【导读】电容器像电阻一样反对电流流动,但与电阻器以热的形式消散其不必要的能量,当电荷充电和释放时,电容器将能量存储在其板上,或者在放电时将能量归还到连接的电路中。
我们看到一个电容器由两个平行的导电板组成,该电导板由绝缘体分离,并且在一块板上具有正( + )电荷,另一个板上的负电荷( -)电荷在另一个板上。
我们还看到,当连接到DC(直流电流)电源时,一旦电容器充满电,绝缘体(称为介电)会阻止电流通过它的流动。
电容器像电阻一样反对电流流动,但与电阻器以热的形式消散其不必要的能量,当电荷充电和释放时,电容器将能量存储在其板上,或者在放电时将能量归还到连接的电路中。
电容器通过将电荷在其板上存储在电流中反向或“反应”的能力称为“电抗”,因此,由于该电抗与电容器有关,因此称为电容式电抗(X C),并且像电阻,电抗性一样也可以在欧姆的。
当完全放电的电容器在电池或电源等直流电源上连接时,电容器的电抗极低,并且电路电流通过电容器流动很短,而电容器板则呈指数为代价。
一段时间后等于“ 5RC”或5个时间常数,电容器的板充满了等于电源电压的电荷,没有进一步的电流流量。在这一点上,电容器对直流电流流的电抗在Mega-Ohms区域的值,几乎是一个开路,这就是为什么电容器阻止DC的原因。
现在,如果我们将电容器连接到不断逆转极性的AC(交替电流)电源,那么对电容器的影响是其板在与所施加的交替供应电压上的关系中不断充电和放电。
这意味着充电和排放电流总是在电容器板中流入和流出,如果我们有电流流量,我们还必须具有反对的值。但是它是什么值,哪些因素决定了电容电抗的价值。
在有关电容和电荷的教程中,我们看到电容器板上存在的电荷量与电容器的施加电压和电容值成正比。由于应用交替的电源电压(VS)在不断变化的价值变化,因此板上的电荷也必须在价值上变化。
如果电容器具有较大的电容值,则对于给定的电阻,r为τ= rc充电所需的时间更长,这意味着充电电流在更长的时间内流动。较高的电容会导致给定频率的电抗值x c 。
同样,如果电容器具有较小的电容值,则需要较短的RC时间常数才能给电容器充电,这意味着电流将在较短的时间内流动。较小的电容会导致更高的电抗值x c。
然后,我们可以看到较大的电流意味着较小的电抗性,而较小的电流表示较大的电抗性。因此,电容电抗与电容器的电容值成反比,x c∝ -1 c 。
但是,电容并不是决定电容抗性的因素。如果施加的交替电流处于低频率,则电抗有更多的时间在给定的RC时间常数中堆积,并且反对电流表示很大的电抗值。
同样,如果应用频率很高,则充电和放电循环之间几乎没有时间以堆积并反对导致电流流量较大的电流,表明电抗较小。
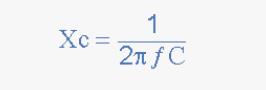
然后,我们可以看到电容器是阻抗,并且这种阻抗的幅度取决于频率。因此,较大的频率意味着较小的电抗性,较小的频率意味着较大的电抗性。因此,电容电抗X C (其复杂的阻抗)与电容和频率成反比,并且电容式电抗的标准方程式为:
电容电抗公式

电容电抗公式
在哪里:
XC =欧姆的电容电抗,(ω)
π(pi)= 3.142的数字常数
? =赫兹的频率,(Hz)
C = Farads的电容,(F)
串联电容器的电压分布
现在,我们已经看到了对电容器的充电和排放电流的反对不仅取决于其电容值,而且还取决于供应的频率,让我们看一下这如何影响两个在形成电容电压分裂串联的电容的电容器电路。
电容电压分隔器

电容电压分隔器
考虑两个电容器,即C1和C2,串联到10伏的交替供应中。由于两个电容器是串联的,因此电荷Q是相同的,但是它们的电压将不同,并且与它们的电容值相关,如V = Q/C。
电压分隔电路可以是由反应组件构造的,就像它们都遵循电压分隔规则一样,可以像电阻一样容易地构造它们。以此电容电压分隔电路为例。
每个电容器之间的电压可以通过多种方式计算。一种方式是找到每个电容器的电容电抗值,总电路阻抗,电路电流,然后使用它们来计算电压下降,例如:
电容电压分隔器示例NO1
在上面的串联电路中,使用10UF和22UF的两个电容器,当在80Hz处的正弦电压为10伏RMS时,计算每个电容器的RMS电压降低。
1。10UF电容器的电容电抗性

10UF的电容电抗
2。22UF电容器的电容电抗

22UF的电容电抗
串联电路的总电容电抗性 - 请注意,串联电抗的添加在一起,就像串联电阻一样。

电路电抗
或者:

总电容电抗
电路电流

因此

电容分隔电压下降

当电容器值不同时,较小的值电容器将自身与较大的值电容器相比,在上面的示例中分别为6.9和3.1伏。
由于Kirchhoff的电压定律适用于此和每个连接电路的电压,因此单个电压下降的总和在价值上等于电源电压V S和6.9 + 3.1的总和确实等于10伏。
请注意,无论电源频率如何,在串联电容电压分隔器电路中连接的两个电容电压电路中连接的两个电容器的比率下降将始终保持不变。然后,即使供应频率从80Hz增加到8000Hz,在我们简单的示例中,上面的两个电压为6.9伏和3.1伏特的电压下降也将保持不变。
免责声明:本文为转载文章,转载此文目的在于传递更多信息,版权归原作者所有。本文所用视频、图片、文字如涉及作品版权问题,请联系小编进行处理。
推荐阅读:
贸泽电子与Amphenol联合推出全新电子书探索连接技术在电动汽车和电动垂直起降飞行器中的作用





