【导读】随着电力电子应用越发趋于高压与高功率密度,单个模块已经无法满足其需求,功率器件的并联应用由于其经济性与可行性成为了解决该矛盾的有效方法。然而,并联系统的总体布局无法达到完全的对称,使得理想化的静、动态电流分布难以实现进而限制了并联器件的利用率。
摘要
随着电力电子应用越发趋于高压与高功率密度,单个??橐丫薹闫湫枨?,功率器件的并联应用由于其经济性与可行性成为了解决该矛盾的有效方法。然而,并联系统的总体布局无法达到完全的对称,使得理想化的静、动态电流分布难以实现进而限制了并联器件的利用率。本文主要分析和比较了驱动电路结构和功率回路耦合特性对于并联IGBT均流特性的影响,并通过试验进行了验证。
引 言
作为一种电压控制型器件,绝缘栅双极型晶体管(insulated-gate bipolar transistor,IGBT)由于其通态压降低、开关速度高、通流能力强等特点,在轨道交通、可再生能源和工业传动等领域中应用广泛??悸堑匠杀炯跋低车母丛佣?,通?;嵋怨β势骷⒘姆绞教岣吖β时淞髌鞯牡缌魅萘縖1],与此同时,各厂商还会优化器件的内部结构以及在驱动电路的并联控制能力上投入资源以满足用户的需求[2]。具有低寄生电感、高功率密度、可扩展性和??榛氐愕腖inPak[3-4],XHP[5-6],LV/HV100等半桥模块可以为提升并联系统电流密度及节约成本提供助力[7-8]。尽管半桥IGBT模块上、下桥臂间的寄生参数得到了有效抑制,来自直流侧母排和负载路径的寄生电感仍会对均流特性产生较大影响,因此,分析驱动方式和功率回路寄生参数在均流特性上产生的影响对于进一步提升并联系统的功率密度及可靠性具有重要意义[9]。
本文在第二章节对于两种常用于IGBT并联的驱动电路结构进行了讨论,并在下一章节通过理论公式推导和电路仿真,就耦合产生的互感对于并联系统均流特性的影响进行了分析,随后,通过试验比较了两种并联驱动方式的差异并验证对于功率回路耦合特性的相关分析。
驱动方式对于并联IGBT的影响
现有的商业化IGBT并联驱动电路可简单地分为单核驱动和多核驱动两种,此处的单核驱动是指仅将控制信号通过一个驱动核隔离、放大后经过各IGBT上安置的适配板实现其并联开关,当各并联IGBT的适配板仅含有门极驱动电阻、门极电容以及用于过流?;さ亩艿任拊雌骷鼻擞胧逝浒寮湟叱ざ鹊牟灰恢禄岫圆⒘狪GBT的动态均流特性产色较大的影响(如图1(a)左侧部分所示)。在增添了推挽结构后(如图1(a)右侧部分所示),由于驱动输出侧更加靠近门极,使得引线长度差异引起的不均流得到了更好的抑制[10-14]。
本文中的多核驱动(如图1(b)所示)通过设置互相磁隔离的分立驱动单元方式实现各IGBT??槊偶藕偶涞慕怦睢U庵纸峁雇ǔ6杂诟鞣至⒌ピ淝藕诺囊恢滦杂凶沤细叩囊?,仅几十纳秒的延迟差异或几百毫伏的门极电压差异都会引发严重的动态不均流问题。虽然单核驱动方式在成本和电路复杂程度上较于多核驱动方式具有一定的优势,但该种驱动方式下,驱动信号回路与功率回路均存在公共点,由此而引入的环路问题将会对门极电压产生较大的影响。
功率回路结构对并联IGBT的影响
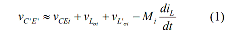
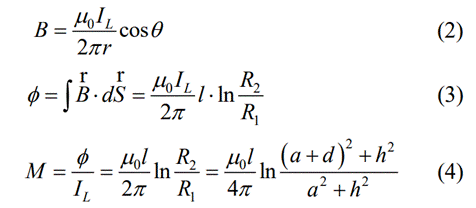
当并联IGBT在较小感性负载(本次研究中为20μH)下处于通态时,并联IGBT所在支路间以及并联IGBT支路与负载所在路径间的磁耦合将会对并联IGBT的静态均流特性带来消极的影响。由于负载电感值远大于功率回路寄生电感,假设刚进入通态时各并联IGBT的集电极电流变化率几乎相等,各并联支路的压降可以表示为:
