桃花源qm花论坛(品茶),凤楼阁论坛官网入口网址,一品楼品凤楼论坛最新动态,风楼阁全国信息2024登录入口

如何在48V系统中轻松应用GaN FET?

发布时间:2021-11-17 责任编辑:lina

【导读】GaN FET可以应用在48V电源系统中,但由于缺乏配合GaN FET工作的合适控制器,工程师们常利用DSP数字解决方案来实现其高频和高效率设计。然而,DSP解决方案因为需要额外的IC而增加了复杂性和难度。本文介绍了一种兼容GaN FET的模拟控制器,它只需很少的器件,就可以让设计人员像使用硅FET一样简单地设计同步降压变换器,同时提供卓越的性能。


GaN FET可以应用在48V电源系统中,但由于缺乏配合GaN FET工作的合适控制器,工程师们常利用DSP数字解决方案来实现其高频和高效率设计。然而,DSP解决方案因为需要额外的IC而增加了复杂性和难度。本文介绍了一种兼容GaN FET的模拟控制器,它只需很少的器件,就可以让设计人员像使用硅FET一样简单地设计同步降压变换器,同时提供卓越的性能。


在电力电子领域,氮化镓 (GaN) FET拥有比传统硅FET更加卓越的性能。GaN FET因效率高而产生更少的热量,系统成本也随之大大降低。然而,商用电源制造商在应用GaN FET进行大规模生产时仍面临一些挑战,以下为客户反馈的一些信息:


1.“GaN FET设计与硅FET设计完全不同?!?(电源制造商)

2.“使用GaN需要数字控制,这让我们望而却步;因为设计模拟电路比较容易,成本也低,那才是我们擅长的事情?!?(电信公司)

3.“GaN FET 的到来意义重大。能够缩小散热器尺寸对我们来说非常重要,但问题是我们还需要一个微控制器来配合它?!?(家电厂商)


许多设计工程师已经意识到采用GaN FET会带来的益处,但却一直犹豫是否将GaN引入实际设计,其主要原因还是设计的复杂性。随着GaN FET成本的不断降低,相对硅FET的高昂成本可以通过系统级设计来抵消。假如客户真的面临这些难题,那我们该如何帮助他们?


瑞萨电子通过在48V系统中使用100V GaN FET来解决这个问题。本文将阐述这种方法,并以一种截然不同的方式来解除客户的疑虑。


自从电话设备被发明以来,电信和无线基础设施应用一直采用48V直流电源供电。近年来,数据中心和高端汽车系统也开始采用48V电源,因为它仍然被认为是安全的低电压,其安全要求要低得多,但允许使用具有最小压降的更细规格电线。现在已经有很多发布的文章都在探讨快速兴起的48V市场。


5G AAU(有源天线单元)的典型电源树图如图1所示。系统的-48V输入总线通过DC/DC转换提供数百瓦或千瓦级的功率,将-48V电压转换为+28V、或+48V至+56V,并馈入大型功率放大器阵列。转换后的正电压还可以创建12V或5V总线馈送给其他系统负载,例如时序/时钟、存储器、ASIC/FPGA等(如果-48V已经与交流电或可再生能源等主电源隔离,则无需再隔离)。显然,随着5G市场的快速增长,AAU和BBU(基带单元,图中未显示)都需要多个不同功率级别的48V转换,这其中蕴含的市场潜力巨大。投入资源开发80V或100V额定电压的GaN FET来取代传统硅FET符合GaN制造商的商业利益。


在无线基础设施应用中采用GaN有很多潜在的益处,包括提高系统效率、最小化设备尺寸、降低电力成本和简化散热管理等。尤其对5G AAU,它甚至可以减轻系统重量,考虑到基站安装越来越分散,而且有些场景安装还比较困难,这一点尤其重要。


如何在48V系统中轻松应用GaN FET?

图1:典型的5G AAU电源树图(未显示交流电源)


电源架构的细节取决于站点类型、覆盖范围、位置以及与电网或远程电源的距离。


宜普公司 (EPC)是业界著名的 GaN FET 公司之一,曾经发布过48V总线电源转换参考设计(EPC9143),其中就采用了GaN FET方法(见图 2),其整个设计都是开源的。


该参考设计基于行业标准的1/16砖尺寸转换器,支持18V至60V输入,并基于两相交错配置提供额定电流为25A的12V输出。除了EPC GaN FET之外,该设计还使用了一个16 位数字控制器,其工作频率为500kHz,可提供大于95%的峰值效率(该控制器具有DSP内核和额外的模拟部分,为简单起见,我们在文中称其为DSP)。


如何在48V系统中轻松应用GaN FET?

图2:带DSP控制器的EPC9143参考设计(顶部和底部)


毫无疑问,该设计提供了相当不错的性能,但我们注意到它还使用了六颗其它IC,如图2的参考设计所示。


通过多种数字电源控制器,用户可以灵活地重新编程输出电压和?;ゃ兄?,还可以添加其他需要的功能。然而,对于某些48V应用,一旦设计确定,就无需重新配置;因此其控制调制器如果以模拟方式设计,将与数字方式同样有效。我们开始考虑是否可以将 EPC9143 中所需的 7颗IC进行组合并替换,仅用一个模拟IC就达到类似的性能。虽然 DSP解决方案几乎实现了GaN FET设计的最大潜力,其效率远高于硅FET。但通过更简单的BOM实现相同的目标,将为客户提供更高的功率密度和更低的解决方案成本,这与效率同样重要。


在精简产品定义、IC设计和全面验证工作之后,瑞萨电子开发出了一款80V双同步降压控制器,专门优化以驱动增强模式GaN FET,即ISL81806(参见图3)。


如何在48V系统中轻松应用GaN FET?

图3:80V双输出/两相GaN FET控制器ISL81806


ISL81806 采用两相交错拓扑结构,最多可并联成六个交错相位,可以承受千瓦级的负载,而无需外部数字控制来分配相位。


其它特性还包括:

●宽输入电压范围:4.5V至80V,适合电信设备应用

●宽输出电压范围:0.8V至76V

●支持恒压或恒流输出

●宽开关频率范围:100Khz至2MHz

●轻载或强制PWM模式下的二极管仿真和突发模式

●直通?;?、OCP、OVP、OTP、UVP

●每个输出的独立使能(EN)和软启动

●针对增强型GaN FET进行优化的栅极驱动和死区时间


EPC和瑞萨电子开发了一个新型参考设计板EPC9157(参见图 4)。与图2中的 DSP解决方案相同,它采用了两相交错拓扑和1/16砖尺寸模块外形设计。该参考设计板的额定输入电压、输出电流和500kHz频率也与DSP解决方案相同。(截至本文发布之时,该板的额定输入电压为80V)。


如何在48V系统中轻松应用GaN FET?

图4:使用ISL81806和四个GaN FET的EPC9157 参考设计板(仅提供模拟控制)


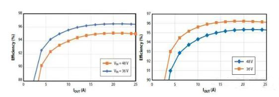
DSP EVB和模拟EVB的效率比较如图5所示,其效率在峰值功率下非常接近。模拟EVB 具有更好的轻载效率,部分原因是单个模拟控制器消耗的工作电流 (50μA) 比DSP解决方案所需的七个组合IC要少,而且它可以直接使用12V输出作为IC电源的外部偏置。


如何在48V系统中轻松应用GaN FET?

图5:效率比较(左:使用DSP的EPC9143;右:使用ISL81806的EPC9157)


图6显示了数字和模拟解决方案之间的主要BOM差异(其中省略了无源组件)。很明显,模拟解决方案电路BOM非常简单,它只需一个IC,不需要任何编程。


如何在48V系统中轻松应用GaN FET?

