- 电路保护原理
- 电路硬件电路
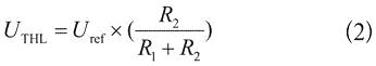
- 电路参数计算
- 电池?;さ缏反兄突厍?/strong>
为保证无人值守的设备(比如考勤机等)在断电后仍能运行,通常要加入蓄电池作为后备电源。在电网断电后,后备电池开始对设备进行供电。这时,必须设置电池过放电?;さ缏?。最简单的电池保护是设置一个电压?;っ畔?当电池电压降到这个门限值之后,自动断开回路,停止对负载供电。但由于负载被断开之后,电池端电压会迅速升高至门限电压以上,于是电池又被重新接入电路给负载供电,此后会重复“断开一接通一断开一接通”的振荡过程,直到电池彻底耗尽。这对电池的寿命会产生很大的影响,甚至损坏电池。所以,必须设计一种带有滞回功能的自动?;さ缏贰?br />
目前市场上有一些现成的电池?;ば酒梢杂τ?但这些芯片多应用于锂电池的保护,电压等级多集中在5V左右。在一些电压等级较高的蓄电池应用中,例如,10V至50V的供电系统可能就无法应用。本文提供了一种简单有效的带有滞回区的电池?;さ缏?可以设置两个电压门限,避免产生振荡,又因为这两个门限可以通过电阻任意设置,因此能够应用到几十伏的电池系统中。
1保护原理
如图1(a)所示,假设电池电压为UBAT,系统只设置一个?;っ畔薜缪筓TH。则当电池电压低于UTH时,比较电路输出低电平,负载被断开。但由于负载的移除,电池端电压迅速上升至UTH以上,比较器重新输出高电平,负载又被接入,从而形成振荡。

但如果在比较电路中设置两个门限电压:UTHH和UTHL(UTHH>UTHL),则可以形成一个滞回区,如图1(b)所示。当电池电压从低升高至UTHH时,比较器输出高电平,打开电子开关,给负载供电;当电池电压降低至UTHL时,比较器输出低电平,断开负载。这个时候电池端电压虽然会迅速升高至UTHL以上,但由于达不到UTHH,所以,比较器仍然输出低电平,负载仍被断开,直到电池被充电后电压升高至UTHH以上才能再次接通负载。这样就避免了电路的振荡,?;ち烁涸睾偷绯?。
虽然绝大多数比较器中都带有滞回电路,但通常内部滞回电路的滞回电压(即UTHH一UTHL)仅为5mV到10mV,根本不能用于过放电?;ぁM?(a)电路中利用比较器的输出反馈自动调节比较电压的参考值,使输入电压在不同的区间时,被比较的门限电压在UTHH和UTHL之间转化。图2(b)给出了输入信号变化时的输出响应,利用比较器的输出信号来驱动电子开关,当Output为高时,电池被接入系统,当Output为低时,负载被断开。
[page]当电池电压UBAT较低时,比较器输出低电平,使三极管VT截止,此时的门限电压为:

直到电池电压URAT高于UTHH时比较器才输出高电平,负载才能被接通,同时VT被导通,R3近似被短路,门限电压自动调整为:

此后,即使电池电压低于UTHH,但只要仍高于UTHL,电池就一直处于输出状态,直到电压降低至UTHL后,Output为低电平,负载被断开。同时,VT变为截止,门限电压重新转化为UTHH,虽然负载的移除使电池端电压上升,但由于仍低于UTHH,负载不会重新被接通。这样就有效的?;ち说绯?延长了电池的使用寿命。
2硬件电路
式(1)和式(2)是理论上的公式,实际上,为了将上述的滞回原理应用于实际的电池系统,还要考虑一个参考电压的问题。参考电压Uref是不能变的,否则上下电压门限就会发生变化。而且参考电压是由电池电压供电产生的,它必须比电池电压低的多,而且功耗极小。
图3是具体的硬件电路图,参考电压由LM285Z一2.5分流稳压器产生,它最低只需要10μA的通过电流就可输出稳定的2.5V参考电压,这可大大降低电池在低压闭锁状态的功耗。比较器选用了ST公司TS393I,它是一种微功耗比较器,这样,所有分压电阻的阻值可以选的很大,进一步降低了功耗。比较器的输出控制P沟道的MOSFET、VT3接通或断开负载。当电池电压降低到一定程度时VT2关断,使得由比较器组成的保护电路与电池断开,极大地减小的电池的能量消耗,电池处于一种近似自然放电的状态;当电池电压恢复时,VT2自然导通,?;さ缏分匦禄指垂ぷ?。

3参数计算
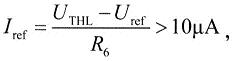
我们以9V的电池为例来进行参数计算。第l步:根据电池的特性设置上下电压门限UTHH=7.8V和UTHL=6V。
第2步:为了保证当电池电压达到低电压锁存门限时分压稳压器LM285Z一2.5仍能正常工作,则要保证LM285Z一2.5上流过的电流

但由于分流稳压器还要分出一部分电流给其它电阻网络用,留出2倍的裕量,所以实际的应保证Iref>20μA,这样可求出R6=175kΩ,取R6=125kΩ。




