【导读】 本文介绍的内容是电源电路中常用的缓冲电路的组成元器件和常数。这里的缓冲电路不仅用于本文中的准谐振转换器,还用于其他文章中提到的反激式转换器。
本文介绍的内容是电源电路中常用的缓冲电路的组成元器件和常数。这里的缓冲电路不仅用于本文中的准谐振转换器,还用于其他文章中提到的反激式转换器。
什么是缓冲电路
缓冲电路是抑制浪涌的电路。在本例中是为了抑制输入浪涌而设置在输入端,其实也可用于输出端。由于输入连接于变压器的一次侧,所以受变压器的漏电感影响,当MOSFET从ON变为OFF的瞬间,将产生较大的浪涌电压(尖峰噪声)。这种浪涌电压施加在MOSFET的漏极-源极之间,因此如果产生的浪涌电压超过MOSFET的耐压,可能会造成MOSFET损坏。为了防止MOSFET损坏,插入由RCD(电阻、电容、二极管)组成的缓冲电路以抑制浪涌电压。由于大多数情况下都会产生这种浪涌,因此建议在设计之初就设置缓冲电路。
缓冲电路:Rsnubber1、Csnubber1及D13、D14、D15、D16
在本例中使用的缓冲电路,由电阻Rsnubber1、电容Csnubber1以及二极管D13、D14、D15、D16组成,只要去掉D15和D16就是典型的RCD缓冲电路。首先来确定钳位电压和钳位纹波电压,并按R、C、D的顺序确定常数。
1)钳位电压(Vclamp)、钳位纹波电压(Vripple)
钳位电压需要根据MOSFET的耐压考虑到余量来决定。余量取20%。
Vclamp=1700V×0.8=1360V
钳位纹波电压(Vripple)定为50V左右。

2)电阻Rsnubber1
Rsnubber1的选型需要满足以下条件:

这里设漏电感Lleak=Lp×10%=1750μH×10%=175μH,利用下列公式计算Po=25W、VIN(max)=900V时的Ip和fsw。

根据上述计算:

fsw从161kHz变为120kHz的原因与以前介绍的一样,因为电源IC的最大开关频率为120kHz。Rsnubber1是比计算结果253kΩ小的值,因此定为200kΩ。
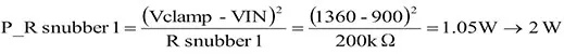
Rsnubber1的损耗P_Rsnubber1可利用以下公式进行计算。

考虑到余量,定为2W以上。最终Rsnubber1采用2W、200kΩ的电阻。

3)Csnubbe1
Csnubber1的电容量通过下列公式计算。

由于容量要大于1607pF,所以选择2200pF。
施加于Csnubber1的电压为从Vclamp减去VIN(MAX)后的电压,即1360V-900=460V,因此考虑到余量,Csnubber1的耐压定为600V以上。最终选用2200pF、2kV、10%、X7R、1210封装的陶瓷电容。
4)D13、D14
4个二极管中,D13和D14使用快速恢复二极管。耐压选择MOSFET的Vds(max)=1700V以上的电压。此次串联使用2个通用的UF4007(1000V、1A)。
由于浪涌电压不仅受变压器的漏电感影响,还受PCB板薄膜布线的寄生分量影响,因此需要在组装于实际PCB板中的状态下确认Vds,并根据实际的电压调整缓冲电路。
5)D15、D16
这些二极管是TVS(瞬态电压抑制)二极管,是浪涌吸收元件。当需要获得更优异的?;ば阅苁?,可添加TVS来吸收瞬态尖峰噪声。通过确认MOSFET开关时的波形来决定是否使用。施加于这部分的计算值电压与施加于Csnubber1的电压相同,均为460V,因此串联使用2个钳位电压274V的1.5KE200A二极管,来吸收超出的瞬态电压。
关键要点
● 为了抑制输入中的变压器漏电感引发的浪涌,可添加缓冲电路。
● 缓冲电路基本上采用RCD型电路,要想获得更优异的?;ば阅埽商砑覶VS二极管。
(来源:罗姆半导体集团)




