【导读】近几十年以来,电气传感器一直作为测量物理与机械现象的标准设备发挥着它的作用。尽管它们在测试测量中无处不在,但作为电气化的设备,他们有着与生俱来的缺陷,例如信号传输过程中的损耗,容易受电磁噪声的干扰等等。这些缺陷会造成在一些特殊的应用场合中,电气传感器的使用变得相当具有挑战性,甚至完全不适用。光纤光学传感器就是针对这些应用挑战极好的解决方法,使用光束代替电流,而使用标准光纤代替铜线作为传输介质。
近几十年以来,电气传感器一直作为测量物理与机械现象的标准设备发挥着它的作用。尽管它们在测试测量中无处不在,但作为电气化的设备,他们有着与生俱来的缺陷,例如信号传输过程中的损耗,容易受电磁噪声的干扰等等。这些缺陷会造成在一些特殊的应用场合中,电气传感器的使用变得相当具有挑战性,甚至完全不适用。光纤光学传感器就是针对这些应用挑战极好的解决方法,使用光束代替电流,而使用标准光纤代替铜线作为传输介质。
在过去的二十年中,光电子学的发展以及光纤通信行业中大量的革新极大地降低了光学器件的价格,提高了质量。通过调整光学器件行业的经济规模,光纤传感器和光纤仪器已经从实验室试验研究阶段扩展到了现场实际应用场合,比如建筑结构健康监测应用等。
光纤传感器简介
从基本原理来看,光纤传感器会根据所测试的外部环境参数的变化来改变其传播的光波的一个或几个属性,比如强度、相位、偏振状态以及频率等。非固有型 (混合型) 光纤传感器仅仅将光纤作为光波在设备与传感元件之间的传输介质,而固有型光纤传感器则将光纤本身作为传感元件使用。
光纤传感技术的核心是光纤–一条纤细的玻璃线,光波能够在其中心进行传播。光纤主要由三个部分组成:纤芯(core),包层(cladding)和?;げ悖╞uffer coating)。其中包层能够将纤芯发出的杂散光波反射回纤芯中,以保证光波在纤芯中具有最低的传输损耗。这个功能的实现原理是纤芯的光折射率比包层的折射率高,这样光波从纤芯传播到包层的时候会发生全内反射。最外面的?;げ闾峁┍;ぷ饔?,避免外界环境或外力对光纤造成损坏。而且可以根据需要要强度和?;こ绦虻牟煌?,使用多层?;げ?。
图1. 典型光纤的横截面图
光纤布拉格光栅(FBS)传感器
光纤布拉格光栅传感器是一种使用频率最高,范围最广的光纤传感器,这种传感器能根据环境温度以及/或者应变的变化来改变其反射的光波的波长。光纤布拉格光栅是通过全息干涉法或者相位掩膜法来将一小段光敏感的光纤暴露在一个光强周期分布的光波下面。这样光纤的光折射率就会根据其被照射的光波强度而永久改变。这种方法造成的光折射率的周期性变化就叫做光纤布拉格光栅。
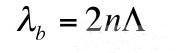
当一束广谱的光束被传播到光纤布拉格光栅的时候,光折射率被改变以后的每一小段光纤就只会反射一种特定波长的光波,这个波长称为布拉格波长,如下面的方程 (1) 中所示。这种特性就使光纤布拉格光栅只反射一种特定波长的光波,而其它波长的光波都会被传播。
在方程 (1)中,λb 是布拉格波长,n 是光纤纤芯的有效折射率,而 Λ 是光栅之间的间隔长度,称为光栅周期。
图2. 光纤布拉格光栅传感器的工作原理
因为布拉格波长是光栅之间的间隔长度的函数(方程 (1) 中的Λ),所以光纤布拉格光栅可以被生产为具有不同的布拉格波长,这样就能够使用不同的光纤布拉格光栅来反射特定波长的光波。
图3. 光纤布拉格光栅透视图
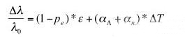