考虑了寄生电感L’σi与Lσc,它们可与互感系数Mi一同对耦合效应进行描述,其中L’σi表示在空间上与负载线缆平行的导体的自感,它们包括IGBT模块内部的母排或平面导体以及??橥獠康牡隳概藕突懔魍诺?。相对地,Lσi表示支路中与负载线缆在空间上相垂直的导体的自感。当各并联IGBT所在支路具有较为接近的几何尺寸且对称分布时,可以近似地认为Lσ1=Lσ2=Lσ3=Lσ4且L’σ1=L’σ2=L’σ3=L’σ4。由于L’σi与Lσc间存在磁耦合,与构成vC’E’的其它电压方向相反的感应电压Mi·(diL/dt)将存在于各支路上?;ジ邢凳ǔS氲继宓某叽缬肓降继寮渚嗬氲谋戎涤泄?,而在导体尺寸保持不变的情况下,两导体距离越近,互感系数Mi的越大,进而使得此时刻对应通态饱和压降VCEi越大,与之对应的集电极电流也会越大。实际上,各并联支路间的互感也会在一定程度上对均流特性产生影响[15-17],本次研究则更多地关注并联IGBT所在支路与负载路径将的耦合效应。
图2.考虑耦合效应的并联等效电路
图3.负载线缆及单个IGBT内部结构示意
互感系数Mi在用于连接并联IGBT的母排和IGBT封装内部的部分导体上均有所体现,例如在图3[18]中,属于IGBT内部的“collector plane”和“emitter plane”与负载线缆亦存在着磁耦合。因此,对于负载线缆与IGBT支路(包括“collector/emitter plane”及IGBT封装外部的母排)间互感的分析可简化为图4所示的结构,负载线缆和IGBT支路可以分别简化为一根流过电流为IL长直导线和一块矩形金属薄片(“d”和“l”分别为金属薄片的宽度和长度)。
图4.简化后模型示意
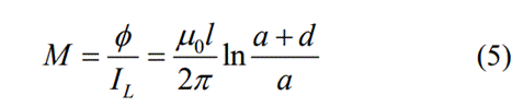
通过在式(2)和式(3)中计算的磁感应强度与磁通量,互感系数M可以通过式(4)得到,该式表明互感系数M与负载线缆和IGBT支路间的距离以及支路的几何尺寸有关,当负载线缆与支路间的水平距离缩小到一定程度时将会有效地影响互感系数M的大小。
考虑到负载线缆与IGBT支路几乎在同一水平面这一较为严重的磁耦合情况,由此列举的两类耦合方式如图5所示?;ジ邢凳齅的求解可以转化为式(5)所示的形式,考虑实际应用时的尺寸及计算的简化,每个IGBT支路被近似为长度l为290mm的矩形金属薄片。为了进一步简化计算,考虑各并联IGBT以互相紧靠的方式完成安置,式(5)中负载线缆与IGBT支路间的水平距离“a”的值被设定为支路导体宽度“d”的倍数。若要在此基础上进行更为的计算,则需要考虑构成IGBT所在支路中每一部分导体上的互感
耦合类型A
耦合类型B
图5.两种耦合类型示意
通过近似计算,得到了耦合类型A中各并联IGBT支路的互感系数:M1≈40nH,M2≈17nH,M3≈11nH, M4≈9nH;类似地,耦合类型B中:M1≈20nH, M2≈64nH,M3≈64nH,M4≈20nH。
如图6所示,通过PSpice软件对两类耦合方式搭建测试电路进行了仿真。凭借“ANALOG”库中的“K_Linear”元件以及用于代替IGBT的理想开关,负载线缆与各IGBT所在支路间的耦合效应得以实现,耦合类型A和B对应的静态电流分布分别如图7和图8所示。
图6.仿真电路
通过在式(6)中定义不均衡度δ以衡量均流特性。结合仿真波形与式(6)进行计算,可得到总电流接近1000A时,耦合类型A中不均衡度δ=12.09%,同样可得到耦合类型B中不均衡度δ=17.66%。在图5(a)所示结构的基础上,将负载线缆与T1管间的水平距离增加至“3d”(即a1=3d,a2=5d, a3=7d,a1=9d)得到了图9所示的电流分布,其不均衡度δ=4.33%,各支路互感系数M1≈17nH, M2≈11nH,M3≈9nH,M4≈6nH。
图7.耦合类型A静态电流分布
图8.耦合类型B静态电流分布
图9.耦合类型A’静态电流分布
测试方案及实验结果
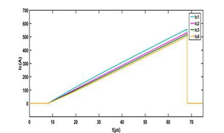
为了实际观测两种驱动方式的工作特性,搭建了由英飞凌FF450R33TE3??樽槌傻牟⒘匦运龀宀馐云教ㄈ缤?0所示。由于示波器通道限制,观测对象为T1管门极电压以及T1、T2、T3管下桥臂的集电极电流(使用罗氏线圈进行测量)。两种驱动方式下的测试波形如图11所示(测试时母线电压为1000V,总电流为1000A)。
图10.并联特性双脉冲测试平台
通过图11可知,单核驱动方式下并联IGBT的集电极电流在开关过程中开始上升或下降的一致性较好,但门极电压易受到环路电流的影响产生振荡;多核驱动方式下的门极电压虽然更加稳定,在开通过程中由于各门极电压达到阈值的时刻不一致使得集电极电流开始上升的时刻存在近180ns的差异。观测到的静态不均流现象主要于功率回路磁耦合效应,它的相关验证将在接下来的内容中进行说明。
单核驱动测试波形
多核驱动测试波形
图11.两种驱动方式下双脉冲测试波形示意
图5(a)和图5(b)对应的两类耦合类型在双脉冲测试下的静态均流特性如图12(a)和图12(b)所示,耦合类型对应的实验数据如表1所示,通过式(6)计算可知耦合类型A中不均衡度δ=32.78%,耦合类型B中不均衡度δ=19.08%。与仿真得到的结果相比,负载线缆与水平方向相平行的部分也可能经过与母排或模块内部导体平面的磁耦合对均流特性产生了影响,使得双脉冲测试得到的耦合类型A、B对应集电极电流分布和不均衡度较于仿真仍存在一定的差距。
耦合类型A集电机电流分布
耦合类型B集电机电流分布
图12.两种耦合类型集电极电流分布
耦合类型A集电机电流分布
耦合类型A集电机电流分布
图13.耦合类型C结构示意及其均流特性
通过增大产生耦合效应的负载线缆与并联IGBT支路间的距离以抑制互感系数并加强耦合支路间的对称性,可以使得静态均流特性得到进一步的改善。由此对应的耦合类型C的实际结构与静态均流特性如图13所示,该耦合类型下并联IGBT的集电极电流分布为:IC1=283A,IC2=274A,IC3=272A,IC4=255A,而不均衡度δ则被抑制到了2.58%。
表1.两种耦合类型下的静态电流分布
结论及后续工作
通过讨论电路结构和进行测试,对比了两类并联驱动方式工作特性的差异。利用等效电路及双脉冲测试,分析了负载路径与并联IGBT所在支路间存在的磁耦合在感性负载较小的情况下,由于互感系数的差异对于并联IGBT的静态均流特性产生的影响,随后提议了一种静态均流特性更好的功率回路配置方式。
免责声明:本文为转载文章,转载此文目的在于传递更多信息,版权归原作者所有。本文所用视频、图片、文字如涉及作品版权问题,请联系小编进行处理。
推荐阅读:
2023第17届中国国际电池及储能技术博览会(IBEE Global 2023)——东莞站



