【导读】不同电源转换器技术规格中的一个明显变化就是需要将宽范围的输入电压转换为经稳压的输出电压。然而,如果未经稳压的输入电压在经稳压输出电压的设定点以上、以下或者是与之相等的范围内不断变化,而需要进行降压-升压转换时,这个任务就会变得更加具有挑战性。
降压-升压转换对于大量应用是必不可少的,这些应用包括电池充电、固态照明、工业计算和汽车应用。这篇文章简要回顾了与4开关降压-升压转换器设计相关的很多因素。特别回答了组件选型和功耗计算方面的问题,以及用快速启动计算器工具来协调和加快转换器设计流程的问题。
同步降压-升压转换器运行
作为一个既提供升压转换又能执行降压转换的有效方法,一款设计合理的降压-升压电路由于其便利性而成为一个不可或缺的器件。我们来复习一下图1中所示的4开关(非反向)同步降压-升压拓扑。
降压-升压功率级的主要优点在于,降压、升压、以及降压-升压转换模式可以按照需要在宽输入电压和负载电流范围内实现高效率。和与之相类似的单开关(反向)降压-升压相比,它还提供一个正的输出电压,以及相对于SEPIC、反激式和级联升压-降压拓扑较低的功率损耗和更高的功率密度。

图1. 4开关同步降压-升压转换器功率级。
在图1中,4个功率MOSFET被安排为H桥配置中的降压和升压桥臂,其中的开关节点SW1和SW2由电感器LF 相连。当输入电压分别高于或低于输出电压时,同步降压或升压开始运行,而对面非开关桥臂的高侧MOSFET运行为导通器件。更重要的一点是,当输入电压接近输出电压时,开关降压或升压桥臂达到预期的占空比限值,从而触发向降压-升压工作模式的转换。操作模式的变化应该平滑顺畅、并且是自主进行的,无需改变控制配置。这一目的的实现方式,以及功率级与控制机制可能存在的相互依赖关系是非常重要的。
例如,作为一款特定的降压-升压控制器,LM5175[4]在降压-升压模式中采用一个独特的机制,降压和升压桥臂以准交错的方式在减少的频率上切换,从而在效率和功率损耗方面有着显著优势。峰值电流模式和谷值电流模式降压控制技术可实现平滑顺畅的模式变换,需要的只是一个用于电流感测的低侧已配置分压电阻器。基于VIN和VOUT之间差异的斜坡补偿实现方式往往为无差拍响应,并且标志着一个增加电源抑制 (PSR) 和抑制线路瞬变的好方法。
针对电流模式降压-升压转换器的设计流程
图2中绘制的是一个4开关同步降压-升压转换器完整的电路原理图。这个电路原理图包括针对功率级、栅极驱动器的自举电路、电流感测网路的组件,以及用于实现更低电磁干扰 (EMI) 的展频频率调制 (SSFM)、[5]可编程欠压闭锁(UVLO)、输出反馈和环路补偿的组件。

图2.具有电流模式控制器的4开关降压-升压转换器的电路原理图。
一个快速启动工具资源[3]提供了一个针对4开关降压-升压转换器的分析与设计框架。步骤是从转换器技术规格到组件选型,再到性能审验(效率、组件耗散和波特图),如果需要的话,之后是重复设计。将LM5175同步降压-升压控制器作为起点,让我们来一步步地回顾一下400kHz转换器的设计流程;这款转换器在6A额定电流下,在输入源为6V至42V电压时,提供一个12V输出。
步骤1:运行技术规格
图3中的屏幕截图显示的是步骤1,或针对输入电压范围、输出电压、负载电流和开关频率的用户技术规格条目。
步骤2:电感器筛选
电感取决于输入电压范围和目标峰值到峰值电感器纹波电流比。方程式1分别设定了30%和80%时,深度升压和深度降压运行点内的目标纹波电流比。

有3个主要参数可以证明电感器性能—电阻 (DCR)、饱和电流 (ISAT)和内核损耗。具有铁粉磁芯材料的电感器在高达400kHz的开关频率上具有突出的性能,从而成为很多应用中的主流解决方案。值得注意也十分理想的特性就是电感会随着电流的增加而逐渐减少。同时,以铁氧体为磁芯的电感器具有相对低的内核损耗,虽然它们会在饱和刚刚开始时防止电感骤降。

