定或抗干扰性能差。
4.2.3 浮地
[page]
对于电子产品而言,浮地是指设备的地线在电气上与参考地及其他导体相绝缘。浮地的目的是将电路与公共接地系统,或可能引起环流的公共导线隔离开,此外,浮地还可以使不同电位之间的电路配合变得容易
实现电路或设备浮地的方法主要有变压器隔离和光电隔离两种。
浮地的最大优点是抗干扰性能好,而缺点是由于不与公共地相连,容易在两者之间造成静电积累,当电荷积累到一定程度后,可能会引起剧烈的静电放电,而成为破坏性很强的干扰源。
一个折中的方案是在浮地与公共地之间跨接一个阻值很大的泄放电阻,用以释放所积累的电荷。
4.4 混合接地
混合接地是在单点接地的基础上再通过一些电感或电容多点接地,使用电感或电容,使接地系统在低频和高频时呈现不同的特性,这在宽带敏感电路中是很有必要的?;旌辖拥丶劝说サ憬拥氐奶匦?,也包含了多点接地的特性。
电容对低频和直流有较高的阻抗,因此能够避免两个模块之间的地环路形式。当将直流地和射频地分开时,将每个子系统的直流地通过 10~100nF的电容器接到射频地上,这两种地应在一点有低阻抗连接起来,连接点应选在最高翻转速度di/dt信号存在的点。
工频频率介于1~30MHZ的电路采用混合接地方式,当接地线的长度小于工作信号波长的1/20时,采用单点接地方式,否则采用多点接地式,混合接地如下图所示:

图 20 混合接地
4.5 接地选用原则
在抑制共阻抗耦合的地线干扰中,无论是单点接地,还是多点接地,都存在一定的优缺点,需要根据具体情况决定。一般按下列准则选取:
(1)对于低频(<1MHz),且地线长度较短的情况(<λ/20),选用单点接地方式。
(2)对于低频(>1MHz),且地线长度较长的情况(>λ/20),选用多点接地方式。
(3)对于频率介于 1MHz~10MHz 之间,且地线长度与λ/20 相当的情况,选用单点和多点混合地方式。
(4)对于频率>10MHz 的情况,采用多点接地方式。
相关阅读:
EMC地线干扰形成的机理
EMC接地的概念与分类
高速印制电路板的EMC设计
三方面有效控制EMC


