【导读】本文所述中频感应加热电源采用交—直—交的变频原理,三相50Hz的正弦交流输入电压经过整流滤波为540V平滑直流电压,再经逆变器将直流电压变成不同频率的交流电压供负载使用。本文采用半桥串联谐振逆变结构,与全桥串联谐振相比,简单可靠。
1 桥感应加热主电路拓扑结构及控制原理
1.1 主电路拓扑
本文所述中频感应加热电源采用交—直—交的变频原理,三相50Hz的正弦交流输入电压经过整流滤波为540V平滑直流电压,再经逆变器将直流电压变成不同频率的交流电压供负载使用。本文采用半桥串联谐振逆变结构,与全桥串联谐振相比,简单可靠。
半桥感应加热电源为串联谐振型逆变电源,其主电路结构如图1所示。输入采用三相AC/DC不可控整流,输出采用半桥逆变电路,负载回路采用LC串联谐振电路。
图1中,C1、C2是高频无感电容,R1、R2是均压电阻,保证C1、C2两端电压相等。当功率管VT1导通时,VT1、L、R、C2与直流母线构成回路,L与C2发生串联谐振,电流方向如图所示;当功率管VT2导通时亦然,电流方向相反。通过控制电路输出交替的驱动波形,驱动功率管VT1、VT2交替导通,在LC串联负载两端产生交流电压,负载中流过交变电流,线圈L中铁质工件在交变电流感应的交变磁场内产生涡流而发热。
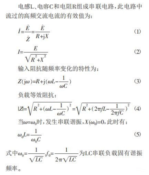
1.2控制原理
调频调功(PFM)是通过改变开关频率俩改变负载功率的控制方式,在LCR串联谐振中,在负载等效参数R、L和C一定的情况下,串联谐振的等效电路如图2所示。
由式(4)可知,负载的等效阻抗随着负载电流的频率f变化,其变化曲线如图3所示。当负载电压一定时,负载的电流频率越偏离负载谐振频率f0,等效阻抗越大,输出的功率越小。当f=f0时,负载等效阻抗,即|Z|=R,此时负载的功率;f》f0时,负载等效阻抗呈感性,且频率越大感抗越大,输出功率越??;f《f0时,负载等效阻抗呈容性,且频率越小容抗越大,输出功率越小。串联谐振负载功率分布特性曲线如图4所示
图4说明通过改变负载电流频率即可改变串联谐振负载回路输出功率。发生串联谐振时,负载输出功率,为了避免工作点滑向容性谐振状态,导致开关器件换流开通时造成较大的尖峰电流以及续流二极管反向恢复引起的桥臂直通,控制逆变器开关工作频率略大于负载固有谐振频率f0,以保证加热电源LRC负载回路工作在弱感性谐振状态。
(来源:中电网)
免责声明:本文为转载文章,转载此文目的在于传递更多信息,版权归原作者所有。本文所用视频、图片、文字如涉及作品版权问题,请联系小编进行处理。
推荐阅读:





