中心议题:
- 加强ESD?;?/strong>
加强ESD保护的技巧的解决方案:
- 缩短寄生“截断”迹线的长度或LESD
- 缩短GND迹线长度和/或减少使用通孔数量以便缩短LGND
- 让特定设计上的LIC/LPORT比尽可能地小
- 在ESD器件和IC直接添加缓冲电阻器
ESD 器件的主要目的是提供电阻最低的接地分流路径。根据这种理念,我们为电路板设计者提供了一种能够让他们计算ESD瞬变时保护器件的有效电阻的方法。该电阻或动态电阻可用于比较和从当今市面上的大量ESD器件中选择最合适的器件。我们得出的结论是,考虑到其他所有寄生效应之后,动态电阻最低的器件能够为设计者提供一举成功的机会。
在本文章中,我们将介绍各种技巧,电路板设计者可以用它们帮助自己实现设计所需的ESD等级,从而保证所选的ESD保护器件能够通过在系统ESD测试。

背景
现代电子设备(从LCD电视到手机)使用的很多芯片集都是采用130nm以下的工艺技术开发而成。这些技术的最低DC电压容差超过3.3V,所以ESD脉冲对这类器件的影响是毁灭性的。并且,“板上”或“片上”ESD?;ひ笠呀抵?00V,远远低于8kV 现场要求的典型值。
因此,考虑到小型芯片集的弱点,电路板设计者不仅需要外部ESD?;?,还需要确保它足够稳定。如先前的白皮书所述,在受?;さ氖菹呗坊騃/O引脚上安装额定电压为8kV的ESD器件并不能保证在系统测试时芯片集本身会通过8kV的电压。
通常,ESD器件本身不会提供充足的?;ぃ佣贾滦酒缢鸹?。本白皮书提供了几点指导意见,设计者可以用它来加强板上ESD?;?。
器件布置与布局
器件位置和布局对于让ESD?;て鞣⒒幼畲笮в镁哂兄凉刂匾淖饔?。为此,设计者最好了解各种寄生电感的板级效应?;固乇鸾樯芰说绺校蛭?kV ESD(即30A)时,仅1nH的电感就会通过关联在PCB迹线上产生30V的尖峰电压。

在决定ESD器件布局时,应该考虑4种寄生电感,即LESD、LGND、LIC和LPORT,其位置如图2所示。

LESD和LGND能够提高箝位电压(或VIC),而LIC和LPORT则对设计者有利。我们先介绍这2种有害电感。
LESD和LGND
有时,电路板布局不允许将ESD器件直接安装在PCB迹线上面。原因各异,但即使将ESD元件安装在距离受保护数据线路1厘米远的地方也可能会迅速转化为几十伏的电压。GND总线也一样。在某些设计中,ESD器件的GND必须穿过几个通孔,甚至采用迂回路线到达接地面。除了流经ESD器件的ESD电流产生的电压以外,这两种电感还会产生电压尖脉冲(即IPEAK×RDYNAMIC)。
下述简例说明了LESD和LGND对VIC的影响。在介绍该实例之前,应该指出的是,常见的PCB生产工艺为典型的微带迹线提供了约3nH/cm的电感(假定具有一定的宽度、厚度和介电常数)。
考虑到这一点,我们假设具有8kV ESD脉冲和动态电阻为1Ω的ESD器件。并且,我们来看看2种不同的布局,即布局A和布局B,其中LESD=LGND=1.5nH(各0.5cm),LESD=LGND=3.0nH(各1.0cm)。

因此,只需要将迹线长度(即LESD和LGND)从0.5cm增加到1cm就可以让将VIC提高75%。图3介绍布局B以及与各个元件有关的电压。
[page]
LIC和LPORT
很多ESD器件数据手册中经常提到让器件尽可能靠近ESD输入点。这样LPORT/LIC比就会尽可能得低(即LIC>>LPORT)。LPORT的电感未必会影响整体的ESD性能,但LIC的电感则肯定会影响ESD性能。
LIC 的非线性会通过大幅削减IC电压来充当ESD脉冲的初始峰值电流的缓冲器。随着电感的降低(即ESD器件越来越靠近IC),电压降也会不断减小,直到无法获得任何优势时为止。所以,将LPORT/LIC比降至最低以便利用PCB迹线的寄生特性对设计者最有利。我们所说的电压降如图4所示。

利用LIC和LPORT是提升整体ESD性能的直接方法。然而,无论上述比值有多小,仍然有设计会过早地出现故障?;痪浠八?,LIC未能为峰值ESD电流提供充足的缓冲。
有时候,采用先前的技术不足以为给定电路板设计提供最大限度的ESD保护。原因在于流经“片上”ESD结构的电流过多,并且在I/O短接至GND或VCC时被损坏。
图5有助于将它弄清楚,表明ESD器件和受保护的IC实际上共同承担了来自于ESD脉冲的电流负载。该数值(负迹线电感)对应于正ESD脉冲,其中?;て骷樟舜蠖嗍缌鳎撬局噬鲜且桓龃蠭C的电阻分压器。

如图5所示,IC上的轨对轨二极管负责将剩余的或“允通”电流导入VCC(它一般会通过旁路电容器回到GND)。很难确定什么样的等效电阻适于为IC实现ESD?;ぃ俏抟杀劝迳螮SD器件高得多。
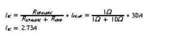
例如,如果将10Ω的电阻用于实现片上保护(RCHIP),1Ω的RDYNAMIC用于外部ESD?;て?,那么流经IC的峰值电流应该是:

为了帮助降低流入IC的峰值电流,可以将电阻器串联在外部ESD器件和IC之间,如图6所示。

通过增加10Ω的缓冲电阻,就可以将流入IC的峰值电流降低约50%(如本例)。

很显然,电阻可以增加10Ω以上,从而进一步降低了允通电流。通常,最高电阻由应用要素决定。
还应注意,在将这种技术用于高速应用(如HDMITM和USB3.0)时更要小心。RBUFFER电阻器会干扰线路阻抗,使信号衰减的程度超出了2种标准合规性规范所规定的范围,但是精心的电路板设计可以抵消任何不良影响。尽管如此,电路板设计者还是应该将这种技术保存在工具箱内,并在电路板或在系统ESD 等级降至要求以下时使用。
结论
如今,现代芯片集对ESD瞬变导致的损坏比以往任何时候都更敏感。由于小型工艺技术的原因,这些IC需要稳定的外部ESD解决方案以便经受住在系统ESD测试的考验。
本文介绍了4种电路板设计者可以用来优化ESD解决方案的策略或规程。
1. 缩短寄生“截断”迹线的长度或LESD。
2. 缩短GND迹线长度和/或减少使用的通孔数量以便缩短LGND。
3. 让特定设计上的LIC/LPORT比尽可能地小。
4. 如果1Ω-3Ω的电阻不够,则在ESD器件和IC直接添加缓冲电阻器。
所有这些方法均旨在降低流经IC的电压,以及限制片上ESD结构必须处理的电流。按照这些简单规则行事能够为电路板设计者提供更稳定、超出行业标准要求的ESD解决方案。



