【导读】当电源驱动大容性负载时,浪涌电流如果不加以限制,对于高压电源来说可以达到几十或几百安培。一般来说,电源的额定值可能会瞬态超过许多倍,但当瞬态持续几个交流线路周期时,这通常是可以接受的。这对于高达几百微法的负载电容是典型的,但对于数千微法的负载电容,浪涌电流限制器是必须的。
此设计理念提供了一种简单、经过验证、可靠且稳健的方法来为大型电容器组充电,使用串联连接的功率 MOSFET 将击穿电压提高到高于单个 MOSFET 的击穿电压。
当电源驱动大容性负载时,浪涌电流如果不加以限制,对于高压电源来说可以达到几十或几百安培。一般来说,电源的额定值可能会瞬态超过许多倍,但当瞬态持续几个交流线路周期时,这通常是可以接受的。这对于高达几百微法的负载电容是典型的,但对于数千微法的负载电容,浪涌电流限制器是必须的。
使用MOSFET作为压控电流元件非常适合电容充电电路设计??悸且幌拢喝绻幌钊挝裰付ù?240V 的整流交流电源为电容器组充电 1A,则具有单个 P-MOSFET 的设计将要求在通电时,MOSFET 在其漏源电压 |V 时通过 1A DS | 约为330V,超出了大部分零件的安全工作区。例如,IXTQ10P50P 在结温 150°C 时可以处理 200 mA 的电流 |V DS | = 250V,但在 |V DS |时超过 2A < 100 伏??梢酝ü佣喔?P-MOSFET 来克服此限制。

图1
图 1 显示了一个包含三个串联的 P-MOSFET 的设计。忽略 R1 上的压降,输入电压与 Q2 源极的电位大致相同。然后,Q2 的栅极电位等于输入电压减去齐纳二极管 D1 上的 6.2V,加上电阻器 R3 上的任何压降。电阻器 R5、R6 和 R7 作为分压器确保 |V DS | 每个 P-MOSFET 的电压近似相等——约为输入和输出电压差的 1/3。由于 Q2 的栅极电势比输入电压低约 5V,因此特意选择 R5 使其具有比 R6 和 R7 稍高的电阻。此校正均衡 |V DS | 电压甚至高于电阻 R5、R6 和 R7 相等时的电压。R4 确保在电源开启/关闭时,Q2 关闭。
上电时,D1在Q2的源极和栅极之间提供6.2V电压,|V GS2 |;因此Q2是导电的。Q3 和 Q4 也导通,因为通过 R5-R7 的电流为其栅源电容充电。电容器组充电电流由 R1 检测,并由 R1、Q1、R3 和 Q2 组成的负反馈控制进行调节。当 Q1 的发射极和基极之间的电压达到 V BE(on) 时——即充电电流约为 1A 时——Q1 开始导通。作为 |V GS2 | = 6.2 – R3 × I C(Q1) , I C(Q1)的任何增加 都会降低 |V GS2|。这会降低输出电流,进而降低 R1 两端的电压,从而完成负反馈环路。

图 2
图 2 显示了当电容器组从 0V 充电到 300V 时,40,000μF 电容器组两端的电压随时间的变化(对于两种不同的情况),使用和不使用 C1。在没有 C1 的情况下,电容器组在每个整流半周期内仅部分充电——也就是说,当输入电压高于输出电压加上所有三个 MOSFET 上约 15V 的压降时。因此,曲线的斜率不是恒定的。
添加 C1 可让充电电路以更恒定的输入电压工作。
C1 的计算
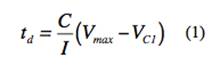
C1 以 dV/dt = I/C = 10V/ms 的速率放电。这几乎比输入电压从 330V 到 0V 的正弦变化慢一个数量级,后者对于 120Hz 半周期持续 4.17ms。因此,从输入电压达到值的那一刻起,电容器组仅从 C1 电容器充电,直到输入电压在 120Hz 周期的下一个上升斜坡上超过 C1 电压。C1以1A恒流放电,放电时间间隔t d 表示为:

对于这个时间间隔,输入电压从 330V 变为 0V 并高达 V C1:

求解 V C1的这两个方程 表明 C1 放电至约 265V。由于三个 MOSFET 两端的电压降约为 15 V,因此在 250 V 以上时,电容器组两端的电压不会线性增加。这解释了图 2中线性虚线的变化。
该电路是一个复杂设备的一部分:我们为研究定制的除颤器 [1]。在过去两年中,它已被证明可以可靠地工作数百个周期和数百小时,并且电容器组进行了多次快速放电。该电路在高达 280 V RMS的输入电压下进行了测试 ,并在高达 70°C 的散热器温度下可靠工作。此设计理念不限于此处指定的输入电压和电流。增加更多的串联 P-MOSFET 可以提高输入电压和充电电流。缺点是每个 P-MOSFET 上的压降约为 5V。大于 100μF 的 C1 电容将使充电曲线在更高电压下线性化,或者当然可以使用直流输入。
免责声明:本文为转载文章,转载此文目的在于传递更多信息,版权归原作者所有。本文所用视频、图片、文字如涉及作品版权问题,请联系小编进行处理。
推荐阅读:







