【导读】使用运算放大器反馈和电压基准可以简单直接产生任意大小的直流电流。 本篇文章将讨论一种大大简化的实现灌电流(具体)的方法。
使用运算放大器反馈和电压基准可以简单直接产生任意大小的直流电流。 本篇文章将讨论一种大大简化的实现灌电流(具体)的方法。
本文我们将讨论利用电压基准内部反馈的架构,让我们从考虑电压基准的符号及其实际功能框图开始,如下图1所示。
图1:电压基准及其功能框图
我们借用了齐纳二极管的符号,因为这基本上是电压基准的行为;然而,这种行为是通过巧妙的设计而不是简单的设备物理单独实现??悸窃谝郧拔恼轮惺褂玫淖陨砘迹ǜ杭及蠖ǎ┡渲?,如下面的图2所示。

图2:电压基准典型操作
那么,我们如何评价这一设置?首先,我们可以大大简化和定义图2中所有电流的情况,如公式1所示。

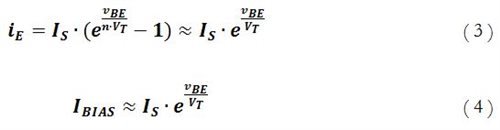
也就是说,IBIAS是双极结型晶体管(BJT)的运算放大器静态电流IQ和发射极电流iE的和。公式2通过确认与正常工作期间的发射极电流相比运算放大器静态电流可以忽略不计,进行了进一步简化。
公式3和4定义了发射极电流,以基极-发射极结的二极管方程开始,并假定使用标称理想因子的正向偏置操作。

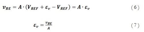
如上述公式4所示,必须存在一些基极-发射极电压以维持IBIAS。这当然意味着在图2中的vref和VREF之间存在非零差;我们将通过在公式5中以VREF和小的扰动电压εv定义vref来解释这一点。

我们现在可以用基极-发射极电压和运算放大器增益定义εv,如公式6和7所示。

显然,在理想运算放大器情况下,εv会下降到零;然而,让我们考虑一些非常保守的值。下面的公式8解出公式7,假设维持IBIAS所需的vBE为0.5V,运算放大器的增益为中等水平104。

对于1.25V电压基准,这表示百万分之四十或40ppm的误差——也就是说,这种误差可以安全地视为可以忽略。
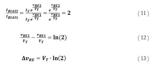
现在考虑当我们增加输入电压以及IBIAS时,εv发生什么;具体而言,假设我们从公式9和10所示的某个任意操作点将IBIAS增加一倍。

现在可以通过将公式10除以公式9并在公式11至13中简化如下的项来导出支持加倍IBIAS所需的VBE的变化。

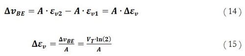
最后,我们可以导出如公式14和15所示的支持倍增IBIAS所需εv的变化的公式。

代入热电压的室温值VT,并假设(再次)平均运算放大器增益为104,我们可以求解方程式15得到倍增IBIAS所需的Δεv的保守值,得到下面的公式16。

在这种情况下,每当IBIAS加倍时,vref处的电压仅增加1.792μV。这是运算放大器增益与模拟齐纳击穿基极-发射极二极管的指数IV特性的乘积。
以不同方式连接电压基准,我们可以利用其内部运算放大器产生简单的拉电流,如下面的图3所示。

图3:简单电压基准产生的拉电流
为了直观的了解这里发生了什么,我们考虑插入代替符号的功能图,如下面的图4所示。

图4:简单灌电流功能图
请注意,VIN、RBIAS和BJT电路基本上充当运算放大器的反相输出级。因此,我们可以将总组合简化成具有新增益AT和反向输入极性的新运算放大器符号,如图5所示。

图5:简单拉电流功能框图和等效电路




