【导读】高可用性系统(如服务器、网络交换机、独立磁盘冗余阵列 (RAID) 存储和其他形式的通信基础结构)需要设计为在其整个使用寿命期间几乎为零?;奔?。如果此类系统的某个组件出现故障或需要更新,则必须在不中断系统其余部分的情况下更换该组件。在系统保持正常运行的同时,必须卸下电路板或??椴⒉迦肫涮婊患?。此过程称为热插拔,或在某些情况下称为热插拔(??橛胂低橙砑换ィ?。
高可用性系统(如服务器、网络交换机、独立磁盘冗余阵列 (RAID) 存储和其他形式的通信基础结构)需要设计为在其整个使用寿命期间几乎为零?;奔?。如果此类系统的某个组件出现故障或需要更新,则必须在不中断系统其余部分的情况下更换该组件。在系统保持正常运行的同时,必须卸下电路板或??椴⒉迦肫涮婊患?。此过程称为热插拔,或在某些情况下称为热插拔(??橛胂低橙砑换ィN税踩厝炔灏?,通常使用具有交错引脚的连接器来确保在进行其他连接之前建立接地和本地电源。此外,每个印刷电路板 (PCB) 或插入式??槎加幸桓霭逶厝炔灏慰刂破?,便于从带电背板上安全拆卸和插入???。在运行时,控制器还提供连续?;ぃ乐苟搪泛凸鞴收?。
虽然必须中断和启动的电流可能很大,但大电流设计的一些微妙之处往往很少被考虑。由于“细节决定成败”,本文将重点介绍热插拔控制电路组件的功能和意义,并深入探讨使用ADI公司ADM1177热插拔控制器的设计过程中的设计考虑因素和最佳元件选择标准。
热插拔拓扑
高可用性系统中常见的两种系统功率级别(–48 V和+12 V)使用不同的热插拔?;づ渲谩(C48V 系统集成了低侧热插拔控制和调整 MOSFET;+12 V系统使用高边控制器和调整MOSFET。
–48-V方法起源于传统的电信交换系统技术。在高级电信计算架构 (ATCA) 系统、光网络、基站和刀片服务器中可以看到示例。作为通常从电池组获得的电压,选择48 V是因为功率和信号可以远距离传输而不会造成重大损失,但电平不足以在正常条件下冒严重电击的风险。之所以选择负极性,是因为在暴露于元素时不可避免地存在水分的情况下,金属离子从阳极到阴极的迁移在正极端子接地的情况下腐蚀性要小得多。
然而,在数据通信系统中,距离不是重要因素,+12 V电源更合理,因此在刀片服务器和网络系统设计中很受欢迎。本文将重点介绍+12 V系统。
热插拔事件
考虑一个具有 12V 背板和可拆卸模块机架的系统。每个??楸匦肽芄怀坊睾透?,而不会影响机架中任何相邻??榈恼T诵?。在没有控制器的情况下,每个??榭赡芑嵯虻缭聪咛峁┫嗟贝蟮母涸氐缛荩ǔN练ɡ考?。首次插入??槭?,其未充电的电容器需要尽可能多的电流来为负载充电。如果不限制此浪涌电流,则可能会降低端电压,导致主背板上出现明显的掉电,重置系统上的许多相邻???,并因高初始电流而损坏模块的连接器。
这可以通过热插拔控制器(图1)来解决,该控制器仔细控制浪涌电流以确保安全的上电间隔。热插拔控制器还将在上电后持续监控电源电流,以防止正常工作期间出现短路和过流情况。

图1.热插拔应用图。
热插拔控制器
ADM1177热插拔控制器由三个主要元件组成(图2):用作主功率控制开关的N沟道MOSFET、测量电流的检测电阻和热插拔控制器(包括电流检测放大器),完成环路以控制MOSFET的通电流。