图3. 步骤1到3分别是指运行技术规格、电感器筛选和电流感测。这个电路原理图是根据输入的以及计算出来的组件值自动组装而成。
步骤3:分路电阻
根据针对电流限值的相关阈值设定分路电阻。例如,方程式2适用于LM5175,并在降压中指定80mV谷值阈值,在升压中指定160mV的峰值阈值。当升压占空比在其最大值时,分路功率耗散在最低输入电压上达到峰值。一个宽纵横比分路电阻器,比如说封装规格为1225的电阻器,有利于将PCB布局布线中的元件放置位置[5]靠近两个低侧MOSFET的源极连接。

下一步,斜坡补偿获得感测到的信号,并且在降压模式中,增加一个等于电感器斜升的斜坡分量,或者在升压模式中增加一个与电感器渐降相等的斜坡分量。方程式3中给出了斜坡电容[4] 的计算方式

步骤4和5:输入与输出电容器筛选
在图4中,步骤4和5是指分别由降压和升压工作模式设定的输入和输出电容值。高密度设计越来越多地将数个X5R-或X7R-介质陶瓷元件组合在一起,有时还附带着一个小尺寸电解电容器来实现大批量储能功能。方程式4使用针对峰值到峰值的纹波电压,在假定没有等效串联电阻 (ESR) 纹波分量的情况下设定基线电容估计值。

然后,在电容值被选中后,在知道ESR的情况下,反算出各自的峰值到峰值的纹波电压。

输入电容器RMS电流(以及纹波电压)在降压模式期间,占空比为50%时达到最大值。另一方面,最高输出电容器RMS电流出现在升压模式期间占空比达到最大值的时候。RMS电流的表达式为

图4. 步骤4至7是指电容器选型、补偿器设计、以及波特图分析。
步骤6:软启动、抖动、欠压闭锁 (UVLO)
根据启动时间技术规格,所需的软启动电容值为

下一个选项是使用方程式8来选择抖动电容值,以设定展频调制频率[5],在这里,Gd是与控制器相关的电导系数。

欠压闭锁电阻器分别设定了针对转换器启动与关断的上升和下降输入电压阈值。选择上限UVLO电阻值来设定迟滞。那么,如果VNV(ON)是UVLO比较器上限阈值,相应的下限UVLO电阻值最终为[4]

步骤7:环路补偿
小信号控制环路补偿性能由2个基础波特图度量标准测定:交叉频率和相位裕量。由RC和CC1决定的补偿器零频率提供交叉频率之前的相位提升。位于输出电容器ESR零点附近(或者是开关频率的一半,以低者为准),随CC2建立起来的一个极点提供噪声衰减,并且尽可能地将到COMP节点的输出纹波传播降到最低。使用以下方程式选择补偿组件:

要微调已经增加的带宽,只需增加补偿电阻RC,并且按照需要调整针对相位裕量的CC1。当然,与升压相关的右半平面零点 (RHPZ),以及交叉频率低于RHPZ频率的50%,实现可以接受的相位裕量等约束条件由以下方程式给出:

需要指出的是,由于已减少的电流模式调制器增益(与1-DBOOST成比例),升压模式中的交叉频率往往较低。的确,在最低输入电压时对波特图的快速检查可以很清楚的看出补偿器零点是否有助于在交叉频率附近实现足够相位。
步骤8:效率预测
图5中显示的步骤8提供了效率和组件功率耗散与线路和负载之间的关系曲线图。
所有4个功率MOSFET的特征值以导通状态电阻、栅极电荷、栅极电阻、转导、栅源阈值电压,以及体二极管正向压降和反向恢复电荷参数为中心发生变化。当然,升压中的电感器运行电流要高于降压下的电感器运行电流,不过额定电压为VOUT的升压桥臂MOSFET通常比额定电压为最大VIN的降压桥臂器件具有较低的RDS(ON)。
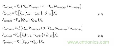
方程式12和13分别计算降压和升压模式下的传导、开关和栅极驱动损耗。针对降压-升压模式的相应表达式是方程式12和13的权重组合,其依据是降压-升压窗口中的运行点,并且将频率除以2。

正如预期的那样,电感器覆铜和磁芯损耗、开关死区传导损耗、分路损耗,以及偏置稳压器损耗也会对效率的计算值产生影响。如果从总体上考虑损耗的话,一个具有12V经稳压输出的4开关降压-升压转换器完全可以在宽范围的输出电流和输入电压范围内实现96%以上的效率。

图5. 步骤8是指MOSFET技术规格、效率曲线图和功率损耗分析。
总结
针对工业和汽车应用的降压-升压转换器具有独特的电源解决方案要求。在证明其易用性、高效率、小巧尺寸和较低的总体物料清单成本后,4开关同步降压-升压转换器提供集合优势,以满足所需的主要功能。如果其中涉及组件相互关联和功能取舍,一款快速启动的计算器对于加快和简化转换器设计来说绝对是一个便捷的工具。


