【导读】当考虑使用何种栅极驱动器时,一个常见问题是:驱动器可以提供的峰值电流是多少?峰值电流是栅极驱动器数据手册中最重要的参数之一。此指标一般被视为决定栅极驱动器驱动强度的终极因素。MOSFET/IGBT的导通、关断时间与栅极驱动器可以提供的电流有关,但并不能说明全部问题。峰值电流一词在业界使用非常普遍,许多栅极驱动器数据手册的标题中包含这一术语。尽管如此,其定义还是会因器件而异。本文讨论为特定应用选择栅极驱动器时使用峰值电流作为决定性因素的问题,并比较数据手册中一些较常见的峰值电流表示形式。本文对标题中峰值电流数值相似的栅极驱动器进行了比较,并对栅极驱动强度做了讨论。
应用示例
隔离式栅极驱动器提供电平转换、隔离和栅极驱动强度,从而操作功率器件。这些栅极驱动器的隔离特性支持高端和低端器件驱动;如果使用合适的器件,它还能提供安全栅。应用实例如图1所示。VDD1和VDD2有单独的地基准,并且各自的电压可能不同。在本文中,引脚1至引脚3被称为原边,引脚4到引脚6被称为副边。栅极驱动器提供的隔离很容易达到数百伏,因而可以支持较高的系统总线电压。
合适的隔离式栅极驱动器必须能够再现原边上存在的时序,并以足够快的速度驱动功率器件的栅极,以使开关转换可以达到要求。较快的开关转换可以降低开关损耗,因此快速开关的能力常常是人们所追求的特性。通常,对于一类开关技术,功率器件可以处理的功率越大,它给栅极驱动器带来的负载就越大。

图1.ADuM4120的典型应用。
隔离式栅极驱动器常常用于半桥配置,如图2所示。高端驱动器必须能够在系统地和VBUS电压之间摆动,同时为其驱动的功率器件提供必要的驱动强度。

图2.典型半桥应用。
负载考虑
MOSFET/IGBT的栅极充电或放电所需的时间决定了器件的开关速度。实际使用中会增加一个外部串联栅极电阻,以便调节栅极电压的上升/下降时间,并可以限制栅极驱动器IC的功耗。将功率器件建模为一个电容和带MOSFET输出级的栅极驱动器,并通过外部串联栅极电阻运行,我们便得到图3所示的RC电路。在此简化模型中,峰值拉电流方程为IPK_SRC = VDD/(RDS(ON)_P + REXT),峰值灌电流方程为IPK_SNK = VDD/(RDS(ON)_N + REXT)。对于短路峰值电流测量, REXT设置为0Ω,但在应用中,存在一个外部串联电阻。

图3.栅极充放电的简化RC模型。
其中:
RDS(ON)_N 为栅极驱动器NMOS的导通电阻。
RDS(ON)_P 为栅极驱动器PMOS的导通电阻。
REXT为外部串联栅极电阻。
CGATE_EQUIV 为功率器件的等效电容。
数据手册标题中的一语多义
峰值电流的本来作用是简明地比较栅极驱动强度,但不同厂商的数值不同。图4显示了I-V曲线表示,以及栅极驱动器制造商用来给出峰值电流值的一些常见电平。特定MOSFET的I-V曲线的饱和水平在整个硅工艺和温度范围内变化很大,变化幅度常常是典型值的±2倍。
在许多数据手册中,数据手册特别提到的峰值电流是典型饱和电流,其测量方法是将输出短路至相对较大的电容,或通过脉冲让驱动器在非常短的时间短路。很少有数据手册清楚地表明输出驱动器在整个温度和工艺变化范围内的最小和最大IV曲线,但如果使用典型饱和数值作为峰值电流值,那么有些器件将无法在实际应用中提供或吸收那么多电流。有些数据手册给出最大饱和值,有些则给出最小饱和值。描述驱动器可用峰值电流的另一种方法是描述最低I-V曲线的线性区域中的最高电流或最小线性电流。明确该数值后,用户便知道所有器件在应用中都能提供或吸收比该额定值更多的电流。此值是保守值,但用户可以得知,通过适当选择外部串联栅极电阻的大小,栅极驱动器输出FET将不会因温度和工艺变化而处于饱和区域。
峰值电流的生产测试通常非常困难,因为测试环境中接触器的电流受限。隔离式栅极驱动器的峰值电流规格通过设计和/或特性来保证并不罕见。不同制造商可能会也可能不会提及峰值电流的最小值或最大值。因此,对于使用峰值电流的哪种表示方式来比较不同器件并没有达成共识。重要的是应注意,峰值电流不是恒定电流或平均电流。如果栅极驱动器输出在输出FET的线性区域中正常运行,则峰值电流仅在切换刚开始时存在。

图4.输出驱动器FET的I-V曲线示例。
虽然整个温度和工艺变化范围内的完整最小和最大饱和曲线几乎永远不会进入数据手册,但一些隔离式栅极驱动器制造商会提供输出驱动器的典型I-V曲线。这可以表示为短路I-V曲线,或采用外部串联栅极电阻来表示,以便更好地模拟实际应用。查看包含外部串联电阻的IV曲线时,电压轴通常在副边电压中指定,这意味着绘制的电压是内部RDS(ON)和外部串联栅极电阻上共享的VDD2电压。
图5显示了数据手册中给出的 ADuM4121 典型I-V曲线。应当注意的是,ADuM4121在数据手册标题中提到了2 A的驱动能力,但其典型饱和电流超过7A。这是因为该数据手册的标题使用了峰值电流的保守定义,告诉用户该器件绝对可以在所有温度和工艺变化下提供2 A电流。该I-V曲线也是采用2Ω外部串联栅极电阻来模拟实际应用性能。重要的是确保用户在对比不同产品时,每个产品的峰值电流定义是相同的,否则比对时可能会遗漏关键因素。

图5.ADuM4121数据手册I-V曲线。
米勒电容
MOSFET或IGBT虽然大致表现为容性负载,但存在非线性,原因是动态栅极-漏极电容,由此产生米勒平坦区——在该区域中,电容在导通(图6)和关断过渡期间会发生变化。在该米勒平坦区间隔期间,栅极电容需要最多的充电电流。峰值电流数值未考虑此时的电流值。但是,较高的峰值电流意味着米勒平坦区中的电流通?;岣?。

图6.IGBT的导通转换,显示出米勒平坦区。
功耗:一个主要考虑因素
In order to charge and discharge the gate of a power device, energy must be expended. If the equivalent capacitance model is used, and full charging and discharging of the gate occurs each switching cycle, the power dissipated by the gate switching action for both isolated and nonisolated gate drivers is:
其中:
PDISS 为一个栅极切换周期中消耗的功率。
CEQ为等效栅极电容。
VDD2 为功率器件栅极的总电压摆幅。
QG_TOT 为功率器件的总栅极电荷。
fS为系统的开关频率。
重要的是应注意,等效栅极电容CEQ与功率器件数据手册中的CISS不是一回事。它常常比CISS大3到5倍,而总栅极电荷QG_TOT是一个更准确的数值,可供使用?;褂ψ⒁獾氖?,该方程式中未出现充电和放电的串联电阻,原因是它仅与开关动作的总功耗有关,而与栅极驱动器IC内部的功耗无关。
由于隔离式栅极驱动器的隔离特性,标准要求不同的隔离区通过足够的爬电距离和电气间隙距离分开。爬电距离和电气间隙距离要减去原边到副边区域路径中的任何电流导体,因此,很少看到隔离式栅极驱动器使用裸露焊盘或散热块。这意味着无法使用一种主要的帮助降低集成电路热阻的方法,导致将功耗转移到隔离式栅极驱动器封装之外(使得在给定工作点时环境工作温度可以更高)的重要性更高。
由于无法给隔离式栅极驱动器添加散热块,因此所用封装的热阻大致与引脚数、内部金属化、引线框架连接和封装尺寸相关。对于给定产品型号的隔离式栅极驱动器,当比较不同可用器件时,封装尺寸、引脚数和引脚排列通常相同,所以不同器件的θJA数值大致相同。
栅极驱动器IC内的热耗散是导致内部结温升高的原因。式1中计算出的功耗是功率器件栅极接通和关断的总功耗。栅极驱动器IC内的功耗在输出驱动FET的内部电阻RDS(ON)_N和RDS(ON)_P与外部串联栅极电阻REXT之间分配。如果栅极驱动器大部分时候在线性区域工作,则栅极驱动器IC经历的功耗比为:
如果RDS(ON)_N = RDS(ON)_P = RDS(ON),式2可简化为:
因此,栅极驱动器IC从功率器件切换中获得的总功率等于式1乘以式3:
从式4可以看出,RDS(ON)越小,隔离式栅极驱动器的功耗部分也越小。如果要满足所需的上升/下降时间,则应保留用于功率器件栅极充放电的RC常数。RC常数中的电阻是内部RDS(ON)和外部串联栅极电阻的串联组合?;痪浠八担绻τ弥惺褂玫牧礁鼍赫骶哂邢嗤纳仙拖陆邓俣?,则RDS(ON)较低的驱动器可以使用更大的外部串联栅极电阻,而总串联电阻保持不变,意味着栅极驱动器IC本身的功耗更低。
比较案例研究
为了说明不同产品的峰值电流定义有何差异,并展示隔离式栅极驱动器中较低RDS(ON)的好处,我们选择了三款隔离式半桥驱动器,其手册中均提到了4A峰值电流。所有三个驱动器的爬电距离、电气间隙、引脚排列和焊盘图形都相似。因此,可以使用相同布局来测试所有三个器件。使用ADuM4221 评估板作为测试平台来比较ADuM4221和另外两个器件,分别称为竞争产品1和竞争产品2。评估板如图7所示。

图7.ADuM4221评估板。
表1总结了每种器件的数据手册声称的数值。
表1.数据手册声称值比较

如果严格比较数据手册中显示的值,竞争产品2提供的栅极驱动看起来最强,因此对于给定负载,其上升和下降时间最快。为简化分析,负载使用分立陶瓷电容,故波形中不存在米勒平坦区。此外,仅使用双通道输出驱动器的一路输出。
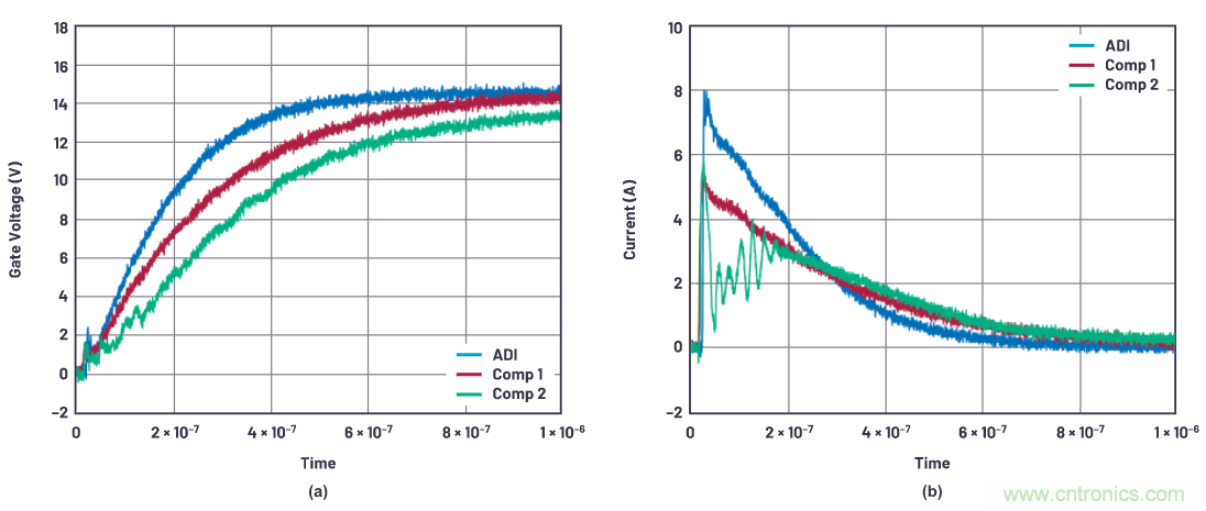
对于第一个测试条件,每个驱动器的负载为100 nF电容和0.5Ω外部串联栅极电阻,配置如图3所示。在驱动器上执行一次导通和关断操作,以使驱动器内部的功耗保持较低。该测试非常类似于峰值短路测试。结果如图8和图9所示。

