【导读】在这里,作者将尝试找出关于极点和零点的物理感觉,使用运算放大器来控制它们在复平面中的位置,并利用电路的自然响应来说明极点/零点位置的影响。
单端口电路的自然响应
我们来看图1中的无源线性单端口电路,它包括电阻、电容和电感。

图1:(a)无源单端口电路 (b)自然(或无源)开路响应vn(t)。
如果我们施加一个测试电流I(s),单端口电路将产生电压V(s),使得V(s)=Z(s)/(s),其中I(s)和V(s)是所施加电流和所产生电压的拉普拉斯变换,s是以sec-1为单位的复数频率。阻抗Z(s)是s的有理函数形式,即分子多项式N(s)与分母多项式D(s)的比值:
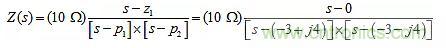
公式N(s)=0的根被称为Z(s)的零点,表示为z1,z2,……;而公式D(s)=0的根被称为Z(s)的极点,表示为p1、p2、……。极点和零点统称为根,也称为临界频率。例如,阻抗:

当s=0时,其值为零;当s=-3±j4时,它具有复共轭极点对。可以用根来表达它,即:
如果我们绘制|Z(s)|相对于s的幅度曲线,则可以直观理解零点和极点的含义。所得到的曲线就好像在s平面上竖起的帐篷,在零点处接触s平面,而在极点处其高度变为无限。

图2:Z(s)=(10Ω)s/(s2+6s+25)的幅度图。(通过在虚轴上计算|Z|获得的分布曲线图显示出单端口电路的交流响应。)
为了找到极点的物理感觉,我们在s接近极点pk时施加电流I(s),就可以用相当小的I(s)获得给定的电压V(s)。s越接近极点pk,获得给定电压V(s)所需的电流I(s)越小。在s→pk的极限状态下,即使电流为零,即开路,单端口电路也会获得一个非零的供电电压(见图1b)!这个电压称为自然响应或无源响应,因为单端口电路可利用储存在其电容和电感内部的能量来产生电压。这些能量在电阻中消耗尽了,在无源单端口的情况下,它们将随时间呈指数级衰减。实际上,系统理论预测到自然响应符合以下表达式:
其中a1,a2,......,是取决于存储能量的合适系数(以V为单位),Z(s)的极点是指数中时间常数的倒数。
那么Z(s)的零点呢?我们来看图3,它表示图1的两种情况。现在施加的信号是电压V(s),而响应是电流I(s)=[1/Z(s)]V(s),这表明Z(s)的零点现在成为1/Z(s)的极点。通过双重推理,在s→zk的极限状态下,即使施加零电压(短路),单端口电路也将提供非零电流(参见图3b)!该电流称为自然响应或无源响应,因为单端口电路利用储存在其电容和电感内部的能量来产生电流。系统理论预测自然短路电流响应符合以下表达式:
其中b1,b2,......,是取决于存储能量的合适系数(以安培为单位),Z(s)的零点是指数中时间常数的倒数。

图3:(a)无源单端口电路(b)自然(或无源)短路响应in(t)。
总而言之,单端口电路的自然响应由其阻抗Z(s)的根控制:极点控制开路电压响应vn(t),而零点控制短路电流响应in(t)。在某种程度上,根就像是单端口电路的DNA。例如,我们来看图4的单端口电路。在t=0时,电容两端的电压为9V,顶部为正,t>0时它的自然响应是什么?可以看出单端口电路呈现的阻抗是:

显然,z1=–1/(R1C)=-1/(10ms),p1=-1/[(R1+R2)C]=-1/(30ms)。此外,a1=[20/(10+20)]9=6V且b1=9/10=0.9mA。所以:

图4:找出(a)开路和(b)短路的自然响应。
单极点控制
在图5a的电路中,由vn表示的节点和地之间的阻抗为Z(s)=R||(1/sC)=R/(1+sRC),因此在s=-1/(RC)=-1/(1ms)时电路具有一个极点。假设vn(0)=1V,我们可以得到:

图5:(a)基本电路(b)相同的电路,但可以控制极点。
无论怎样选择R和C的值,该电路的极点将始终为负。我们希望找到控制它的方法,以便将其驱动为零甚至使其成为正的。图5b示出的电路可以完成这项工作。非反相放大器检测vn并输出电压:
(1 + R2/R1)vn = (1 + k)vn
k = R2/R1
其中R2代表电位器在其左端和游标之间的部分。对于给定的元件值,从左端到右端改变游标将使k在0<k<2的范围内变化。现在,R3上的电压为(1+k)vn–vn,即kvn,在右边是正的,表明R3将为C提供电流kvn/R3。鉴于R从C中汲取电流vn/R,因此从C流出的净电流为iC=vn[1/R+1/(-R3/k)],表明C视R与一个负电阻–R3/k并联,净等效电阻Req=R||(–R3/k)]。扩展后可以得到:

对于给定的元件值,我们有Req=(10kΩ)/(1–k),因此极点位置现在为s=-1/(ReqC)=-(1–k)/(1ms),公式(4)变为:

我们讨论一下电路作为游标设置函数的工作原理,使用图6中的PSpice电路来显示随后的自然响应类型。
当游标一直向左(k=0)时,R3上的电压降为零,因此R3带有零电流,C通过R放电,时间常数为1ms,如公式(4)所示;
将游标向右移动时,R3将电流提供给C,只要该电流小于R汲取的电流,C仍然会呈指数放电,但速度比k=0时要慢;
当游标处于中间(k=1)时,R3输出的电流等于R汲取的电流,电容的净电流为零,因此电容电压保持恒定;
将游标进一步向右移动(k>1),使得源电流大于汲取电流,因此C呈指数充电,从而产生不同的响应,直到运放饱和。

图6:PSpice电路显示不同k值的自然响应,假设电容最初充电电压为1V。
图7描绘了随k变化的极点位置。

图7:极点轨迹是k的函数。
极点对控制
在图8a的电路中,干扰产生自然响应vn(t)的阻抗是:

D(s)的阶数表明我们现在有一个二阶系统。对于这样的系统,D(s)通常以更方便的形式表达:
其中ζ称为阻尼比,ω0称为无阻尼固有频率。设D(s)=0,可以得到极点对:
比较公式(8)和(9),我们发现图8a的电路具有:ζ=1.5和ω0=1/(RC)=1/(1ms)。代入公式(10)得到极点对p1=-1/(0.3818ms),p2=-1/(2.618ms),表示vn(t)由一对指数衰减组成,因为电阻消耗了存储在电容中的电能。
为简单起见,假设图8a的RC对完全相同??梢钥闯?,无论我们怎样选择元件值,该电路的极点将始终为负实数。

图8:(a)基本电路(b)相同的电路,但可以控制极点。
我们希望可以找到方法来控制它们在复平面上的位置,以便将它们放置在虚轴上,甚至使它们溢出到复平面的右半部分。图8b示出了可完成这项工作的电路。其中最左边的电容被提升离地,由一个非反相放大器驱动,该放大器检测到vn并输出电压(1+R2/R1)vn=(1+k)vn,k如公式(5)所示。对于给定的元件值,从左端到右端改变游标将使k在0<k<3的范围内变化。这样做的目的是想通过改变k值,使运算放大器通过最左边电容注入的能量改变甚至超过电阻消耗的电能。
使用熟悉的电路分析技巧,我们发现干扰产生自然响应vn(t)的阻抗为:

表明2-k=2ζ,或:
ω0=1/(RC)=1/(1ms)。我们来讨论电路随游标设置变化的工作原理,同样,使用图9a的PSpice电路来显示随后的自然响应类型,如图9b所示。
随着游标一直向左滑动(k=0),可以得到ζ=1。公式(10)得到重合的极点对p1=p2=-1/(1ms)。在这种情况下,系统理论预测该类型的自然响应为:
其中a和b是适合的系数,取决于t=0时存储在电容中的能量。如图9b所示,在初始浪涌之后,自然响应呈指数衰减至趋于零。
设k=2,得到ζ=0,所以公式(10)预测纯虚极点对p1,2=±j103,其中j是虚数单位(j2=-1)。使用欧拉公式exp(jα)+exp(–jα)=2cosα,可以看出自然响应现在采用这种形式:

图9:PSpice电路显示对应于不同k值的自然响应,假设在t=0时,Ca充电到1V,Cb放电。
其中a和φ是适合的系数,取决于t=0时存储在电容中的能量。其结果是持续振荡,也称为无阻尼振荡(因此称为ω0)。物理上,运算放大器注入单端口电路的能量等于端口电阻消耗的能量,这让电容以某种乒乓方式交换能量。
● 对于0<k<2,有1>ζ>0,所以现在公式(10)可以预测一对复共轭极点。例如,当k=1.5时,由公式(12)得到ζ=0.25,因此由公式(10)得到:

代入公式(2),合并,并再次使用欧拉公式,将得到自然响应公式:

其中a和φ是适合的系数,取决于t=0时存储在电容中的能量。
如图9b所示,对于k=1.5,电容仍然以乒乓方式开始交换能量,但是该能量逐渐被电阻消耗,从而产生阻尼振荡。
● 将k提高到2以上,使运算放大器注入的能量超过端口电阻可以消耗的能量,引起发散振荡,如图9b中k=2.1所示。振荡将持续增长到运算放大器饱和为止。
图10示出了随k变化的根轨迹。总而言之,无源电路的极点位于复平面的左半部分。为了使它们溢出到右半平面,我们需要一个有源元件,例如示例中的运算放大器,从自己的电源端获取能量并将其注入单端口电路。右半平面的极点导致发散的响应,最终使放大器饱和。

图10:(a)作为k的函数的根轨迹(b)在阻尼响应状态下的极点对。
一个流行应用
我们的电路控制极点对位置的能力可用于产生持续的正弦波。为此,它需要满足两个条件。
● 为了可以自己启动,电路的初始配置必须使其极点对位于复平面的右半部分(k>2.0)。

图11:在虚轴上放置并保持一对极点,以产生正弦波。
即使两个电容最初都放电,运算放大器的一点噪声输入就足以触发不断增长的振荡。
● 一旦振荡达到所需幅度,就必须采取一些机制进行干预,以防止其进一步增长,并将其保持在该幅度。这需要将极点对放置在虚轴(k=2.0)上,并自动保持极点在其上,不管元件老化和漂移,或者任何其它干扰。
在图11a中,电源接通时,两个二极管仍然关闭,因此k=R2/R1=22/10=2.2,表明振荡增加。随着振荡的增加,二极管在交替的半周期内逐渐导通,所以k=[R2||(R3+rd)]/R1,其中rd是动态二极管电阻(rd随二极管电流而减?。?。在rd<<R3的极限情况下,我们将得到k=(22||100)/10=1.8,表示电路可在1.8<k<2.2的范围内调整k的值,这包括k=2.0时持续振荡达到所需幅度的情况。
假如由于某种原因实际幅度超过期望值,rd将减小并导致k降至2.0以下,从而抵消幅度上升。相反,如果幅度降至所需值以下,rd将增加并使k上升到2.0以上,从而抵消幅度下降。总之,只有k=2.0时电路才能找到它的“和平”状态。“啊,这就是负反馈的魔力!”作者的一名学生这样感慨,他毕业后去了卢卡斯电影公司工作。




