- IGBT失效原因分析
- IGBT保护方法
- IGBT?;し椒?/strong>
- 实验结果分析
- 整流拉逆变式组合?;し桨?/strong>
1引言
随着电力电子器件制造技术的发展,高性能、大容量的绝缘栅双极晶体管(IGBT)因其具有电压型控制、输入阻抗大、驱动功率小、开关损耗低及工作频率高等特点,而越来越多地应用到工作频率为几十kHz以下,输出功率从几kW到几百kW的各类电力变换装置中。IGBT逆变器中最重要的环节就是高性能的过流?;さ缏返纳杓?。专用驱动模块都带有过流?;すδ?。一些分立的驱动电路也带有过电流?;すδ堋T诠ひ涤τ弥?,一般都是利用这些瞬时过电流保护信号,通过触发器时序逻辑电路的记忆功能,构成记忆锁定?;さ缏?,以避免保护电路在过流时的频繁动作,实现可取的过流保护。本文分析了大功率可控整流电压型逆变器中封锁驱动及整流拉逆变式双重?;さ缏方峁埂?br />
2IGBT失效原因和?;し椒?br />
2.1IGBT失效原因分析
引起IGBT失效的原因有:
1)过热损坏集电极电流过大引起的瞬时过热及其它原因,如散热不良导致的持续过热均会使IGBT损坏。如果器件持续短路,大电流产生的功耗将引起温升,由于芯片的热容量小,其温度迅速上升,若芯片温度超过硅本征温度(约250℃),器件将失去阻断能力,栅极控制就无法?;?,从而导致IGBT失效[1]。实际运行时,一般最高允许的工作温度为130℃左右。
2)超出关断安全工作区引起擎住效应而损坏擎住效应分静态擎住效应和动态擎住效应。IGBT为PNPN4层结构,其等效电路如图1所示。体内存在一个寄生晶闸管,在NPN晶体管的基极与发射极之间并有一个体区扩展电阻Rs,P型体内的横向空穴电流在Rs上会产生一定的电压降,对NPN基极来说,相当于一个正向偏置电压。在规定的集电极电流范围内,这个正偏置电压不大,对NPN晶体管不起任何作用。当集电极电流增大到一定程度时,该正向电压足以使NPN晶体管开通,进而使NPN和PNP晶体管处于饱和状态。于是,寄生晶闸管导通,门极失去控制作用,形成自锁现象,这就是所谓的静态擎住效应。IGBT发生擎住效应后,集电极电流增大,产生过高功耗,导致器件失效。动态擎住效应主要是在器件高速关断时电流下降太快,dvCE/dt很大,引起较大位移电流,流过Rs,产生足以使NPN晶体管开通的正向偏置电压,造成寄生晶闸管自锁[2]。

图1 IGBT等效电路
3)瞬态过电流IGBT在运行过程中所承受的大幅值过电流除短路、直通等故障外,还有续流二极管的反向恢复电流、缓冲电容器的放电电流及噪声干扰造成的尖峰电流。这种瞬态过电流虽然持续时间较短,但如果不采取措施,将增加IGBT的负担,也可能会导致IGBT失效。
4)过电压造成集电极发射极击穿。
5)过电压造成栅极发射极击穿。
2.2IGBT?;し椒?/strong>
当过流情况出现时,IGBT必须维持在短路安全工作区(SCSOA)内。IGBT承受短路的时间与电源电压、栅极驱动电压以及结温有密切关系。为了防止由于短路故障造成IGBT损坏,必须有完善的故障检测与?;せ方?。一般的检测方法分为电流传感器和IGBT欠饱和式保护。
1)封锁驱动信号
在逆变电源的负载过大或输出短路的情况下,通过逆变桥输入直流母线上的电流传感器进行检测。当检测电流值超过设定的阈值时,?;ざ鞣馑星疟鄣那藕拧U庵直;し椒ㄗ钪苯?,但吸收电路和箝位电路必须经特别设计,使其适用于短路情况。这种方法的缺点是会造成IGBT关断时承受应力过大,特别是在关断感性超大电流时,必须注意擎住效应。
[page]
2)减小栅压
IGBT的短路电流和栅压有密切关系,栅压越高,短路时电流就越大。在短路或瞬态过流情况下若能在瞬间将vGS分步减少或斜坡减少,这样短路电流便会减小下来,当IGBT关断时,di/dt也减小。集成驱动电路如EXB841或M579xx系列都有检测vCES电路,当发现欠饱和时,栅压箝位到10V左右,增大vCES,限制过电流幅值,延长允许过流时间。短路允许时间tsc和短路电流Isc同栅极电压vG的关系如图2所示。

