桃花源qm花论坛(品茶),凤楼阁论坛官网入口网址,一品楼品凤楼论坛最新动态,风楼阁全国信息2024登录入口

你的位置:首页 > 互连技术 > 正文

二阶运算放大器的低通、带通和高通滤波器设计

发布时间:2024-06-16 责任编辑:lina

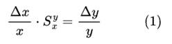
【导读】通常,被动元件值的变化会导致滤波器响应特性发生一些变化。如果这种变化足够小,就会存在一个灵敏度 S,这是一个比例常数,将滤波器参数 y 变化与被动元件 x 的变化联系起来。为了保持 S 无量纲,将被动元件值的分数变化与参数的变化联系起来会很有用。


滤波器中使用的无源元件类型

但与其依靠经验法则,不如先使用标称值无源元件和无高频滚降且谐振频率增益为 1000·4·Q 2或更高的运算放大器来模拟滤波器。然后,降低增益并引入高频滚降,直到看到响应变化。,可以选择具有匹配或更优异特性的运算放大器并将其用于模拟以确认设计。

由于元件公差导致的量化滤波器响应变化

通常,被动元件值的变化会导致滤波器响应特性发生一些变化。如果这种变化足够小,就会存在一个灵敏度 S,这是一个比例常数,将滤波器参数 y 变化与被动元件 x 的变化联系起来。为了保持 S 无量纲,将被动元件值的分数变化与参数的变化联系起来会很有用。从数学上讲,

 二阶运算放大器的低通、带通和高通滤波器设计

当 Δx 趋向于零时求解极限,我们得到:

二阶运算放大器的低通、带通和高通滤波器设计

值得关注的 x 实例是组成滤波器的电阻和电容值。y 实例是定义滤波器参数:通带增益、Q 和 ω 0 = 2π·f 0。以下是如何计算图 1中低通滤波器的各种 S 值的示例。


二阶运算放大器的低通、带通和高通滤波器设计图 1用于计算各种 S 值的示例低通滤波器。


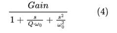
上述滤波器的频域(s平面)传递函数为:

二阶运算放大器的低通、带通和高通滤波器设计

对于这样的部分,这等于:

二阶运算放大器的低通、带通和高通滤波器设计

通过使同类项相等,可以计算出各种参数。但真正需要的是每个 y 参数对完整滤波器设计(涉及其所有无源元件)的总灵敏度。一种方法是使用以下公式:

二阶运算放大器的低通、带通和高通滤波器设计

这是特定 y 对每个 i 组件 x i的灵敏度平方和乘以 x i的容差(百分比),pct_tol xi 的平方根。此表达式可用于比较具有不同组件值集的实现的总体灵敏度。

通用滤波器设计方法

参见图 2,其中显示了用于设计和分析低通滤波器的电子表格LPF.xlsx。其许多特性与高通和带通电子表格中使用的特性相同。


二阶运算放大器的低通、带通和高通滤波器设计图 2低通滤波器电子表格的屏幕截图,其中黄色值由用户输入,橙色单元格是电子表格自动计算的滤波器组件值,底部参数是电子表格所需的中间计算,F 列和 G 列包含灵敏度值?;褂幸桓龊雎?_ρ 的图表,显示用户可以选择的多种可能的组件值。


C 列第 5 行至第 14 行中的黄色值是用户输入的值。这些包括滤波器特性参数 Q、增益和 f 0;以及比率 _ρ = C1/C2(请注意与单元格 C10 相关的注释);C1 和 RG 的值(B 列至 D 列和第 26 行至第 37 行中所示的原理图中元件的参考指示器);以及滤波器中打算使用的电阻器 (r_tol) 和电容器 (c_tol) 的百分比公差。

橙色单元格(B 列和 C 列,第 20 至 24 行)是电子表格根据这些用户输入计算出的过滤组件值。C 列和 D 列,第 43 至 48 行包含电子表格所需的一些中间计算。

F 和 G 列包含与每个组件 x 相关的、和灵敏度。仅列出对总灵敏度参数 S Q、 S Gain和 S ω 0 (也显示在这些列中)具有非零影响的灵敏度。请注意,电子表格计算的每个参数的方程式都出现在参数值的右侧。还有一个忽略 _ρ 的图表,显示用户可以选择的多种可能的组件值。

低通滤波器设计

现在让我们看一下图上的参数 _ρ = _C1 /_C2 和灵敏度 S Q和 S ω 0 的曲线,它们由 _r = _R2/(1/_R1a + 1/_R1b) 参数化,值从 .01 到 100。这些仅取决于 Q、增益和 _r。所有这些都是无量纲的。

_ρ 曲线显示,对于此特定滤波器,小于 4·Q 2 = 4的值没有解。(如果您为 _ρ 输入了这样的值,Excel 将对许多电子表格计算返回 #NUM!错误。)增益灵敏度曲线 S Gain无法以对数刻度显示 - 单元格 G25 显示它等于零。为什么?通带(低频)增益为 1,RF 为零,R1b 为无穷大(电子表格显示它大得离谱),并且没有任何无源元件对增益产生任何影响。(在物理滤波器中,仍然对单位增益配置运算放大器的增益敏感,由于其有限增益带宽积,该增益实际上小于单位增益。因此,这是使用预期运算放大器模拟滤波器设计的原因之一。)有趣的是,对于大于或等于单位增益,组件对 S ω 0的敏感度与 Q、_r、_ρ 和 Gain 无关,仅取决于公差 r_tol 和 c_tol。如果 Gain 为单位增益,则可能受影响的整体敏感度是 S Q,在这种情况下,当 _ρ = 4·Q 2 = 4 时,S Q 被化。

当 _C1 输入 12.0E-9 时,_ρ 的表达式 = 12/2.7 ≈ 4.44 接近 4,从而允许使用标准值电容器??梢钥闯?,对于低通和高通滤波器,不敏感的选择是增益为 1。图 3显示了当增益要求增加哪怕一点点到 1.5 时会发生什么。


二阶运算放大器的低通、带通和高通滤波器设计图 3 的低通滤波器设计,其增益参数从 1 增加到 1.5。


S ω 0保持不变,正如预期,但 S Q现在已经增加了一倍多,S Gain也出现了,尽管这并不令人担忧。的好消息是 _ρ = _C1/_C2 可以降低到 2.2/1,_C1 可以降低到 2.2E-9(图 3 中未显示),对 S Q没有显著影响。不建议大幅增加 Gain,因为这会导致 S Q大幅跳跃,如图4所示。

二阶运算放大器的低通、带通和高通滤波器设计图 4低通滤波器屏幕截图,增益从 1 跳变到 5,导致 SQ 出现大幅跳跃。


与图 3 设计相比,如此大的增益值使 S Q的可获得值增加了6 倍。对于更高的 Q 值和大于 1% 的组件公差,问题会变得更加严重。

低通滤波器设计总结

毫无疑问,使用公差的无源元件可以获得结果。几乎无法影响 S ω 0的值,当增益值大于或等于 1 时,该值保持不变,而当增益较小时,该值仅会小幅下降。幸运的是,它的值相对较小。对于给定的 Q 和 f 0值,不敏感的低通滤波器设计总体上具有 1 增益。在这种情况下,S Gain为零,S Q处于值。1 或更低的增益会使 S Q 保持不变,但会导致 S Gain略高于非常稳定的 S ω 0。真正的问题来自于大于 1 的增益值:即使稍高的值也会导致 S Q显著增加并压倒 S Gain和 S ω 0的贡献,但它们会降低 _ρ 的可用值,对于某些高 Q 情况,这可能是与增加 S Q相比可以接受的权衡。不过,一般来说,避免增益值远大于 1 是明智的,您可以验证通常推荐的增益 = 2 的情况,以允许相等的电容值使 _ρ = 1 产生 S Q的惊人增加。

高通滤波器设计

除了与 R1 和 R2 的处理方式以及 C1 和 C2 的处理方式互换有关的一些差异外,图 5所示的高通滤波器设计和高通滤波器设计电子表格与低通滤波器的设计非常相似。的差异首先是,图形曲线的参数化方式是 _ρ = _C1/_C2(假设值从 .01 到 100),而不是 _r = _R2/_R1。对于低通,_r 的任何值都会产生可实现的结果,而对于高通,_ρ 也是如此。其次,没有与低通滤波器的 R1b/R1a 相对应的 C1b/C1a 分压器 - 只有 _C1。引入电容分压器需要前级来驱动电容负载,从而引起振荡。因此,尽管高通滤波器无法支持小于 1 的增益值,但高通和低通设计显示出明显的相似性。图 4 与图 5 的图表采用相同的 Q、增益和 f 0,进行比较,结果几乎相同(_ρ 和 _r 互换)。


二阶运算放大器的低通、带通和高通滤波器设计图5:高通滤波器屏幕截图,其Q值、增益和f 0要求与图4相同。


高通滤波器设计摘要

“低通滤波器设计摘要”部分中的评论也适用于此,只是没有小于 1 的增益值选项。
带通滤波器设计

虽然高通和低通滤波器中对元件公差不敏感的拓扑结构是 Sallen-Key,但对于带通滤波器来说,它是 Delyannis-Friend(又称多反馈配置)。图 6中可以看到带通滤波器电子表格的屏幕截图。

带通的用户数据输入与低通和高通情况非常相似,只是没有 _RG(因此也没有 _RF)。再次提醒,请注意 D 和 E 列注释中的注释。如果单元格 C6(谐振时的滤波器增益)的背景为红色,则没有可实现的滤波器,应忽略 C 至 G 列中的计算,并且图表将为空白。

在某些情况下,单元格 C6 的背景颜色将为正常的白色,但滤波器将仅对某些较小的 _ρ 值可实现,并且图形的曲线将相应地显示。无论单元格 C10 中的 _ρ 值是多少,曲线都可能不存在,或部分或全部存在。但如果 C10 的背景颜色为红色,则应忽略 C 至 G 列中与 _ρ 相关的计算。图 6 是一个示例,其中滤波器谐振时的增益足够接近可能值 2·Q 2,从而导致高 _ρ 值(大于 30)无法实现。


二阶运算放大器的低通、带通和高通滤波器设计图 6带通滤波器屏幕截图,其中用户输入数据(黄色)与低通和高通滤波器 Excel 表相似。


带通滤波器设计总结

令人惊讶的是,无源灵敏度曲线几乎完全独立于用户指定的谐振滤波器增益。这是因为对于给定的 Q 和 f 0,滤波器增益由 R1a 与 R1b 的比率设置。这些组件的并联组合与滤波器增益无关,滤波器的其余部分除了信号电平外没有区别。(设计人员应该知道,运算放大器很容易在增益过高的情况下在谐振点或附近削波。)令人惊讶的是,灵敏度与 Q 无关。但是,Q 越高,运算放大器开环增益就必须越高,以提供足够的裕度来准确实现所需的运算放大器闭环增益。强烈建议使用为其设计的运算放大器或具有类似增益特性的运算放大器来模拟滤波器设计。

仅从灵敏度曲线来看,可以得出结论,选择是 _ρ 为 1 或更小。_ρ = 1 具有比率 _r = R2 / (R1a || R1b) 的优势。但请考虑谐振时运算放大器的增益:_ρ 值越高,所需的增益越小,对运算放大器开环增益要求的负担越小,从而提供足够的裕度来满足闭环增益要求。

更高的 _ρ 值只会使压倒性的 S增益增加一点点。显然,当考虑对运算放大器闭环增益的要求时,_ρ 值小于 1 会带来相当大的不利影响。也许的选择是 _ρ = 1。匹配的电容器可以是任何标准值,S增益接近其值,_r 为其值,运算放大器闭环(因此也是开环)增益要求只会略有增加。

灵活的无源元件值

本文及其附带的电子表格帮助您了解通带增益、Q 值和谐振频率对几乎无限的无源元件组合的敏感性,这些无源元件可构成低通、带通和高通单运算放大器滤波器。本文还提供了使用现成电容值来实现设计的能力。希望滤波器设计人员会发现这些是一套有用的工具,其功能在其他地方是找不到的。


免责声明:本文为转载文章,转载此文目的在于传递更多信息,版权归原作者所有。本文所用视频、图片、文字如涉及作品版权问题,请联系小编进行处理。


推荐阅读:

SpectrumView跨域分析加速EMI诊断

大联大汽车技术应用路演重庆场圆满落幕

采用创新的FPGA 器件来实现更经济且更高能效的大模型推理解决方案

揭秘热设计集成电路设计的关键密码

西部电博会助力电子元器件逐渐从市场的“配角”转变为“主角

特别推荐
技术文章更多>>
技术白皮书下载更多>>
热门搜索

关闭

?

关闭