桃花源qm花论坛(品茶),凤楼阁论坛官网入口网址,一品楼品凤楼论坛最新动态,风楼阁全国信息2024登录入口

什么是电抗?电路中电流流动的阻碍

发布时间:2024-09-05 责任编辑:lina

【导读】电抗是交流电路中具有阻碍电流流动性质的一种电阻。该电阻力是线圈(电感)和电容器(电容)产生的,因此在交流电路的设计和分析过程中,需要了解并考虑到其影响。电抗被广泛应用于我们日常生活的各种技术中,如优化电子设备的运行、有效传输能量和降低噪声等。


目录

什么是电抗?

  • 电抗、电阻和阻抗之间的区别

  • 感抗

  • 容抗

  • 合成电抗

  • 了解电抗种类和相关项目的差异


电抗是交流电路中具有阻碍电流流动性质的一种电阻。该电阻力是线圈(电感)和电容器(电容)产生的,因此在交流电路的设计和分析过程中,需要了解并考虑到其影响。电抗被广泛应用于我们日常生活的各种技术中,如优化电子设备的运行、有效传输能量和降低噪声等。


本文将介绍电抗的两种类型、计算方法以及电抗与阻抗之间的关系。


什么是电抗?


电抗是交流电流流动时受到的阻碍程度


电抗是交流电路中具有阻碍电流流动性质的一种电阻,符号为“X”,单位为“Ω”。电抗是由电流相位的变化而产生的,因此在设计和分析含有线圈(电感)和电容器(电容)的交流电路时,电抗是很重要的原理。


但是,线圈和电容器的电抗作用不同,线圈的电抗称为“感抗”,电容器的电抗称为“容抗”。后续将详细介绍这两者之间的不同之处。


电抗的求法


电抗X可通过电压V和电流I的比值计算出来。具体而言,可使用下列公式进行计算。


X=V/I[Ω]


电抗、电阻和阻抗之间的区别

电抗与电阻之间的区别


除了“电抗”外,衡量电流流动时所受阻碍程度的指标还有“电阻”。电阻符号为“R”,单位为“Ω”。电阻也表示“对电流的阻碍程度”,因此其计算公式(电流和电压关系)与电抗相同。


R=V/I[Ω]


一般情况下,电阻常指“电阻器”。电抗和电阻之间不同之处有两个。一个是电抗表示“交流电路中电流流动时受到的阻碍程度”,而电阻表示“直流电路和交流电路中电流流动时受到的阻碍程度”。


另一个是电抗随频率的变化而变化,电阻则不随频率的变化而变化。例如,当将“幅值为5V、频率为100Hz的交流电源”与5Ω电阻连接,和将“幅值为5V、频率为200Hz的交流电源”与5Ω电阻连接的情况进行比较时,两种情况下的电流大小相同。


I=V/R=55=1A


电抗和电感之间的区别


电感是线圈性质,与电抗一样是交流电路中的电阻。但是,电抗是电压与电流之比,单位是“Ω”;而电感是计算感应电动势的系数,单位是“H”。


当电流流过线圈时,会起到阻止电流流动的作用,这称为“电磁感应”,这种电磁感应的大小称为“感应电动势”。计算这种感应电动势所需的系数就是电感。电抗和电感都指交流电路中的电阻,但它们的值具有不同的含义,这一点需要掌握。


电抗和阻抗之间的区别


电抗和阻抗是理解交流电路工作的基本概念。电抗是指交流电通过线圈和电容器时受到的阻碍,其大小随频率而变化。而阻抗则是电抗和电阻的组合,由电压与电流的比值来表示。了解电抗和阻抗之间的差异有助于实现高效的电路设计。在这里,我们将深入探讨电抗和阻抗的特性,并了解它们对电路的不同影响。


阻抗的定义


阻抗是表示电流在交流电路中流动时受到的阻碍程度的指标。其符号为“Z”,单位为“Ω”(欧姆)。阻抗由电阻和电抗两个元素组成,这两个元素分别表示交流电路中电流流动受阻的不同侧面。具体而言,电阻表示对电流流动的纯粹阻碍,电抗表示对电路的电容量和电感引发的电流相位变化的阻碍程度。阻抗本身被定义为交流电路中电压与电流之比,通过电压除以电流来计算。从这个比值可以看出,实部表示电阻分量,虚部表示电抗分量。


什么是电抗?电路中电流流动的阻碍


电阻、电抗和阻抗之间的关系


电阻表示电路中电流受到的阻碍,根据欧姆定律来定义电流和电压之间的关系。而电抗则表示交流电路中电流的滞后或超前,可分为“感抗”和“容抗”两种类型。电抗会导致电流和电压之间产生相位差。


复数表示法和阻抗


阻抗是用复数来表示电路中电流和电压关系的指标,实部为电阻(R),虚部为电抗(X)。这种复数表示法有助于深入了解电流和电压的相位差以及电路的特性,从而有助于更轻松地进行电路分析。阻抗是电阻和电抗的组合,是表示电路中电流和电压之间关系的复数。


阻抗公式如下:Z=R+jX


其中,Z是阻抗,R是电阻,j是虚数单位(j2 = -1),X是电抗。


什么是电抗?电路中电流流动的阻碍


电抗具有使电流滞后或超前的作用。对于感抗而言,线圈和电感器磁场变化具有减缓电流流动的作用;对于容抗而言,电容器积蓄和释放电荷具有加速电流流动的作用。


而阻抗是表示整个电路中电流和电压之间关系的量,由电阻(实部)和电抗(虚部)组成。通过使用阻抗,可以准确把握交流电路的特性以及电流和电压的相位差,从而使电路设计和分析更容易。综上所述,可以说电抗和阻抗是表示电路不同侧面的重要概念,它们具有不同的作用和含义。电抗表示交流电路中电流流动的滞后或超前,而阻抗则是表示整个电路中电流和电压之间关系的复数,由电阻和电抗组成。


什么是电抗?电路中电流流动的阻碍


相关术语整理如下:

电抗(X)

交流电路中电流流动时受到的阻碍程度。随频率的变化而变化。电抗有线圈的电抗(“感抗”)和电容器的电抗(“容抗”)两种类型。

电阻(R)

电路(直流和交流)中电流流动时受到的阻碍程度。即使频率改变,电阻也不会变化。

阻抗(Z)

由电阻和电抗组成。


感抗


感抗是电感(线圈)在交流电变化时产生的阻碍作用。该阻碍作用是电感器对电流变化做出反应并试图抑制电流变化而产生反向电压形成的阻力。其结果是感抗会减慢交流电路中的电流流动,并导致电流和电压之间产生相位差。感抗的符号为“XL”。


什么是电抗?电路中电流流动的阻碍


感抗的求法


感抗是由线圈等电感元件引起的,取决于交流电的频率和电感元件的电感。具体而言,感抗“XL”可通过下列公式来计算。该公式表明,频率越高,另外电感值越大,电抗越大。


XL=ωL=2πfL [Ω]


* ω:角频率(2π)[rad/s] :频率[Hz]


线圈电感“L”的单位“H”读作“亨”。


线圈电感“L”是由线圈形状和匝数决定的固有值。因此,随着频率“f”的增加,感抗“XL”也会变大,也就是说两者是成正比的。另外,在直流电路中,由于频率为0Hz,所以感抗为0。


在感抗中,电流与频率成反比


下面,我们根据前面的电路图来计算感抗。由于电抗是交流电路中电压与电流之比,因此公式如下:


XL=V?I[Ω] 可以将该公式转换如下:


什么是电抗?电路中电流流动的阻碍


从这个公式可以看出,电流“I”随着频率“f”的增加而减小,也就是说两者成反比。


容抗


容抗是电容器(电容)在交流电变化时产生的阻碍作用。该阻碍是因电流变化电容器中存储的电荷量发生变化,因而产生电压变化,从而产生该阻碍作用。其结果是容抗会加快交流电路中的电流流动,并导致电流和电压之间产生相位差。容抗的符号是“Xc”。


什么是电抗?电路中电流流动的阻碍


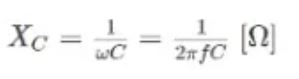
容抗的求法


容抗是电容器等电容元件引起的,取决于交流电的频率和电容器的电容量。具体而言,容抗“Xc”可通过以下公式来计算。该公式表明,频率越高,电抗越??;另外,电容值越大,电抗越小。


什么是电抗?电路中电流流动的阻碍


* ω:角频率(2)[rad/s] :频率[Hz]


另外,电容器的电容“C”的单位“F”读作“法”。


电容器的电容C是由电容器本身决定的固有值。因此,容抗会随着频率“f”的增加而变小,也就是说两者成反比。在直流电路中,频率为0Hz,所以容抗无穷大。


在容抗中,电流与频率成正比


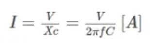
下面,我们根据前面的电路图来计算容抗。由于电抗是交流电路中电压与电流之比,因此公式如下:


什么是电抗?电路中电流流动的阻碍


可将该公式转换为以下的电流公式:


什么是电抗?电路中电流流动的阻碍


从这个公式可以看出,电流“I”随着频率“f”的增加而增加,也就是说两者成正比。


合成电抗


合成电抗是交流电路中感抗(电感器带来的阻碍)和容抗(电容器带来的阻碍)的合成阻力。这种合成阻力会影响电路中电流相位和电压相位之间的关系,从而决定交流电路的表现。感抗是阻碍电流的变化并使相位延迟,而容抗则是使电流超前。合成电抗为这两种电抗之间的差值,其结果决定电流相对于电压是滞后还是超前。合成电抗的符号通常用“X”来表示,其值为感抗“XL”减去容抗“Xc”得到的值。


什么是电抗?电路中电流流动的阻碍


这里需要注意的是,感抗和容抗都与频率有关。在特定频率下,XL=Xc,即合成电抗的值可能为0。这种状态称为“谐振”,此时的频率称为“谐振频率”。


什么是电抗?电路中电流流动的阻碍


了解电抗种类和相关项目的差异


在本文中,我们了解了电抗。电抗表示交流电路中电流流动时受到的阻碍程度。虽然“电阻”和“阻抗”这两个术语的含义相近,但清楚地了解它们之间的差异也很重要。


请记?。旱缈狗窒呷Φ牡缈梗ǜ锌梗┖偷缛萜鞯牡缈梗ㄈ菘梗┝街帧S氲缱璨煌?,电抗的值会随频率的变化而变化。感抗与频率成正比,而容抗与频率成反比。

文章来源:罗姆半导体集团


免责声明:本文为转载文章,转载此文目的在于传递更多信息,版权归原作者所有。本文所用视频、图片、文字如涉及作品版权问题,请联系小编进行处理。


推荐阅读:

如何打造“不一样”的电源管理器件?

电化学感知技术的新时代

超高功率密度SiC???,助力电动车主逆变器小型化

聊聊低通滤波器这个迷人的研究点

传感器关键参数介绍“精度”


特别推荐
技术文章更多>>
技术白皮书下载更多>>
热门搜索

关闭

?

关闭