【导读】在新能源汽车电机控制器中,因独石电容(MLCC)寿命估算偏差导致的批次召回事件屡见不鲜——某车企因未考虑电压波动影响,实测电容寿命仅为理论值的30%,最终付出1.2亿元代价。MLCC的寿命不仅关乎电子系统的可靠性,更直接影响企业的质量成本。本文通过拆解温度、电压、湿度三大力学模型,结合车规、工业、5G等典型场景,提供一套可落地的寿命计算与优化方法论。
在新能源汽车电机控制器中,因独石电容(MLCC)寿命估算偏差导致的批次召回事件屡见不鲜——某车企因未考虑电压波动影响,实测电容寿命仅为理论值的30%,最终付出1.2亿元代价。MLCC的寿命不仅关乎电子系统的可靠性,更直接影响企业的质量成本。本文通过拆解温度、电压、湿度三大力学模型,结合车规、工业、5G等典型场景,提供一套可落地的寿命计算与优化方法论。
一、独石电容的失效机制与寿命定义
MLCC的寿命终点通常定义为容值衰减超过20%或绝缘电阻下降至初始值的10% ,其核心失效诱因包括:
1. 介质老化:钛酸钡(BaTiO?)晶格在高温高电场下发生离子位移,介电常数(εr)下降。
2. 电极劣化:镍/铜电极在湿度渗透下氧化,等效串联电阻(ESR)上升。
3. 机械应力:温度循环导致陶瓷-电极界面开裂,容值骤降。
行业标准参考:
●AEC-Q200:车规MLCC需通过1000次-55℃~150℃温度循环测试,容值漂移≤15%。
●JEDEC JESD22-A108:高温工作寿命测试(85℃/额定电压,1000小时)容变≤10%。
二、寿命计算的核心模型与公式推导
1. 温度驱动的Arrhenius模型
Arrhenius方程量化了温度对化学反应速率的加速作用,适用于MLCC介质老化寿命预测:
:标准测试条件下的寿命(如125℃/2000小时)。
Ea :激活能(X7R介质1.0~1.2 eV,C0G介质1.5 eV)。
、Ttest :实际工作温度与测试温度(单位:开尔文)。
计算案例:
某X7R电容标称寿命2000小时(125℃),在85℃环境工作时:
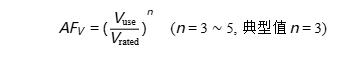
2. 电压加速因子(Voltage Acceleration Factor)
当工作电压超过额定值的50%时,电压应力显著缩短寿命:
修正寿命:
示例:
某50V电容实际工作电压40V(80%额定值),则:
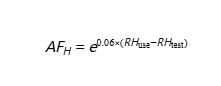
3. 湿度影响的Peck模型
高湿度环境引入离子迁移风险,加速因子公式为:
联合模型:
案例:
若上述电容在湿度60%环境下工作(测试湿度50%):
三、典型场景下的寿命预测与优化
场景1:新能源汽车电机控制器(高应力环境)
● 条件:温度105℃、电压波动±20%、湿度60%RH。
● 输入参数:
● 标称寿命:125℃/2000小时(X7R介质,Ea=1.1eV)。
● AFV=(1.2)3=1.728,AFH=1.82。
● 计算结果:
● 优化策略:
● 选用150℃高温型号(如TDK C5750X7R2A105M),寿命提升至2.3年。
● 增加电压缓冲电路,限制波动范围至±10%。
场景2:5G基站射频电源??椋ǖ陀α肪常?/h4>● 条件:温度70℃、电压稳定(30%额定值)、湿度30%RH。
● 输入参数:
● 标称寿命:125℃/5000小时(C0G介质,Ea=1.5eV)。
● AFV≈0AFV≈0,AFAFH=e0.06×(30?50)≈0.30。
●计算结果:
●结论:C0G电容在低应力场景下寿命远超设备服役周期(10~15年)。
四、国内外厂商寿命指标对比与选型建议
选型要则:
●车规级:优先选择TDK、Murata,标称寿命≥2000小时,降额至50%使用。
●成本敏感型:风华高科X7R系列可满足一般工业需求,需加强湿度防护。
五、寿命验证实验与失效分析
1. 高温加速老化测试:
●条件:125℃、1.5倍额定电压,持续1000小时。
●合格标准:容值变化≤10%,IR≥1000 MΩ。
2. 温湿度偏压(THB)测试:
●条件:85℃/85% RH,额定电压,1000小时。
●验收指标:无短路,容漂≤15%。
结语:构建可靠性优先的设计思维
独石电容的寿命预测绝非简单的公式套用,而是需要融合物理模型、场景参数与实验验证的系统工程。工程师应:
●在设计中明确温度、电压、湿度三大约束边界;
●通过降额设计(电压≤50%、温度≤80%额定值)降低失效风险;
●对国产替代方案实施加速老化测试与批次抽检。
随着AI仿真技术的发展,未来可通过数字孪生模型实时预测MLCC寿命,为智能运维提供数据支撑。唯有将理论计算与工程实践深度结合,方能实现电子系统全生命周期的可靠性与经济性双赢。
推荐阅读:
基于龙芯1D的智能水表,无机械结构+NB-IoT远程监测技术解析




