桃花源qm花论坛(品茶),凤楼阁论坛官网入口网址,一品楼品凤楼论坛最新动态,风楼阁全国信息2024登录入口

你的位置:首页 > 互连技术 > 正文

压电陶瓷的谐振频率、阶跃时间及动态力

发布时间:2021-03-10 责任编辑:lina

【导读】压电陶瓷是振荡的机械系统,特征可由谐振频率fres来表述。谐振频率是由陶瓷的刚度和质量分布(有效的运动质量)决定的。某司陶瓷(非单层)的谐振频率最高可达100kHz。
    
1. 谐振频率
 
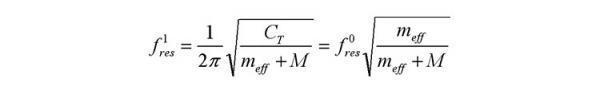
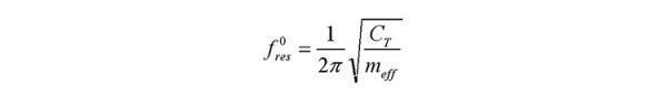
压电陶瓷是振荡的机械系统,特征可由谐振频率fres来表述。谐振频率是由陶瓷的刚度和质量分布(有效的运动质量)决定的。某司陶瓷(非单层)的谐振频率最高可达100kHz。压电陶瓷的谐振频率反映的是陶瓷的响应时间,不能作为陶瓷的使用频率。谐振频率通常是在两端不固定且在很小的电压驱动信号下测得的,谐振频率可以通过下面公式计算得出:
 
 
 压电陶瓷的谐振频率、阶跃时间及动态力
(1.1)
 
meff:压电陶瓷的有效质量  
CT:压电陶瓷的刚度
 
加载一个质量为M负载到陶瓷,此系统的谐振频率可以用下式表示:
 
 压电陶瓷的谐振频率、阶跃时间及动态力
(1.2)
 
这就是为什么加载之后的谐振频率与陶瓷本身的谐振频率有很大的偏差,这个是一个很重要的因素。
 
如果陶瓷在谐振频率点工作,那么振幅会比非谐振点高很多。
 
当接近谐振点工作的时候,即使给陶瓷非常低的电压也能达到非谐振情况下,超过最大电压下的位移。
 
但是我们建议陶瓷的使用频率要小于谐振频率的三分之一,同时还需要考虑动态过程中陶瓷的发热情况,从而减小陶瓷损坏、延长使用寿命。
 
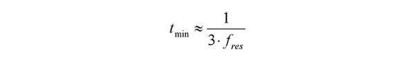
2. 阶跃时间
 
由于压电陶瓷的谐振频率很高,压电陶瓷可以随着驱动电压的变化而快速的伸缩。目前已经广泛的应用到阀门和快门技术中。压电陶瓷的最快响应时间即压电陶瓷的伸长时间取决于压电陶瓷的谐振频率,一般为压电陶瓷谐振时间的1/3。
 
 压电陶瓷的谐振频率、阶跃时间及动态力
(2.1)
 
当给陶瓷施加一个短的电脉冲,陶瓷在其阶跃时间tmin内伸长。同时共振频率将被激发,陶瓷在其伸长位置的附近做阻尼振荡。更短的电脉冲只能使振幅更高,但不能缩短阶跃时间。下图显示了一个压电陶瓷在短脉冲电信号激励下,陶瓷的上升时间为600us,谐振频率为560Hz。
 
 压电陶瓷的谐振频率、阶跃时间及动态力
 
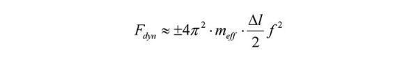
3. 动态力
在动态应用中,压电陶瓷的推力和拉力是同时存在的,推力远远大于拉力,也就是说压电陶瓷的抗压强度是非常高的,而拉力则对其影响很大。当压电陶瓷在动态应用时,两种力交替出现。即使没有外部负载,依然要考虑动态力。因此在动态应用中需要选择有预载力的陶瓷。
 
压电陶瓷正弦信号使用时,动态力估算公式为:
 
 压电陶瓷的谐振频率、阶跃时间及动态力
(3.1)
 
Fdyn:动态出力    
f:使用频率
?l/2:振荡的幅度(?l -陶瓷满行程)
Meff::有效质量
有效质量meff等于陶瓷本身质量的1/3加上负载的质量。
 
压电陶瓷的谐振频率、阶跃时间及动态力
 
免责声明:本文为转载文章,转载此文目的在于传递更多信息,版权归原作者所有。本文所用视频、图片、文字如涉及作品版权问题,请电话或者邮箱联系小编进行侵删。
 
 
 
推荐阅读:
开关电源布局和印制板布线原则
利用UHF 局部放电检测技术监控电网的高速采集方案
CITE2021看点揭秘,看看这些引领时代的科技创新(上)
芯象:物联网通信,创新中国芯
深爱半导体:扎根技术开拓进取
要采购开关么,点这里了解一下价格!
特别推荐
技术文章更多>>
技术白皮书下载更多>>
热门搜索

关闭

?

关闭