图6: BOM比较


尽管ISL81806已经提供了卓越的效率、解决方案尺寸和BOM成本,但未来仍有很多改进的空间。正如GaN FET技术在过去几年中迅猛发展一样,瑞萨电子正致力于定义和设计匹配的控制器,其设计团队也面临着新的挑战和机遇。


●未来的发展方向可能包括(但不限于):


提高击穿电压


100V击穿电压可能更适合远程AAU以及板装砖式电源???,尤其适用于具有长电缆的电信设备,可以使其更加坚固。


●更强大的分离式栅极驱动


实现更高的效率需要更强大的栅极驱动器,但这会导致更快的dV/dt,有可能损坏IC,因为任何非理想布局带来的大量杂散电感会产生负电压。要解决这个问题,可能需要单独导通/关断以优化开关速度,如参考文献中的RAA226110等分立式GaN驱动器IC。


●更小封装以优化布局


GaN供应商通常建议采用小尺寸封装,如CSP或BGA,这类封装没有扩展引脚,可以进一步降低系统杂散电感。但要注意,某些可能部署在严苛环境中的应用不能采用CSP或BGA封装。


●IC工艺改进


IC开关节点需要非常稳健,以处理开关期间的高dV/dt(大于200V/ns)和负电压。其内部自举二极管也需要尽可能趋近零Qrr(反向恢复电荷)以实现更高频率。这些需求给IDM 或晶圆代工厂提出了挑战,要求其不断改进IC制造工艺。


●对死区时间优化的进一步研究


出于安全目的,高侧开关关断和低侧开关导通之间有较短的死区时间。在此期间,GaN FET的“体二极管”会传导负载电流。GaN FET独特的“体二极管”模式具有零反向恢复电荷(Qrr),但正向压降非常大。因此,在死区期间,不仅传导损耗会增加,而且自举电容器也可能会过度充电,直至损坏顶部的器件。为了实现非常小但仍然安全的死区时间,我们还必须考虑IC和其他BOM参数因温度和批量生产的差异而发生的变化。像 ISL81806 这样的 E-MODE 控制器使用针对GaN FET优化的固定最小死区时间,并且 EPC9157 EVB 专门设计了外部低成本?;さ缏?,以避免自举电容器过度充电。不过,这又可能会限制实际的工作频率。部分DC/DC IC供应商会添加死区时间编程引脚或提供死区时间数字化编程。无论采用哪种方式,死区时间选择的艰巨任务都落在电路设计人员肩上。未来,我们需要更智能的IC功能特性。


●增加灵活性以适应各种GaN技术


与普通硅FET不同,各种GaN FET(包括增强型GaN FET)可能具有完全不同的设计。例如,建议的栅极电压可能因制造商不同而差异很大,这会带来麻烦,因为栅极电压需要通过不同的OVP级别来保护。除了未来产品中的其他可能变量之外,栅极驱动电压也需要可编程。


GaN FET未来可期,终有一日,它会以更合理的成本和更出色的性能,直接替代硅FET。而像ISL81806这类控制器正在通过进一步的产品开发助力实现这一目标。如果控制器设计得当,使用GaN FET会像使用硅FET一样轻松自如。

(来源:面包板社区 ,作者:Zhihong Yu)


免责声明:本文为转载文章,转载此文目的在于传递更多信息,版权归原作者所有。本文所用视频、图片、文字如涉及作品版权问题,请电话或者邮箱editor@52solution.com联系小编进行侵删。


推荐阅读:

逆变直流电焊机的工作原理

干货 | 指定支持Wi-Fi?的MCU时的注意事项

Diodes 公司先进充电器解决方案获颁亚洲金选奖殊荣

?;て骷缬ακЩ砗褪窒笄澄?/a>

改进型移相全桥ZVS DC-DC变换器的特点应用及控制电路设计

特别推荐
技术文章更多>>
技术白皮书下载更多>>
热门搜索

关闭

?

关闭