应变以及温度的改变会同时影响光纤布拉格光栅有效的光折射率 n 以及光栅周期Λ ,造成的结果就是光栅反射光波波长的改变。光纤布拉格光栅反射波长随应变和温度的变化可以近似地用方程 (2) 中的关系来表示:
其中 Δλ 是反射波长的变化而 λo 为初始的反射波长。
右边加号前的第一个表示式表示的是应变的变化对反射波长的影响。其中 pe 是应变光学灵敏系数,而 ε 是光栅所受到应变影响。加号后面的第二个表达式表示的是温度的变化对波长造成的影响。其中 αΛ 是热膨胀系数而 αn 是温度光学灵敏系数。αn 体现了光折射率因为温度变化造成的影响而 αΛ 体现了同样的温度变化造成的光栅周期的改变。
正因为光纤布拉格光栅会同时受到应变和温度变化的影响,所以在计算反射波长变化的时候既要同时考虑这两种因素,又要分别对其进行分析。当进行温度测量的时候,光纤布拉格光栅必须保持在完全不受应变影响的条件下。你可以使用为此专门进行封装的FBG温度传感器,这种传感器能保证封装内部光纤布拉格光栅的属性不会耦合于任何外部的弯曲,拉伸,挤压或扭曲应变。在这种情况下,玻璃的热膨胀系数 αΛ 通常在实用中是可以忽略的;所以,因温度变化而造成的反射波长的改变就可以主要由该光纤的温度光学灵敏系数 αn 来决定了。
光纤布拉格光栅应变传感器在某种程序上讲就更加复杂了,因为温度和应变会同时影响传感器的反射波长。为了正确地进行的测量,在测试的时候,必须针对温度对光纤布拉格光栅造成的影响进行补偿。为了实现这种补偿,可以使用一个与FBG应变传感器有良好热接触的FBG温度传感器来完成。得到测试结果以后,只需要简单地从FBG应变传感器测得的波长改变中减去由FBG温度传感器测得的波长改变就可以从方程 (2) 中消去加号右边的第二个表达式,这样做就补偿了应变测试中温度变化造成的影响了。
安装光纤布拉格光栅应变传感器的过程和安装传统的电气应变传感器的过程类似,而且FBG应变传感器有许多种不同的种类和安装方法可供选择,包含环氧树脂型,可焊接型, 螺栓固定型和嵌入式型。
探询方法
由于光纤布拉格光栅可以被植入不同的特定反射波长,所以可以利用它来实现良好的波分复用 (WDM) 技术。这个特性使得可以在一条长距离的独立光纤上,以菊花链的形式连接多个不同的拥有特定布拉格波长的传感器。波分复用技术在可用的光学广谱中为每一个FBG传感器分配了一个特定的波长范围供其使用。由于光纤布拉格光栅固有的波长特性,就算在传输过程中由于光纤介质的弯曲和传输造成了光强的损耗和衰减,传感器测得的结果也仍然能够保持准确。
每一个独立的光纤布拉格光栅传感器的工作波长范围和波长探询器可探询的总波长范围决定了在一条单独的光纤上可以挂接的传感器的数量。一般来说,因为应变改变造成的波长改变会比温度改变造成的波长改变更加明显,所以一般会为FBG应变传感器分配大概5纳米的工作波长范围,而FBG温度传感器则分配大概1纳米的工作波长范围。又因为通常的波长探询器能提供的测试范围大概为60到80纳米,所以一条光纤上挂接的传感器数量一般可以从1个到80个不等 – 当然,这要建立在各个传感器反射波长的区域在光谱范围内不会有重叠 (图 4) 的基础上的。因此,在选择FBG传感器的时候,需要仔细地选择标称波长以及工作波长范围来保证每一个传感器都有其独立的工作波长区域。
图4. 同一条光纤上挂接的每一个FBG传感器必须具有其独立的工作波长范围
一般的FBG传感器会拥有几个纳米的工作波长范围,所以光学探询器必须能够完成分辨率为几个皮米甚至更小的测量 – 一个相当小的量级。探询FBG光栅传感器可以有几种方法。干涉计是通常运用的实验室设备,它可以提供相当高分辨率的光谱分析。但是,这些仪器一般来说非常昂贵,体积庞大并且不够坚固,所以在一些涉及各种结构的现场监测的应用中,如风机叶片,桥梁,水管以及大坝等环境的监测中,这些仪器都不适用。
一种更加坚固的方法是引入了电荷耦合器件 (charge-coupled device - CCD) 以及固定的分散性单元,一般是指波长位置转换。
在这种方法中,会用一个广谱的光源照射FBG传感器 (或者一系列FBG传感器)。这些反射光束会通过一个分散性单元,分散性单元会将波长不同的反射光束分别分配到电荷耦合器件(CCD)表面不同的位置上去。如下图5所示。
图5. 使用波长位置转换法探询FBG光学传感器
这种方法可以快速并且同时地对挂接在光纤上的所有FBG传感器进行测量,但是它只提供了非常有限的分辨率以及信噪比 (SNR)。举例来说,如果我们希望在80纳米的波长范围中实现1皮米的分辨率,那么我们需要一个包含80,000个像素点的线性CCD器件,这个像素指标已经比目前在市面上能够找到的最好的线性CCD器件 (截至2010年7月) 的指标高出了10倍以上。另外,因为广谱光源的能量是被分散到一个很广的波长范围中,所以FBG反射光束的能量会非常小,有时候甚至会给测量带来困难。
目前最流行的方法是利用一个可调法珀滤波器来创造一束具有高能量,并且能够快速扫频的激光源来代替传统的广谱的光源??傻鞯募す庠唇芰考性谝桓龊苷牟ǔし段Ю锩妫峁┝艘桓鼍哂泻芨咝旁氡鹊母吣芰康墓庠?。这种体系结构提供的高光学功率让使用一条光纤挂载多个光学通道成为可能,这样就能有效地减少多通道探询器的成本并且降低系统的复杂度。基于这种可调激光架构的探询器可以在一个相对大的波长范围里面以很窄的光谱带进行扫描,另一方面,一台光探测器将与这个扫描同步,测量从FBG传感器反射回来的激光束。当可调激光器发射的激光波长与FBG传感器的布拉格波长吻合的时候,光探测器就能测量到相应的响应。该响应发生的时候可调激光的波长就对应了此时FBG传感器处测得的温度以及/或者应变,如图 6所示。
图6. 用可调激光源法探询FBG光学传感器
使用这种方法进行探询可以达到大概1皮米的精度,对应到传统FBG传感器的精度即是约1.2微应变(FBG应变传感器)或约0.1摄氏度(FBG温度传感器)。因为可调激光源法相对于其它的方法来说具有很高的光学功率,所以这种探询法还可以适用于光纤长度更大 (超过10千米) 的测量应用中。
FBG光学传感器的优势
通过使用光波代替电流以及使用标准光纤代替铜线作为传输介质,FBG光学传感解决了许多使用电气传感需要面临的挑战和解决的困难。光纤和FBG光学传感器都是绝缘体,具有被动性电学特性,并且不受电磁感应噪声的影响。具有高光学功率可调激光源的探询器可以以很低的数据丢失率甚至是零丢失来完成长距离的测量。同时,与电气传感器系统不同,一个光学通道可以同时完成多个FBG传感器的测试,极大地减小了测试系统的体积,重量以及复杂度。
在一些外部环境条件恶劣的应用现场中,一些常用的电气传感器,例如箔应变片,热电偶,以及振弦式传感器已经很难使用甚至已经失效的情况下,光学传感器是一个非常理想的解决办法。因为光学传感器的用途以及安装方法和这些传统的电气传感器类似,所以从电气测试方案过渡到光学测试方案会相对简单。如果能够对光纤和FBG的工作原理有一个比较好的了解,那将帮助你更好地接受光学测试技术并驾驭这种新技术所带来的所有优势。
免责声明:本文为转载文章,转载此文目的在于传递更多信息,版权归原作者所有。本文所用视频、图片、文字如涉及作品版权问题,请联系小编进行处理。
推荐阅读:
2023第15届中国(南京)国际动力及储能电池与供应链博览会





