桃花源qm花论坛(品茶),凤楼阁论坛官网入口网址,一品楼品凤楼论坛最新动态,风楼阁全国信息2024登录入口

你的位置:首页 > 互连技术 > 正文

锁相环中的鉴相器了解不?

发布时间:2022-10-24 责任编辑:lina

【导读】前几天,看到一个比喻,说锁相环是一个电路的心脏,没有它,整个电路都工作不了了。想想也是,没有锁相环,混频器没法变频,ADC没法采样,确实很重要。实际的PLL电路肯定相当复杂,不过,可以从简单的看起。


前几天,看到一个比喻,说锁相环是一个电路的心脏,没有它,整个电路都工作不了了。


想想也是,没有锁相环,混频器没法变频,ADC没法采样,确实很重要。


实际的PLL电路肯定相当复杂,不过,可以从简单的看起。


一个最最简单的PLL,有三部分组成,VCO,鉴相器(PD)和低通滤波器。


这篇文章呢,就先讲讲鉴相器的原理。


鉴相器(Phase Detector/PD)

 

鉴相器,英文名为Phase Detector,简称PD。


Phase Detector直译过来为相位检测器,读上去好像比鉴相器通俗一点哦。


相位检测器,就如其字面意思,就是检测相位用的。不过呢,它是对两个信号的相位差做出反应。也就是说,它不管你相位的绝对值,它是比较两个相位的相对值。


相位检测器的输出呢,一般是一个电压,而且这个电压与相位差呈线性关系。如下图所示。


它的主要工作时用来测量两个信号之间的相位差,然后输出一个参量,比如说电压。而这个电压与相位差呈线性关系。


 锁相环中的鉴相器了解不?


如果V1(t)和V2(t)的频率不相等的话,两者的相位差则会随时间发生变化。如下图所示。


锁相环中的鉴相器了解不?


PD怎么实现呢?


那上述的功能怎么用电路实现出来呢?


异或门


或许你想不到,一个简单的异或门(XOR)就可以实现上面的功能。当然,实际电路可能比这个复杂,这个等我了解到了,再谈。


目前,先从原理层面上看看。


异或门的真值表如下:


锁相环中的鉴相器了解不?


换成文字描述就是:当两个输入相同时,输出为0;当两个输入不同时,输出为1.


异或门当做PD来使用时,其工作原理如下图所示。


锁相环中的鉴相器了解不?


如上图所示,两个方波信号V1和V2,而V2的相位比V1滞后,即V2的变化沿要比V1的来的晚一点。


在一个周期内,V1和V2会有一段时间,电平不一致。


当V1和V2经过异或门时,两者电平不同时,异或门输出高;当两者电平相同时,异或门输出低。这样,异或门就将V1和V2的相位差,与电压输出连接起来了。


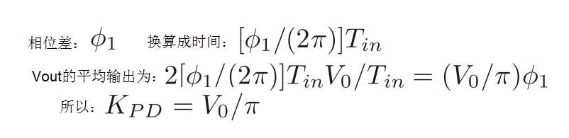
输出Vout是一系列的脉冲信号,因为上升沿处要高一次,下降沿处要高一次,所以该脉冲信号的频率是输入信号的2倍。


脉冲宽度与信号之间相位差的大小成正比关系,也就是说,相位差大,脉冲宽;相位差小,脉冲窄。


脉冲信号的平均值如下图所示,与相位差线性相关。


 锁相环中的鉴相器了解不?


当V1和V2相差180度时,这时Vout的输出恒定为1, 此时Vout的平均值最大。


 锁相环中的鉴相器了解不?


当V1和V2的相位差超过180度时,Vout的平均值开始线性下降。


因此,当XOR作为PD时,其输入输出的特性曲线如下图所示。


 锁相环中的鉴相器了解不?


另外,模拟乘法器(或者混频器),也可当成PD来使用。想不到吧?


锁相环中的鉴相器了解不?


其输入输出特性曲线如下图所示。


锁相环中的鉴相器了解不?


参考文献:


Razavi, Design of CMOS Phase-Locked Loops


PS:给自己打个气,再接再厉,唐僧都取到西经了,总归会做好的。

(文章来源:与非网)


免责声明:本文为转载文章,转载此文目的在于传递更多信息,版权归原作者所有。本文所用视频、图片、文字如涉及作品版权问题,请联系小编进行处理。


推荐阅读:

涨知识了!MEMS也可以用来监测地震

24GHz雷达传感器如何改变智能家居的未来

基于COM-HPC技术满足边缘计算需求高峰

贸泽推出丰富的开发套件与工程工具资源,助你快速上手产品设计

满足高功率应用与高效电池隔离需求的解决方案


特别推荐
技术文章更多>>
技术白皮书下载更多>>
热门搜索

关闭

?

关闭