图2.ADM1177功能框图
在热插拔控制器内部,电流检测放大器监视外部检测电阻两端的压降。这个小电压(通常范围为0 mV至100 mV)必须放大到有用的水平。ADM1177中的放大器增益为10,因此,例如,给定电流量产生的100 mV压降将被放大至1 V。将该电压与固定或可变基准电压进行比较。采用1 V基准电压源时,分流器两端产生大于100 mV (±3%)电压的电流将导致比较器指示过流。因此,最大电流跳变点主要由分流电阻、放大器增益和基准电压决定;分流电阻值设置最大电流。TIMER 电路对给定过流条件可能存在的时间长度设置限制。
ADM1177具有软启动功能,其中过流基准电压源线性上升,而不是突然导通,迫使负载电流以类似的方式跟随。这是通过将来自内部电流源的电流注入外部电容(SS引脚)来实现的,以将比较器的基准输入从0 V线性斜坡上升至1 V。外部SS电容设定此斜坡的速率。如有必要,SS引脚也可以由电压直接驱动,以设置最大电流限值。
由比较器和基准电路组成的ON电路使能该器件。它可以精确地设置电源必须达到的电压,以启用控制器。设备启用后,门开始充电。此类电路中使用的N沟道MOSFET的栅极必须位于源极上方。为了在电源电压(VCC)范围内实现这一点,热插拔控制器具有一个集成电荷泵,能够将GATE引脚保持在比VCC高10 V之多。GATE 引脚需要一个电荷泵浦上拉电流来使能 MOSFET,并需要下拉电流在必要时禁用 MOSFET。弱下拉电流用于调节,较强的下拉电流用于在发生短路时快速禁用MOSFET。
热插拔控制器的最后一个基本??槭荰IMER,它限制过流事件期间电流处于调节状态的时间。MOSFET 设计用于在规定的最大时间内承受给定量的功率。MOSFET 制造商使用如图 3 所示的图表概述了此范围或安全工作区 (SOA)。

图3.场效应管 SOA 图。
SOA图显示了漏源组合电压、漏极电流和MOSFET能够承受这种耗散的持续时间之间的关系。例如,图3中的MOSFET可以承受10 V和85 A (850 W)的电压,持续1 ms。如果这种情况持续更长时间,MOSFET 将被破坏。定时器电路可以确保MOSFET受这些最坏情况条件影响的时间长度受到外部定时器电容器的限制。例如,如果定时器设置为1 ms,并且电流超过限值超过1 ms,则电路将超时并关断MOSFET。
在ADM1177中,为了提供安全裕度,定时器电流检测电压激活阈值设置为92 mV。因此,当检测电压接近100 mV的调节值时,热插拔控制器将开始保守地定时电流。
设计示例
由于ADM1177等控制器的设计具有灵活性,因此演示如何在12 V热插拔设计示例中应用控制器可能会有所帮助。此示例假定满足以下条件:
控制器为 ADM1177
VIN = 12 V (±10%)
最大电压 = 13.2 V
ITRIP = 30 A
负载 = 2000 μF
VON = 10 V(用于打开控制器的良好电源电平)
IPOWERUP = 1 A(上电期间负载所需的直流偏置电流)
为了简化此讨论,计算排除了组件公差的影响。当然,在设计最坏情况时,应考虑这些公差。
上销
首先考虑电源电压超过10 V时使能控制器的条件。如果ON引脚的阈值为1.3 V,则VIN至ON引脚的分压器比需要为0.13:1。为了准确起见,在选择串的电阻时应考虑引脚漏电流。
由 10 kohm 和 1.5 kohm 电阻组成的电阻分压器的合适比率为 0.130。
检测电阻选择
检测电阻是根据启动定时器所需的负载电流选择的。
![]()
其中VSENSETIMER= 92 mV。
检测电阻在30 A时消耗的最大功率为:

因此,检测电阻应能够耗散3 W。如果没有具有正确额定功率或电阻的单个电阻器,则可以使用多个电阻器来制作检测电阻器。
负载电容充电时间
在选择MOSFET之前,必须确定对负载电容充电所需的时间。在上电阶段,由于负载电容需要浪涌电流,控制器通常会达到电流限制。如果TIMER引脚设置的时间不足以允许负载电容充电,则MOSFET将被禁用,系统将无法上电。我们可以使用以下等式来确定理想值:

该公式假设负载电流瞬时从0 A斜坡上升到30 A的理想条件。实际上,栅极电荷,Q一般事务人员,用于限制栅极电压的压摆率,从而限制上电电流曲线,从而在不触发 TIMER 功能的情况下向负载电容器输送一定量的电荷。在图4中,具有较高Q值的MOSFET一般事务人员与具有较低 Q 值的 MOSFET 相比,导致定时器在 T1 至 T3 的工作时间较短一般事务人员,这会导致计时器在 T0 到 T2 期间处于活动状态。

图4.QGS对启动配置文件的影响。
这是因为在 T0 和 T1 之间传递的电荷累积在小于电流限值时。因此,可以相应地减少所需的计算时间。这个数量很难量化;这取决于控制器栅极电流和栅极电荷和电容的MOSFET规格。由于在某些情况下它可能占总充电电流的30%,因此需要考虑它,特别是在使用大MOSFET和高电流的设计中。
对于使用栅极电荷较低的MOSFET的设计,可以假设栅极斜坡快速。这将导致从0 A到I的快速斜坡旅行,这可能会导致不必要的瞬变;在这种情况下,应使用软启动。
软启动
在软启动时,浪涌电流在SS电容器设定的时间段内从零线性斜坡上升到满量程。这将提供一个浪涌斜坡,避免30 A限值的突然冲击,并通过增加基准电流来实现。请注意,电流在SS事件期间处于稳压状态,因此TIMER从软启动开始的那一刻起就处于活动状态,如图5所示。

图5.定时器的软启动效果。
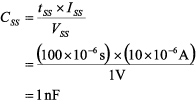
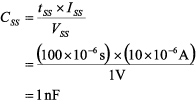
因此,建议软启动时间不超过总定时器的 10% 至 20%。对于此示例,我们可以选择 100 μs 的时间。SS电容值可按如下方式确定:

其中 ISS = 10 μA 和 VSS = 1 V。
场效应管和定时器选择
选择合适的MOSFET的第一步是选择VDS和我D标准。对于 12V 系统,VDS应为 30 V 或 40 V,以处理可能破坏 MOSFET 的瞬变。我D的MOSFET应远大于所需的最大值(参见图3中的SOA图)。在大电流应用中,最重要的规格之一是MOSFET的RDSON.该参数的低值将确保MOSFET在正常工作中完全增强时损失最小功率,并且在满载时产生的热量最小。
散热和功耗注意事项
在考虑SOA细节和定时器选择之前,需要考虑MOSFET在全直流负载下的功耗,因为必须避免过热。随着MOSFET温度的升高,其额定功率会降低或降低。此外,在高温下运行MOSFET会缩短其使用寿命。
回想一下,热插拔控制器以92 mV的最小检测电压启动定时器。对于此计算,我们需要知道在不触发定时器的情况下可以流动的最大可能直流电流。假设最坏情况 V雷格明97 mV。然后


MOSFET在环境温度下的热阻将在数据手册中指定。封装尺寸和额外的铜将影响此值。假设
![]()
由于MOSFET需要耗散2.1 W,因此预计最坏情况下的温升将比环境温度高126°C:
![]()
减少此数量的一种方法是并联使用两个或多个MOSFET。这将有效地降低R德森从而影响 MOSFET 中的功耗。使用两个 MOSFET 时,假设电流在器件之间平均分配(应允许一定的容差),则每个 MOSFET 的最大温升为 32°C。下面显示了每个 MOSFET 中的功率:

随着这种温升和假设的环境温度 T一个= 30°C,每个MOSFET的最高外壳温度预计为62°C。
![]()
MOSFET SOA 注意事项
下一步是查看SOA图,以找到合适的MOSFET来处理最坏情况。在最坏情况下,对地短路,VDS可以假设为 V。.MAX13.2 V,因为这将是MOSFET上存在的最大电压,其源极端子被拉至GND。在调节中,最坏的情况将基于热插拔控制器调节点的最大数据手册规格。这等于103 mV。然后可以按如下方式计算电流:
![]()
在将其与MOSFET SOA图进行比较之前,我们需要考虑MOSFET的温度降额,因为SOA图基于环境外壳温度TC= 25°C。首先计算T处的功耗C= 25°C:
![]()
其中 RthJC 在 MOSFET 数据手册中指定。
现在对 TC = 62°C 执行相同的计算:
![]()
因此,降额系数 1.42 的计算公式如下:
![]()
这需要应用于图3中MOSFET的SOA图。表示施加最大功率的时间的对角线需要向下移动,以反映调整后的额定功率。
我们之前使用 1 毫秒线作为示例来说明曲线的工作原理。例如,取该线上的一个点,例如(20 A,40 V);此时的功率为 800 W。 应用降额公式:
![]()
在 40 V 时,降额功率的相应电流为 14 A。在 SOA 图上绘制该点可在新的 62°C 降额 1 ms 线上建立一个点。新的 10 ms 和 100 μs 线路可以以相同的方式建立。图 6 中的新行以红色显示。

图6.SOA 图,包括 62°C 降额功率限值。
选择定时器电容器
SOA 的新降额线可用于重新计算 TIMER 值。从 绘制水平线我。.MAX≈ 35 A 和一条垂直线在。.MAX= 13.2 V(微弱的蓝线),然后确定它们相对于红线的交点。它们指示的时间介于 1 毫秒到 10 毫秒之间,可能是 ~2 毫秒。在对数刻度的图形的一小部分区域中,很难获得完全正确的数字,因此应做出保守的选择以确保应用足够的公差,同时考虑这些选择对其他标准(如性能和价格)的影响。
回想一下,负载充电的估计时间约为 850 μs。由于软启动时间由线性斜坡建立,因此为负载电容充电需要更长的时间(比阶跃变化时更长)。为了估计总电荷量,假设如果使用软启动,则将一半的SS时间添加到计算时间中;因此,将一半的SS时间(50 μs)增加到850 μs,总时间约为900 μs。如前所述,如果所选的MOSFET具有较大的栅极电荷(例如≥80 nC),则可以进一步降低。如果负载充电时间小于最大SOA时间,则MOSFET是合适的。在这种情况下,满足标准(0.9 毫秒< 2 毫秒)。
小于 2 ms 的 TIMER 值应足以?;?MOSFET,大于 0.9 ms 即可为负载充电。如果选择1 ms的保守值,则电容的计算方法如下:
![]()
其中 ITIMER = 60 μA 和 VTIMER = 1.3 V,
![]()
使用并联 MOSFET 时,定时器选择的计算不会改变。至关重要的是,定时器和短路?;ぴ谏杓剖币悸堑降ジ鯩OSFET。原因是 V总金在一组 MOSFET 之间可能有很大差异,因此在稳压期间可能需要单个 MOSFET 来处理大部分电流。
热插拔设计完成
采用并联MOSFET的热插拔设计如图7所示,具有正确的元件值。ADM1177热插拔控制器执行其他功能。它具有一个集成的片上ADC,可用于将电源电压和负载电流转换为数字数据,这些数据可以通过I2C 总线,提供完全集成的电流和电压监控功能。

图7.完成的参考设计。
(作者:Marcus O’Sullivan)
免责声明:本文为转载文章,转载此文目的在于传递更多信息,版权归原作者所有。本文所用视频、图片、文字如涉及作品版权问题,请联系小编进行处理。
推荐阅读:




