【导读】LLC拓扑广泛应用于各种功率转换设备中,然而LLC拓扑在轻载及空载情况下,即使工作频率范围很宽,往往仍然出现输出电压超出规格要求的现象。
LLC拓扑广泛应用于各种功率转换设备中,然而LLC拓扑在轻载及空载情况下,即使工作频率范围很宽,往往仍然出现输出电压超出规格要求的现象。本文从理论上对引起该问题的原因进行了深入分析,证明变压器原边等效并联电容和原边MOSFET的输出电容时造成该问题的根本原因,并针对根因提出了减小等效电容,原边MOSFET并联电容,谐振电感并联电容,增加变压器原副边匝比,变换器工作于打嗝模式等措施来应对该问题。
引言
近年来LLC 拓扑广泛应用于照明驱动,电视电源,工业电源,服务器/PC电源,通信电源等消费及工业领域中的DC-DC级,这是因其具有如全负载范围原边开关管的零电压开通(ZVS),副边二极管或同步整流开关零电流关断(ZCS),EMI特性好(高频噪声分量较少),电路结构简单,成本较低等优异特性。典型的半桥全波整流LLC拓扑如下图所示。

图1:半桥LLC拓扑
对于LLC拓扑,根据目前最为常用的基波近似法(First Harmonic Approximation, FHA,Fundamental Element Simplification, FES)[1]计算得到的直流增益曲线,即使负载很轻甚至负载为零,只要工作频率足够高那么输出电压电压一定是可控的,即可以稳定在规格要求范围内。然而,在大量采用该拓扑的产品中都可以发现:在轻载下输出电压无法稳定在规格要求范围内即往往高于规格的要求,即使LLC已经工作于非常非常高的频率。这与目前的理论分析是不相符的。因此有必要在轻载及空载条件下对直流增益曲线进行重新分析与计算,从中找到影响直流增益的因素,从而找到解决问题的方案。
变压器原边等效并联寄生电容对直流增益曲线的影响
采用FHA/FES方法计算LLC的直流增益曲线时,LLC变压器的模型中的漏感实际上已经被考虑进去:对于谐振电感为独立电感的应用,因为漏感与谐振电感为串联关系(副边漏感等效折算到原边),因此谐振腔的谐振电感感量为设计的谐振电感与漏感叠加值。而对于谐振电感与变压器集成方案,变压器漏感即谐振电感。但是原边绕组间,副边绕组间的分布电容及副边整流二极管或同步整流MOSFET的输出电容并未考虑到计算中。当考虑这些寄生电容后,变压器的模型及LLC等效电路分别如图2和3所示[3]。

图2 考虑副边寄生电容后的变压器模型

图3 考虑副边寄生电容后的LLC等效电路模型
根据图2所示结构,图3中的变压器原边等效并联寄生电容Cp为:
Cpw,Csw,Csoss分别为变压器原边绕组分布电容,变压器副边绕组分布电容及输出整流二极管或同步整流管的等效输出电容,Nps为变压器原副边的匝比,
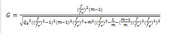
根据图3所示等效电路,计算得到的LLC直流增益为:
(2)其中:

以一个LLC谐振变换器设计参数为例:Lp=1400uH; Lr=165uH; Cr=68nF,Nps=16.7,对于图4所示的LLC变换器,使用阻抗分析仪在板测试变压器原边等效电容(图中所示的蓝色圆点为测试端),根据测试得到的阻抗曲线计算得到原边等效电容Cp为:
图4 采用LLC拓扑的开关电源变压器原边等效并联电容测试端
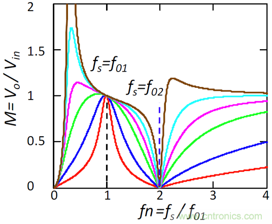
根据公式(2)可以计算得到不同品质因数Q值(对应100%负载~1%负载)下的增益曲线族,如图5所示;

图5 考虑变压器寄生电容后的直流增益曲线
而相同条件下不考虑寄生电容的增益曲线族如图6所示。

图6 不考虑变压器寄生电容的直流增益曲线
从图5和图6的对比可以得到,由于变压器原边绕组等效寄生电容的存在,增益曲线在高频出现另一个电感电容并联谐振点,导致增益曲线在轻载情况下随频率升高而增益变高,且负载越轻,该现象越明显。这将导致轻载情况下输出电压无法稳定。相同负载(以10%负载为例)不同原边寄生电容(500pF~50pF)下的增益曲线如图7所示。从图中可知,寄生电容越大,谐振点越低,对LLC增益曲线的影响越大,只有在寄生电容小于50pF情况下,其对增益曲线的影响可以忽略不计。

图7 不同寄生电容下的直流增益曲线
随着工作频率的进一步升高,变压器中更多的寄生电容和寄生电感对LLC的工作模式产生影响,使得LLC拓扑变为多元件谐振拓扑,增益曲线将出现多个谐振点,LLC特性将变的更加复杂。
原边MOSFET等效输出电容对直流增益曲线的影响
对于LLC拓扑,原边MOSFET在进行开关切换(即一个开关管关断,死区时间后另一个开关管开通)过程中,激磁电感会与原边MOSFET的输出电容产生谐振,该谐振能量将部分传递到副边,使得在空载及轻载情况下输出电压升高。文献[7]中详细分析了LLC拓扑原边MOSFET的输出电容对直流增益曲线的影响,不同MOSFET输出电容对直流增益的影响如图8所示[7]:

图8 不同原边MOSFET输出电容对轻载直流增益曲线的影响
当MOSFET的输出电容较小时,轻载下直流增益曲线出现上翘现象,使得输出电压无法保持在规格要求范围内。
保持输出电压稳定的措施
根据本文第2部分的分析,由于变压器等效原边电容的存在和原边MOSFET输出电容较小,LLC的增益曲线在高频段出现随工作频率上升的现象,导致轻载情况下输出电压无法保持在规格范围内。这是多数开关电源无法接受的。接下来的部分将介绍一些措施来解决该问题:
4.1减小变压器等效并联电容
这是最直接解决问题的方案,然而却也是最难实施的方案。由于无论如何变压器的寄生电容都是存在的,因此可以采取的措施是尽量减小该电容,文献[3]给出了其称之为“分离式绕法”的变压器绕制建议,其寄生电容只有传统并绕方法的十分之一。文献[4]提出了“累进式”绕制方法,寄生电容非常小。但往往这些绕制方式会带来绕制的复杂性提高,从而使得变压器的价格上升。
4.2 LLC工作于打嗝模式
在轻载情况下LLC拓扑进入打嗝(burst)模式是较多采用的一种控制策略,该策略一方面可以保持输出电压在规格范围内,另一方面减小了轻载下的输入功率,提高了轻载下的效率。图9为典型的打嗝模式下的关键波形[5]。然而打嗝模式会带来输出电压纹波变大,这在一些应用,例如服务器电源,PC电源等是无法接受的。

图9 打嗝模式下的LLC关键波形示意图
4.3谐振电感并联电容
对于谐振电感为独立电感的应用中,文献[6]提出了一种多谐振LLC的方案,即在谐振电感上并联一个电容,如图10所示,从而生成一个新的LLC谐振点f02,且

图10 多谐振LLC拓扑
原有谐振频率也稍有变化,其值为:
新的增益曲线如图11所示:

图11 多谐振LLC变换器直流增益曲线
由于增益曲线在fw=f02时为零,因此理论上该多谐振LLC拓扑在任何负载下输出电压都可以低至零。设计中需要选择合适的C_p,确保LLC的最高工作频率不超过f02。
4.4 原边MOSFET并联电容
根据第3部分的分析,原边MOSFET的输出电容越大,相同工作频率下直流增益曲线越低,即输出电压越容易控制在规格范围内。因此在选定原边MOSFET的前提下,还可以通过并联电容来增大等效输出电容,从而控制输出电压。此方法简单易行,可是缺点也较明显:输出电容的增大带来MOSFET开关损耗的增加,从而降低了转化效率,特别是在轻载下,效率的降低比较明显。
4.5 增加变压器原副边匝比
根据图6~图8,无论是变压器原边等效并联寄生电容还是原边MOSFET输出电容对直流增益曲线的影响,都是发生在工作频率高于谐振频率的情况下。因此通过增加变压器的原副边匝比(多数是通过增加变压器原边绕组的匝数),令LLC拓扑在轻载情况下工作于谐振点附近,则寄生参数对输出电压的影响可以忽略,从而轻载下输出电压更容易稳定在规格范围内。当然此设计需要考虑满载及过流保护前等情况下的直流增益的峰值足够高,保证这些情况下输出电压的稳定。
4.6 减小副边二极管/同步整流管寄生电容
根据第2部分的分析,变压器原边等效并联电容有一部分为副边二极管或同步整流管的等效输出电容,因此选择较小输出电容的二极管或者MOSFET将有助于稳定输出电压。文献[8] 提出了在输出二极管或同步整流管上并联一个MOSFET与二极管串联的电路,该电路将部分能量反馈到原边侧,从而在轻载及空载下维持了输出电压的稳定。
4.7 轻载下关闭同步整流管
对于副边为同步整流(MOSFET为副边侧开关管)的设计,在轻载情况下将同步整流的驱动关闭将有助于保持输出电压的稳定,当同步整流的驱动关闭后,副边侧通过MOSFET的体二极管续流,体二极管的压降介于0.7V~1.2V,远高于同步整流开通时的压降(V=ID*R(DS(on))),因此相同输出电压下所需要的副边绕组的输出电压更高。当然关闭同步整流的驱动也会有额外的问题,在负载突然加重需要将同步整流驱动打开时,由于上述压差的存在会导致输出电压出现过冲现象,因此设计中需要综合考虑该措施的可实施性。
总结
本文对LLC拓扑在轻载及空载情况下输出电压超出规格要求的现象进行了理论分析,证明变压器原边等效并联电容和原边MOSFET输出电容的存在产生出了该问题。相应地, 本文提出了多种可行的解决方案,来实现输出电压的稳定。本文将对电源开发工程师解决LLC拓扑轻载下的输出电压偏高问题提供有益的参考。
参考文献:
[1] Bo Yang, Fred C. Lee, A.J. Zhang and Guisong Huang, LLC Resonant Converter for Frond End DC/DC Converter, 17th APEC, 2002
[2] Ya, Liu, High Efficiency Optimization of LLC Resonant Converter for Wide Load Range,
[3] Heng Yue, Min Chen, Research on Effects of Transformer Parasitic Capacitance on LLC Light Load Stability, Journal of Power Supply, 2013.3
[4] Shan Yu, Jiqing Dong, the Analysis of High-Frequency Transformer Parasitic Capacitance on LLC Non-load Characteristics, Magnetic elements & Power Supply, 2014.03
[5] Datasheet of IDP2322, Infineon Technologies
[6] Dianbo Fu, Fred C. Lee, Ya Liu and Ming Xu, Novel Multi-Element Resonant Converters for Front-end DC/DC Converters, 2008 IEEE Power Electronics Specialists Conference.
[7] Jae-Hyun Kim, Chong-Eun Kim, Jae-Kuk Kim and Gun-Woo Moon, Analysis for LLC Resonant Converter Considering Parasitic Components at Very Light Load Condition, 8th International Conference on Power Electronics-ECCE Asia, 2011
[8] Yiqing Ye, Chao Yan, Jianhong Zeng and Jianping Yin, A Novel Light Load Solution for LLC Series Resonant Converter, 29th International Telecommunications Energy Conference, 2007



