桃花源qm花论坛(品茶),凤楼阁论坛官网入口网址,一品楼品凤楼论坛最新动态,风楼阁全国信息2024登录入口

功率器件热设计基?。ò耍盟蔡茸杓扑愣芾擞康缌?/h2>

发布时间:2024-12-25 责任编辑:lina

【导读】功率半导体热设计是实现IGBT、碳化硅SiC高功率密度的基础,只有掌握功率半导体的热设计基础知识,才能完成精确热设计,提高功率器件的利用率,降低系统成本,并保证系统的可靠性。


前言


功率半导体热设计是实现IGBT、碳化硅SiC高功率密度的基础,只有掌握功率半导体的热设计基础知识,才能完成精确热设计,提高功率器件的利用率,降低系统成本,并保证系统的可靠性。


功率器件热设计基础系列文章会比较系统地讲解热设计基础知识,相关标准和工程测量方法。


上一篇讲了两种热等效电路模型,Cauer模型和Foster模型,这一篇以二极管的浪涌电流为例,讲清瞬态热阻曲线的应用。


浪涌电流


二极管的浪涌电流能力是半导体器件的一个重要参数。在被动整流应用中,由于电网的频率是50Hz,因此10ms的二极管电流能力一般作为表征这一性能的参数被写入器件数据手册中。但是也有一些应用场合其时间是不同的,比如电网频率是60Hz,或者半导体器件IGBT短路,直流侧能量通过二极管放电,因此在这些特定场合条件下需要利用瞬态热阻计算不同时间尺度下二极管能承受的浪涌电流。


浪涌电流导致的二极管失效表明失效点来自铝金属化层的热失效,然后导致二极管PN结损坏,因此普遍认为二极管在承受高浪涌电流时,能量或者热是导致失效的根本原因,也就是说温度变化是直接导致器件损坏。下图是二极管损坏的照片,照片中红色箭头标识的位置出现熔化。


功率器件热设计基础(八)——利用瞬态热阻计算二极管浪涌电流

图1.浪涌电流条件下,二极管芯片损坏照片


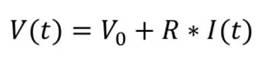
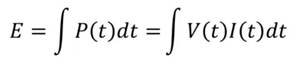
下面从能量角度分析,设E为这一过程中的由于大电流产生的能量:



功率器件热设计基?。ò耍盟蔡茸杓扑愣芾擞康缌? style=


在这一工作过程中,我们把V-I关系做线性化处理:



功率器件热设计基?。ò耍盟蔡茸杓扑愣芾擞康缌? style=


当电流比较大时,V0可以被忽略,通过积分可以得到:



功率器件热设计基础(八)——利用瞬态热阻计算二极管浪涌电流


在上式中,R表示二极管V-I曲线的斜率,IFSM表示浪涌电流大小,tp指对应的时间。


另一方面,我们假定芯片的温度变化Delta T可以用如下公式表示:



功率器件热设计基?。ò耍盟蔡茸杓扑愣芾擞康缌? style=


从上式可以得出,如果我们认定温度变化是导致芯片在浪涌大电流损坏的主要原因时,就可以认为zthjcI2FSM一个常量。


如上文中谈到的,一般的数据手册中会给出10ms的二极管浪涌电流值,同时热阻曲线也会给出,依据以上公式就可以计算任何时间的二极管浪涌电流大小了。



功率器件热设计基础(八)——利用瞬态热阻计算二极管浪涌电流


瞬态热阻曲线的应用


如下通过一个实例计算FF600R17ME4的二极管电流以及I2t随时间变化的曲线,便于在应用系统中和熔断?;て髌ヅ涫褂?。以下举例计算FF600R17ME4器件在100ms的浪涌电流。


功率器件热设计基?。ò耍盟蔡茸杓扑愣芾擞康缌? style=

图2.FF600R17ME4二极管热阻曲线


首先,借助动态热阻曲线的四阶参数,可以计算得到10ms时的动态热阻值为0.02384,同样也可以计算得到100ms的动态热阻为0.0622。


从FF600R17ME4的数据手册可以查到在10ms时,器件的I2t为32000,因此可以计算浪涌电流值为1789A。


接下来用上述公式(1)计算得到100ms的浪涌电流值为1108A。图3为按照上述方法计算得到的不同时间的浪涌电流值曲线。得到浪涌电流值后,在不同时间的I2t同样也可以计算,图4所示为不同时间相对于10ms时的关系曲线。


功率器件热设计基?。ò耍盟蔡茸杓扑愣芾擞康缌? style=

图3.通过公式计算的浪涌电流随时间的变化曲线


功率器件热设计基?。ò耍盟蔡茸杓扑愣芾擞康缌? style=

图4.FF600R17ME4 I2t随时间变化的标幺值


小结


计算半导体器件二极管的浪涌电流的过程如下:

1.从数据手册热阻曲线中查到该时间条件下瞬态热阻值

2.根据公式(1)计算浪涌电流

3.如果要计算和熔断?;て髌ヅ涞腎2t,利用上述电流计算就可以


免责声明:本文为转载文章,转载此文目的在于传递更多信息,版权归原作者所有。本文所用视频、图片、文字如涉及作品版权问题,请联系小编进行处理。


我爱方案网


推荐阅读:

纳伏级灵敏度的低噪声仪表放大器是如何构建的?

利用单片机实现复杂的分立逻辑

借助热插拔控制器,确保系统持续稳定运行

探究电路里0.1uF和0.01uF电容的共存之谜

为何混合型交流浪涌?;て魇抢擞勘;な籽??


特别推荐
技术文章更多>>
技术白皮书下载更多>>
热门搜索

关闭

?

关闭