3整流拉逆变式组合?;し桨?br />
3.1逆变部分?;?/strong>
本设计逆变器为半桥式结构,串联谐振负载,驱动采用IR公司的IR2110半桥驱动芯片。IR2110电路简单,成本低,适用于中大功率IGBT,实验结果也验证了IR2110驱动中大功率IGBT的可行性。IR2110芯片有一个封锁两路驱动的SD输入端,当此引脚为高电平时,立刻封锁两路输出,如图3所示。

电压型逆变器引起短路故障的原因有:
1)直通短路桥臂中某一个器件(包括反并二极管)损坏;或由于控制电路,驱动电路的故障,以及干扰引起驱动电路误触发,造成一个桥臂中两个IGBT同时开通。
2)负载电路短路在某些升压变压器输出场合,副边短路的情况。
3)逆变器输出直接短路
图4给出了保护电路框图。直通保护电路必须有非??斓乃俣?,在一般情况下,如果IGBT的额定参数选择合理,10μs之内的过流就不会损坏器件,所以必须在这个时间内关断IGBT。母线电流检测用霍尔传感器,响应速度快,是短路?;ぜ觳獾淖罴蜒≡瘛1冉掀饔肔M319,检测值与设定值比较,一旦超过,马上输出?;ば藕欧馑M庇么シ⑵鞴钩杉且渌ū;さ缏?,以避免?;さ缏吩诠魇钡钠捣倍?。外接的复位电路也不可缺少。

3.2整流部分?;?/strong>
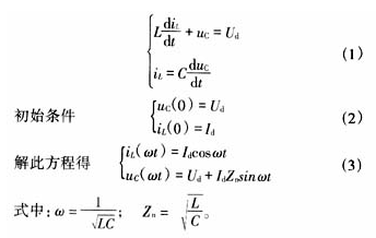
对于大功率电压型逆变器,为了改善进线电流波形,一般在直流母线上串有滤波电感,如图5所示。由于电感的存在,当逆变电路一旦停止工作,如果整流电路仍处在整流状态,则电感中的能量将向电容释放,在逆变?;ざ魉布涞缛萁惺芤桓龊芨叩墓宓缪?,若不采取措施,可能会直接导致电容过压损坏。尤其在负载电流很高,L中储能很大时,更加危险。

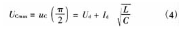
假设逆变关断时滤波电感中的电流全部从电容C中流过,同时整流器继续输出电压Ud。图6给出了等效电路,L与C串联谐振,由于整流桥电流只能单向流通,所以振荡到T/4时结束。


可见在谐振到1/4周期时,电容上的电压达到最大值,之后谐振停止。

电容上最后电压与母线电流,电感及电容有关。在我们试验用的10kW样机中,直流母线电压200V时让逆变瞬间在保护信号下关断,母线电压突然上升到近450V。针对此种现象,采用在?;ざ鞯耐苯鞯缏防侥姹涔ぷ髯刺?触发角α拉到约150°),使滤波电感中的能量大部分回馈到电网。
在实际应用中,由于驱动电路的故障导致上下桥臂IGBT直通的可能性很小。鉴于此,也可以采用单一的整流部分拉逆变的?;し椒?。对于像负载过流或短路,都能在IGBT允许的短路电流时间内将整个装置的工作停下来。这种?;し椒ú⒉恢苯诱攵訧GBT,而是将前级整流输入关断,故障时IGBT仍处于工作状态。这属于“软?;?rdquo;,对IGBT没有应力冲击,同时也可以避免在大电流下瞬间关断可能导致IGBT超出关断安全工作区而处于擎住状态。
4实验结果
这种?;し桨敢殉晒Φ赜τ糜诖蠊β矢咂蹈哐沟缪剐痛痴衲姹淦髦?,中压输出经升压变压器升到6kV,用于材料电晕处理。样机输出功率约10kW。由于负载是高压电晕处理器,升压变压器内部容易发生原、副边击穿现象。试验中发现,不论对于负载短路,变压器击穿引起的过流,还是输入电压过高引起的过流都能很好地保护逆变器不受损坏。
5结论
IGBT是逆变器中最容易损坏的部分,特别是对于电压型可控整流电路。在对IGBT直通?;な被挂悸堑焦囟夏姹淦鞫郧凹兜缏返挠跋?。本文所介绍的整流逆变同时保护的方案可以可靠?;ふ瞿姹淦?,并在实践中取得了良好的效果。
参考文献
[1]RahulS.Chokhawala,JamieCatt,LaszloKiraly.AdiscussiononIGBT shortcircuitbehaviorandfaultprotectionschemes.IEEETransactionson applications,1995,31(2).
[2]张立,黄两一.电力电子场控器件及其应用.北 京,机械工业出版社.



