- 熔断器的工作原理
- 熔断器的主要参数
- 熔断器选用时须考虑的主要参数
- 重要参数的计算方法
- 根据熔化热能I2t 选择熔断器电流型号匹配指导
- 环境温度应在规定工作温度范围之内,当超过环境温度25℃时,应参照温度折减曲线降级使用
- 熔断器所在电路中的最高电压不应超过熔断器的额定电压
- 额定电流:通过熔断器的工作电流不应超过额定电流的75%
- 短路截流能力:熔断器所在的电路中可能出现的最大短路电流不应超过熔断器的短路截流能力
- 熔断特性:熔断器在出现需要切断的过载电流时的熔断速度应满足应用上的要求
- 熔断器的I2t应大于浪涌电流的I2t
熔断器的工作原理
当电流通过导体时,因导体存在一定的电阻,所以导体将会发热且发热量遵循着Q=I2Rt,其中Q是发热量,I是通过导体的电流,R是导体的电阻,t是电流通过导体的时间。当制作熔断器的材料及其形状确定,其电阻R就相对确定了(若不考虑电阻温度系数),当通电流后就会发热,随时间增加其发热量亦增加,如果产生的热量超过散发的热量,熔断器的温度就会增加,当温度升到熔断器的熔丝熔点时熔断器就发生熔断亦即断开电路起到保护作用。
熔断器的主要参数
- 工作温度: 指熔断器周围的温度,AEM熔断器的工作温度范围为-55℃到+125℃。
- 尺 寸: 片式熔断器通常采用EIA/EIAJ规定的标准尺寸:1206,0603,0402。
- 额定电压: 熔断器在切断过载电流过程中所能承受的最高电压。
- 额定电流: 熔断器所能承载的工作电流,目前AEM熔断器可提供的额定电流范围由0.25A到8A不等。
- 额定分断能力: 又称短路截流能力,额定电压下能安全切断的最大故障电流。
- 熔断特性: 在给定过载电流情况下的熔断速度。
- 熔化热能: I2t指熔断器熔断所需要的能量。
熔断器选用时须考虑的主要参数
- 1. 工作温度:熔断器工作时的环境温度应在规定的工作温度范围之内,当环境温度超过25℃时,应参照温度折减曲线降级使用。
- 2. 额定电压:熔断器所在电路中的最高电压不应超过熔断器的额定电压。
- 3. 额定电流:通过熔断器的工作电流不应超过额定电流的75%。
- 4. 短路截流能力:熔断器所在的电路中可能出现的最大短路电流不应超过熔断器的短路截流能力。
- 5. 熔断特性:熔断器在出现需要切断的过载电流时的熔断速度应满足应用上的要求。
- 6. I2t:熔断器的I2t应大于浪涌电流的I2t 。
1. 温度折减率: 当熔断器工作的环境温度高于25℃时必须考虑温度的影响,在选择熔断器额定值时可依据:额定电流=工作电流/0.75/温度折减率。 例如:如果工作温度为65℃,从AEM温度折减曲线可查出折减系数为90%,如果工作电流为4A,则我们应该选用的熔断器额定值为:4/0.75/90%=5.9A或6A。
AEM熔断器温度折减曲线如图一所示:
2. 几种典型波形的I2t计算方法:
1)方波:

2)正弦波:

3)三角波:

4)衰减波:

[page]
根据熔化热能I2t 选择熔断器电流型号匹配指导
I2t通常用于衡量一个熔断器熔断时所需要的能量,其中I为过载电流,t为熔断时间。
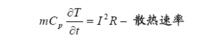
I2t并非一个常数,原因是一个熔断器的熔断时间并非单由生产的热量决定。散热的速度及熔断器的热容特性,均会影响熔断时间。熔断器的能量平衡关系可用下面的简化公式来表达:

其中m为熔断器的质量,Cp为比热或热容系数,T为温度,t为时间,
当产生热量的速率等于散热速率时,
熔断器的散热,主要由三种传热机理组成,即传导、对流和辐射。这三种传热方式,其传热速率均与熔断器及外界环境的温度差有关。当温度差越大时,传热的速率亦越大。传导传热主要是通过熔断器的本体材料,将电热从熔断器的导电部分传到周边,包括通过端头传到线路板及由外表面传到周围的空气中。对流传热是由周围空气的流动产生,对流传热有两种方式:一为自然对流,即由于熔断器表面的空气被熔断器加热而产生密度的变化所造成;另一为强制对流,即由电子器件内排风扇强制空气的流动造成。辐射是由熔断器表面产生的热辐射造成,其速率取决于熔断器表面温度与环境温度四次方之差和熔断器表面及散热空间的黑度。
当熔断器产生热量的速度大于散热速度时,
在电子电路中,时?;嵊玫降缛莺偷绺?。电容和电感均会在电流变化时吸收或放出能量,这就会造成瞬间的大浪涌电流。这些浪涌电流通常在电路开和关时较大,有时浪涌电流会是稳态电流的数倍,甚至是十数倍。电路设计师在选用熔断器时,要考虑熔断器承受浪涌电流的能力。
I2t的数据或图表,可用于估算熔断器熔断所需的能量,和熔断器承受浪涌电流的能力。
由于I2t不是一个常数,有些厂家提供I2t相对于电流或熔断时间的变化曲线供用户参考。从实验数据及曲线中我们可以看到,表面贴装片式熔断器的I2t只有在电流达到额定电流的1500%才会趋于稳定。有些厂家提供熔断时间为0.001秒时的I2t供用户参考。但是我们要注意到0.001秒时的I2t与0.0005秒时的I2t是不同的。只有在浪涌电流的脉冲时间与参考的熔断I2t的时间接近时,I2t才有参考意义。如果我们将前面熔断器能量平衡的公式对时间作一个积分,我们可以得到:

只有在m, Cp,R,I及散热速率均与温度及时间无关时,我们才可以得到I2t的常数关系,
即:
或

但实际上物性数据m(质量),Cp(热容),R(电阻)均是温度的函数,而散热速率更因温度的升高而升高,所以将I2t作为一个常数来考虑,只是非常粗略的一种近似。只有在熔断时间非常短,而散热和导体周边材数的吸热都可以忽略不计时,这种近似才有意义。
一些测试的数据表明,当过载电流达到额定电流的1500%时,I2t接近于一个常数。
[page]
下面我们通过两个例子来说明如何根据浪涌电流的I2t来选用能够承受该浪涌电流的熔断器。
例1:下图为一个用户所提供的浪涌电流曲线:

我们可以根据I和t的数据算出I2t与t的数据,并将这些数据标在I2t相对于t的熔断器特性图上。

上图下面两条熔断器的I2t曲线均在局部低于电流浪涌脉冲的I2t。这说明这两个熔断器的熔断能量,均低于浪涌电流脉冲的能量。这两个熔断器不适用于这一电路。
第三条熔断器的I2t曲线在电流浪涌脉冲I2t曲线之上。这一熔断器有可能用于这一电路。我们在这里之所以说“有可能”,是因为我们还要考虑其他使用条件。这些条件包括:
- (1)要有多大的I2t安全系数才能保证满足由于电路元件参数的散布(包括熔断器自身),和多次脉冲造成的熔断器降级(derating)的要求;
- (2)由于使用温度高于环境温度而作的降级使用;
- (3)电流最高电压和最大要求分断能力需要小于所选用的熔断器的最高使用电压和最大分断能力;
- (4)在电流出现短路故障时,熔断器的反应时间是否足够快。
在这里,我们重点分析第(1)点。实际选用的熔断器的I^{2}t_{F}值,即相应于电流浪涌I2tmax最大值处的熔断器的I2t值, 应该满足:

AEM熔断器具有良好的抗脉冲老化性能,测试数据表明,AEM熔断器在多次脉冲后不会出现明显的老化现象,因此我们建议客户选用100%-200%作为100,000次使用的
例2:当有一脉冲波形如下图时,可以用叠加法计算出熔化能量数值: I2t=(242x120+1/2x44.42x80)*10^-6=0.15(A2s)计算出熔化热能后即可按照上述方法选取相应的fuse型号。





