桃花源qm花论坛(品茶),凤楼阁论坛官网入口网址,一品楼品凤楼论坛最新动态,风楼阁全国信息2024登录入口

你的位置:首页 > 互连技术 > 正文

功率器件热设计基?。ㄒ唬β拾氲继宓娜茸?/h2>

发布时间:2024-11-11 责任编辑:lina

【导读】功率半导体热设计是实现IGBT、碳化硅SiC高功率密度的基础,只有掌握功率半导体的热设计基础知识,才能完成精确热设计,提高功率器件的利用率,降低系统成本,并保证系统的可靠性。


前言


功率半导体热设计是实现IGBT、碳化硅SiC高功率密度的基础,只有掌握功率半导体的热设计基础知识,才能完成精确热设计,提高功率器件的利用率,降低系统成本,并保证系统的可靠性。


功率器件热设计基础系列文章会比较系统地讲解热设计基础知识,相关标准和工程测量方法。


散热


功率半导体器件在开通和关断过程中和导通电流时会产生损耗,损失的能量会转化为热能,表现为半导体器件发热,器件的发热会造成器件各点温度的升高。


半导体器件的温度升高,取决于产生热量多少(损耗)和散热效率(散热通路的热阻)。


功率器件热设计基?。ㄒ唬β拾氲继宓娜茸? style=

IGBT??榈姆缋渖⑷?/strong>


IGBT??榈姆缋渖⑷仁堑湫偷纳⑷认低?,同时包含了散热的形式三种:热传导、热辐射和热对流。


热传导:


热传导是指固体或液体之间因为温度差而产生热量传递或扩散的现象。热传导的特性可以类比为电气工程中的欧姆定律,如图所示。热能工程中的热源就像电气工程中的电源,热能工程中的受热体就像是电气工程中的负载,电气工程有电阻电容元件,热能工程也有类似属性的元件,称为热阻和热容。


功率器件热设计基?。ㄒ唬β拾氲继宓娜茸? style=


热阻:


热阻是一个在热传导中至关重要的概念,它描述了物质对热传导的阻力,为传热过程中温度差与热流量比值。这一参数在电子元器件设计、散热方案设计等多个领域都扮演着重要角色。


功率器件热设计基?。ㄒ唬β拾氲继宓娜茸? style=


Rth=热阻

P(Pth,C)=功率(热流量)

ΔT=温差


这个定义,就与电路中的欧姆定律一致:


功率器件热设计基础(一)——功率半导体的热阻


不同介质(固体、液体或气体)导热能力不同,以热的形式传输热能的能力定义为导热系数λ。因为导热系数是介质的特性,所以某种材料的导热系数可以看作是一个常数。导热系数又称热导率,单位是W/(m·K)。下表给出了一些材料的λ值。


功率器件热设计基础(一)——功率半导体的热阻

从上表可以看到功率半导体常用材料的导热系数,如硅的导热系数是100W/(m·K),而碳化硅的导热系数是490W/(m·K),所以说碳化硅散热性比硅好很多,且优于金属铜25%,甚至比金属银还好。


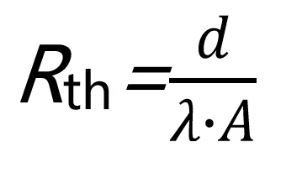
热阻与导热系数:


热阻与导热介质的横截面积A成反比,与厚度d成正比,其单位是K/W:


功率器件热设计基?。ㄒ唬β拾氲继宓娜茸? style=

金属铝和铜有很好的导热性,常用于制作功率半导体的散热器,但再好的导体也会引入热阻,而且厚度越大,热阻越高。


有了热阻和导热系数的概念,就可以与产品联系起来了:


实例一:功率??榈慕峁购腿茸?/strong>


功率器件热设计基?。ㄒ唬β拾氲继宓娜茸? style=

热阻是由材料导热系数,厚度,面积决定的,一个实际带铜基板的IGBT功率??榈娜茸璺植既缦峦妓?,芯片焊料导热性并不好,导热系数30W/(m·K)左右,但很薄,厚度往往只有0.1mm,所以在功率??橹腥茸柚徽?%。而DCB中的陶瓷导热系数25 W/(m·K),与焊料差得不多,但厚度有0.38mm,几乎是焊接层的4倍,所以热阻占比高达28%。


功率器件热设计基础(一)——功率半导体的热阻

我们在定义模块壳到散热器的热阻时,假设导热硅脂的导热系数是1W/(m·K),厚度为30-100um,在芯片的散热通路中,其占比高达37%,是最大的部分。所以用更好的导热材料缓解散热瓶颈,提高功率密度的重要举措,这为什么英飞凌提供预涂导热材料的???。


功率器件热设计基?。ㄒ唬β拾氲继宓娜茸? style=


实例二:芯片厚度与热阻


同样我们也可以仿真分析一下,芯片厚度对热阻的影响。


为了简化问题,我们用采用扩散焊的单管为例,其结构简单。由于采用扩散焊,热阻主要由芯片和铜框架构成,仿真条件:假设硅芯片的面积5.1mm2 ,硅的芯片厚度分别为350um和110um,芯片损耗 170W。


功率器件热设计基?。ㄒ唬β拾氲继宓娜茸? style=


可以直观地看清硅导热性不是特别好,相同条件下,350um的芯片要比110um芯片温度高15度,原因是芯片的厚度造成的热阻增大。

但器件的耐压与漂移区的长度和电阻率有关,太薄的晶圆意味着更低的耐压,太厚漂移区漂移区电阻也更大,热阻也增加,英飞凌开发IGBT薄晶圆技术就是一种完美的设计。

实例三:SiC碳化硅芯片的热优势

功率开关器件的耐压与其漂移区的长度和电阻率有关,而MOSFET是单极性功率开关器件,其通态电阻又直接决定于漂移区的长度和电阻率,与其制造材料临界击穿电场强度的立方成反比。因为4H-SiC有10倍于Si的临界击穿电场强度,因此基于SiC的功率器件允许使用更薄的漂移区来维持更高的阻断电压,从而显著降低了正向压降以及导通损耗,同时减小热阻。

做一个paper design例子,如果要获得5000V的耐压,使用掺杂为2.5*1013/cm3的衬底材料,Si基功率器件需要漂移层厚度0.5mm,单位面积电阻为10Ωcm2;SiC MOSFET使用掺杂为2.0*1015/cm3的漂移层,需要的厚度仅有0.05mm,单位面积电阻仅为0.02Ωcm2。


功率器件热设计基?。ㄒ唬β拾氲继宓娜茸? style=

同时碳化硅的导热系数是490W/(m·K),所以碳化硅芯片可以实现很高的功率密度,就是说,芯片面积很小,也可以保证芯片的散热。

SiC的禁带宽度3.23ev,相应的本征温度可高达800摄氏度。如果能够突破材料及封装的温度瓶颈,则功率器件的工作温度将会提升到一个全新的高度。

参考资料

《IGBT??椋杭际?、驱动和应用 》机械工业出版社

(作者: 陈子颖,英飞凌工业半导体)


免责声明:本文为转载文章,转载此文目的在于传递更多信息,版权归原作者所有。本文所用视频、图片、文字如涉及作品版权问题,请联系小编进行处理。


推荐阅读:

利用运动唤醒功能优化视觉系统的功耗

艾迈斯欧司朗举办中国发展中心圆桌论坛:贴近本土客户需求 引领智能时代新航向

第104届中国电子展精彩内容抢先看,11月上海与您相约!

下一代汽车微控制器

智能无处不在:安谋科技“周易”NPU开启端侧AI新时代


关闭

?

关闭