图8.导通测试。100 nF和0.5Ω REXT。(a) 电压与时间的关系。(b) 电流与时间的关系。

图9.关断测试。100 nF和0.5Ω REXT。(a) 电压与时间的关系。(b) 电流与时间的关系。
图8表明,不同驱动器的导通速度存在很大差异。令人惊讶的是,市场上峰值电流最高的驱动器的上升时间最慢。电流波形表明,所有驱动器的输出都超过了标定的电流值,但竞争产品2不能维持高电流。总上升时间是电流积分的函数。检查图9所示的下降时间,所有三个器件的表现旗鼓相当。尽管各产品的峰值电流相似,但竞争产品2的持续电流最低。总体而言,三个器件在关断测试中表现相似。从该测试可以看到,数据手册中的峰值电流数值更强的器件,其表现出的驱动强度低于其他器件。
第二个测试条件是调整所有三个驱动器,使其上升和下降时间相似,然后以恒定的开关频率操作这些器件以评估热性能。如图8所示,ADuM4221的上升时间最快,可以使用较大的外部串联栅极电阻以与其他驱动器的上升时间一致。结果发现,针对导通情况,与竞争产品1的0.91Ω和竞争产品2的0.97Ω外部串联栅极电阻相比,1.87Ω外部串联栅极电阻可以使ADuM4221具有相似的上升和下降时间。ADuM4221的关断电阻调整至0.97Ω。输入和输出波形如图10所示。

图10.所有三个驱动器调整后的上升/下降曲线。通道1 = 输入,通道2 = ADuM4221,通道3 = 竞争产品1,通道4 = 竞争产品2。
将上升时间和下降时间调至相等时,电流波形的积分是可以比较的,功率器件中的开关损耗在应用中也是可以比较的。通过使用较大的外部串联栅极电阻,隔离式栅极驱动器外部可以承担更多的热负载。图11、图12和图13显示了三个驱动器在相同环境温度下工作时的热分布图,开关频率为100 kHz,副边电压为15 V,负载电容为100 nF。

图11.ADuM4221热分布图。

图12.竞争产品1的热分布图。

图13.竞争产品2的热分布图。
热像仪的十字线是隔离式栅极驱动器的输出区域。每个驱动器右侧的亮点是外部串联栅极电阻。图11中的外部串联栅极电阻比另外两个热分布图中的电阻更热。这是符合预期和需要的情况。所有三个测试均以相同开关频率和相同负载电容进行,因此总功耗相同。外部电阻的功耗越多,栅极驱动器IC本身的功耗就越少。
竞争产品1的IC表面温度比ADuM4221高35.3°C,这是因为较高RDS(ON)对竞争产品有热限制。类似地,竞争产品2的功耗导致其表面温度比ADuM4221高18.9°C,因而在相同工作条件下其栅极驱动器更热。这表明,在选择栅极驱动器时,较低内部电阻所产生的散热能力是重要考虑因素。在较高环境温度下工作时,这种温度升高很重要。表2列出了测试结果。
表2.热性能比较:温度越低越好

结论
厂商报告的拉电流和灌电流额定值差异悬殊,粗略浏览数据手册标题便形成对不同器件驱动强度的看法可能会产生误导。峰值电流定义缺乏透明度可能导致器件销售过多或不足,并极大地影响其在客户进行全面评估之前被特定应用选中的机会。为了进行公平的比较,须确保数据手册中提到的峰值电流具有可比性。当评估隔离式栅极驱动器时,应考虑热裕量和低RDS(ON)的重要性。尽管可以将两个栅极驱动器的上升和下降值调整为相同,但选择RDS(ON)较低的驱动器可以提供更大的热裕量和更灵活的开关速度。
推荐阅读:




