【导读】值得一提的是,实际上,变压器输出不是理想的差分信号——两个输出之间可能存在相位和/或幅度不平衡。这些不平衡会增加二次谐波失真??梢钥闯?,二次谐波幅度受相位不平衡的影响比幅度不平衡的影响更严重。
通过差分信号驱动对称结构通常是抑制二次谐波的基本技术。让我们看看这个技术是如何工作的。
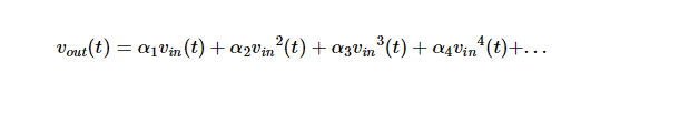
假设我们的非线性电路是无记忆的(即任何时刻的输出仅取决于同时的输入)。我们可以使用以下等式来近似非线性输入输出特性:

其中
分别是电路输入和输出信号。
在此等式中,系数
指定电路的线性增益,而
则表征二次谐波失真。为了分析二次谐波,我们可以忽略高阶失真系数
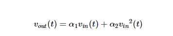
并得到简化的方程:

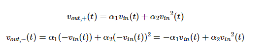
如果我们采用该电路的两个副本,一个由输入
激发,另一个由
激发,我们将获得以下输出:

减去这两个输出,我们有:
_20230706012711_916.jpg)
当各个电路产生二次谐波时,差分输出可以理想地抑制失真分量。这是差分操作的一个非常重要的特性,并解释了为什么由差分信号驱动的差分电路不产生偶次谐波。
实际上,差分电路可能无法完全抑制偶次谐波。然而,与奇次谐波相比,差分结构的偶次谐波通常可以忽略不计。
示例:差分 ADC 接口可以减少二次谐波
下图显示了一个示例应用,其中使用两个单端信号路径创建与 ADS5500(TI的 14 位、125MSPS 模数转换器)的差分接口。

图 1,图片由TI提供。
变压器将单端输入转换为差分信号。经过变压器后,两条信号路径完全相同。
值得一提的是,实际上,变压器输出不是理想的差分信号——两个输出之间可能存在相位和/或幅度不平衡。这些不平衡会增加二次谐波失真??梢钥闯觯涡巢ǚ仁芟辔徊黄胶獾挠跋毂确炔黄胶獾挠跋旄现?。
免责声明:本文为转载文章,转载此文目的在于传递更多信息,版权归原作者所有。本文所用视频、图片、文字如涉及作品版权问题,请联系小编进行处理。
推荐阅读:




