桃花源qm花论坛(品茶),凤楼阁论坛官网入口网址,一品楼品凤楼论坛最新动态,风楼阁全国信息2024登录入口

你的位置:首页 > 互连技术 > 正文

到底该不该使用rms功率呢?看了这篇就明白了~

发布时间:2020-06-22 来源:亚德诺半导体 责任编辑:lina

【导读】是否应该使用均方根(rms)功率单位来详细说明或描述与我的信号、系统或器件相关的交流功率?这取决于您如何定义rms功率。如果您不想计算交流功率波形的rms值,那么得出的结果可能没有实际意义。如果您需要使用电压和/或电流的rms值来计算平均功率,那么就会得出有意义的结果。
  
Q:是否应该使用均方根(rms)功率单位来详细说明或描述与我的信号、系统或器件相关的交流功率?
A:这取决于您如何定义rms功率。如果您不想计算交流功率波形的rms值,那么得出的结果可能没有实际意义。
如果您需要使用电压和/或电流的rms值来计算平均功率,那么就会得出有意义的结果。
 
在1 Ω电阻上施加1 V rms正弦电压时,会消耗多少功率?
 
到底该不该使用rms功率呢?看了这篇就明白了~
 
这个问题的答案很明确[1],大家对此没有任何异议。
 
现在,我们将这个值与rms功率计算值比较看看。
 
图1所示为1 V rms正弦曲线图。峰峰值为1 V rms × 2 √2 = 2.828 V,摆幅为+1.414 V至–1.414 V。[2]
 
到底该不该使用rms功率呢?看了这篇就明白了~
图1.1 V rms正弦曲线图。
 
图2所示为1 V rms正弦电压施加于1 Ω电阻(P = V2/R)时的消耗功率曲线图,其中显示:
 
到底该不该使用rms功率呢?看了这篇就明白了~
图2.1 V rms正弦电压施加于1 Ω电阻时的消耗功率曲线图。
 
●该瞬时功率曲线的偏移为1 W,摆幅为0 W至2 W。
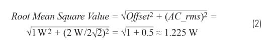
●此功率波形的rms值为1.225 W。
计算此值的一种方法是使用公式2[3]:
 
到底该不该使用rms功率呢?看了这篇就明白了~
 
可以在MATLAB® 或Excel中使用更详细的公式[4]来验算这个值。
●此功率波形的平均值为1 W。这可以通过查看波形看到;波形在1 V上下对称波动。计算波形数据点的平均数可以得出相同的值。
●平均功率数值与使用rms电压计算得出的功率值相同。
 
1 V rms正弦电压施加于1 Ω电阻时,功耗为1 W,而不是1.225 W。所以,能够得出正确值的是平均功率,平均功率具有实际意义。Rms功率(如此处所定义)没有明显的实用意义(没有明显的物理/电气意义),只是实践练习中可以计算的一个量。
 
例如,采用1 A rms正弦电流通过1 Ω电阻,执行相同的分析。得出的结果相同。
 
集成电路(IC)的电源一般为直流电源,所以rms功率对IC电源没有影响。对于直流而言,平均功率和rms功率的值相同。与本文中定义的rms功率不同,使用平均功率的重要性也适用于需要考虑随时间变化的电压和电流(即噪声、RF信号和振荡器)相关功率的情形。
 
使用rms电压和/或rms电流来计算平均功率,可以得出有意义的功率值。
 
[1] 电压施加于电阻两端产生功耗具有一种基本关系,可以从欧姆定律(V = Ir)以及电压(电能/电荷单位)和电流(电荷单位/时间)的基本定义轻松得出。电压 × 电流 = 电能/时间 = 功率
[2] 正弦电压的峰峰幅度 = rms值 × 2√2。对于正弦电压,V p-p = V rms × 2√2,其中V p-p表示峰峰电压,V rms表示rms电压。
[3] 这是从恒定的直流偏置值加上单独的rms交流值得出的rms值中演变而来。
[4] 标准教科书中提供的是以下这种更详细的公式。
 
到底该不该使用rms功率呢?看了这篇就明白了~
(来源:亚德诺半导体)

免责声明:本文为转载文章,转载此文目的在于传递更多信息,版权归原作者所有。本文所用视频、图片、文字如涉及作品版权问题,请联系小编进行处理。
 
 
推荐阅读:
一个灯泡,是如何实现窃听技术的?
如何增加压电变送器蜂鸣器音频输出?
英特尔宋继强:坚持不懈的科研将推动AI向3.0时代跃迁
ST市场策略:聚焦亚洲工业市场, 探索电力和能源及电机控制领域增长机会
ROKAE珞石隆重亮相OFweek机器人在线展
要采购变送器么,点这里了解一下价格!
特别推荐
技术文章更多>>
技术白皮书下载更多>>
热门搜索

关闭

?

关闭