【导读】在之前的交流跨阻放大器的讨论提供了对电路噪声增益和稳定性的理解。在第 4 部分中,我们将深入探讨噪声增益传递函数的推导。
在之前的交流跨阻放大器的讨论提供了对电路噪声增益和稳定性的理解。在第 4 部分中,我们将深入探讨噪声增益传递函数的推导。
TIA 的噪声增益
让我们首先添加一个放大器噪声源V。n,到跨阻放大器的整体情况。跨阻放大器电路图(图1)中显示的元件为我们提供了关键频率分量的评估。对于稳定性分析,输入信号源为噪声电压,Vn.放大器噪声源的型号(Vn) 放置在放大器输入端。

图1.跨阻放大器的完整电路图包括寄生电容、电阻和放大器噪声源(Vn)。
将一切整合在一起
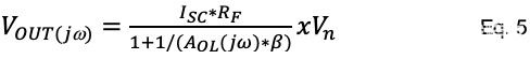
评估任何放大器电路中的噪声增益响应都应包括查看放大器同相输入到放大器输出引脚的信号增益。完整跨阻电路的噪声增益传递函数为:

哪里:
一个老(JW) 是放大器在整个频率范围内的开环增益。
β是等于 1/(1 + Z 的系统反馈因子在 / ZF)。
确定 1/β传递函数
如果假设放大器的开环增益A老(jw)为无穷大,图1所示放大器的噪声增益传递函数等于公式1:

其中 (s) à (jw)
ZFB(JW) 是复数反馈阻抗
Z在(JW) 是复数输入阻抗
这种简化使 1/β 一级传递函数计算,其中:

反馈元件与Z组合非常方便FB(s) 并且输入元素与 Z 组合在让我们把它组合成一个形式,我们可以识别TIA电路中的极点和零点。
为了将该噪声增益方程(公式1)简化为极点和零点格式,我们的传递函数现在已准备好波特图,具有一个极点和一个零点(公式4)。

波特 TIA 噪声图
确定稳定性的一个很好的工具是波特图。在这一点上,让我们讨论一些基本的模拟设计指南??翁媒淌岣嫠吣?,稳定的相位裕量大于 0°。不对。在现场,您最好以 45° 或更高的相位裕量进行设计。如果将阶跃信号驱动到PCB上的电路中,正相位裕量接近0°,则电路将振荡失控。这种不稳定性来自PCB布局中意外的元件寄生效应或未表征的电容。以45°相位裕量进入模拟电路的相同阶跃信号将在输入阶跃信号上方产生约30%的过冲。您还将产生一个最终会稳定下来的阻尼信号。
此设计的适当波特图包括放大器的开环增益和1/β曲线。决定噪声增益(1/β)频率响应的系统元件是光电二极管寄生效应和运算放大器的输入电容(Z在)以及放大器反馈回路中的元件(RF, C射频和 CF) (图2)。

图2.闭环增益(1/β)和放大器开环增益(A老) 为 20dB/十倍频程。
图2中需要注意重要的1/β曲线增益值和频率。1/β曲线 DC 值等于 1 + RF, 1D.在这个比率中,RF是TIA的反馈电阻,通常在10kW至10MW的范围内。
On the other hand, RD是光电二极管寄生电阻。该寄生电阻代表零偏置p-n光电二极管结。光电二极管的材料(及其光学范围)是硅(190nm - 1100nm),锗(400nm -1700nm),砷化铟镓(800nm - 2600nm),硫化铅(《1000nm - 3500nm)或碲化镉汞(400nm - 14000nm)。光电二极管的寄生分流电阻范围从几十到几千兆欧。
将这两个电阻放在一起,RF/RD,通常等于接近零,使 TIA 直流增益等于 1V/V。
第二个重要的1/β增益是当曲线在较高频率下再次变得平坦时。该区域的增益等于 (1 + (C帕金森 +C放大器)/(CF + C射频))。请注意,高频增益具有分子中输入电容的总和和分母中输出电容的总和。
第三个重要的1/β增益曲线的特性是频率转折点fZ和 fP.转角频率的以下公式 (fZ,公式6)和极点(fP,等式7)为:

图 2 图中最后一个有趣的部分是 1/β 曲线与 A 相交的地方老(JW) 曲线。两条曲线之间的闭合速率通常表示TIA电路的相位裕量值。
如果两条曲线之间的闭合速率为20dB,则TIA电路是稳定的,这意味着相位裕量大于45°。如果 1/β 曲线在极点频率处与 AOL 曲线相交 (fP),电路相位裕量为45°。如果闭合速率大于20dB,则电路不稳定。这将产生小于 45° 的相位裕量?;竦靡话阆辔辉A亢?,您可以估计电路是否稳定。
有三种方法可以纠正电路的不稳定性:1)增加反馈电容,CF价值;2)改变放大器具有更高的单位增益带宽;3)使用具有不同输入电容的不同光电探测器。
但是,让我们切入上面讨论的简单解决方案。等式 8 显示了一个保守计算,该计算模拟巴特沃思响应,其 65o相位裕量和 5% 阶跃响应过冲。
CF= 2* p ((C帕金森 + C放大 器) /(2 p RF f英镑)) - C射频等式 8
其中 f英镑是单位增益稳定放大器的增益带宽乘积
公式8不仅可以改变放大器带宽/输入电容,还可以改变反馈电阻值。
结论
我们展示了一种完成TIA设计的方法,并展示了一种选择TIA反馈电容(CF)。正如您从公式 8 中猜测的那样,有两个变量需要进一步定义 àRF, f英镑。加入我们的第 5 部分,我们将熟悉光电二极管,了解您的应用如何帮助定义光电二极管输出范围,从而确定反馈电阻的值和放大器选择。
免责声明:本文为转载文章,转载此文目的在于传递更多信息,版权归原作者所有。本文所用视频、图片、文字如涉及作品版权问题,请联系小编进行处理。
推荐阅读:




