【导读】本文介绍了高压IGBT??樵谑扔跋煜碌氖倜す滥P?。此模型涉及的湿度加速因子是从温湿偏置试验中提取的;高压IGBT的温湿偏置试验在不同的湿度和不同的电压下进行测试,目的是为了找出湿度和电压对高压IGBT寿命的影响。最终,我们把湿度和电压对高压IGBT寿命的影响以及温度因数都集成到寿命预估模型中。通过试验,我们同时发现湿度对高压IGBT??榈氖倜泻艽笥跋臁?/strong>

1、引 言
在一些电力电子应用场合,不仅需要高压IGBT??橛杏乓斓男阅埽剐枰哂邢嗟备叩目煽啃?;为了满足实际需求,希望高压IGBT??榈氖倜艽锏?0年,所以,高压IGBT??榈氖倜す婪浅V匾R郧?,尽管我们都知道湿度会对高压IGBT??榈氖倜艽笥跋欤敲挥幸桓鲎既返氖倜す滥P桶咽纫蛩乜悸墙础H獾缁中芯渴榷愿哐笽GBT??榭煽啃缘挠跋?,从而得到新的高压IGBT??榈氖倜す滥P停ü飧瞿P屠丛す栏哐笽GBT的寿命。同时,三菱电机通过采用SCC(Surface Charge Control)技术开发了新一代高压IGBT???,具有抵御高湿度的能力。
2、高湿引起高压IGBT???/strong>
失效机理
三菱电机对湿度引起的失效模式进行了研究。高湿引起高压IGBT??榈氖Щ硐昙鸓CIM 2015论文[2]。

一般来说,击穿电压会随着IGBT芯片边缘电荷量QSS的增加而降低。图1为6.5kV 高压IGBT芯片的击穿电压随着QSS变化的曲线图。高湿度工况下的失效机理如下所述。
当给集电极和发射极之间施加电压,高压IGBT内部的凝胶会被电极化,芯片的边缘会累积电荷QSS,同时,凝胶中的湿气会加速电荷的集聚,此时,其击穿电压在高湿环境下会下降。所以湿度和电压会加速IGBT??榈耐嘶?,同时温度也会加速IGBT??榈耐嘶?。
三菱电机通过采用新的IGBT芯片边缘技术SCC(Surface Charge Control)提高了高压IGBT??樵诘钟呤确矫娴穆嘲粜浴?/div>
为了抑制IGBT芯片边缘电荷集聚,SCC技术采用了优化的半绝缘性材料替代传统的绝缘材料,这个半绝缘性层为集聚的载流子提供了通路,如图3所示,在高湿工况下,产生的载流子会通过半绝缘层传递出去,避免了电荷的大量集聚。

3、湿度影响下的寿命预估模型
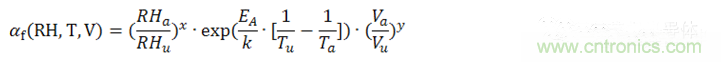
C. Zorn介绍了考虑湿度、温度和电压的加速模型[1]。
公式中,αf为测试的加速因子,也就是加速(后缀为a)测试条件下MTTF(Mean Time To Failures,平均无故障时间)与参考(后缀为u)测试条件下MTTF之比。EA是活化能,在0.79eV和0.95eV之间,k为玻尔兹曼常数。指数x为相对湿度的影响,指数y为电压的影响,都是经验数据,但是必须通过实际评估来确认。我们把此加速模型扩展到寿命预估模型中。
湿度的寿命模型为:

湿度加速因子:

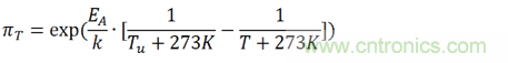
温度加速因子:

电压加速因子:

其中:LTb:在参考条件下的基本寿命;
RH[%]: 用于寿命计算的外界环境相对湿度;
T[℃]:用于寿命计算的外界环境温度;
V[V]:用于寿命计算的电压;
参考条件下的相对湿度为:RHu=75%。
参考条件下的环境温度为:Tu=25℃。
参考条件下的电压为:Vu=1500V。
相对湿度的经验影响因子为x。
电压的经验影响因子为y。
活化能EA=0.79eV。
玻尔兹曼常数k=8.62×10-5eV/K。
LT是考虑湿度、温度和电压的预估寿命,公式中的参数,LTb是参考条件下的基本寿命,与每个高压IGBT??榈慕峁瓜喙兀燃铀僖蜃?pi;H,温度加速因子πT,电压加速因子πV,其它的参数来自加速模型。在此寿命估算模型中,活化能EA定义为最小值0.79eV。同时,参考条件,RHu=75%和Tu=25℃是东京8月份的平均环境条件。除此之外,Vu=1500V为直流网压。
4、加速因子的估算
4.1 温湿反偏试验测试结果
3.3kV高压IGBT的温湿反偏试验是在以下三个条件下测试:测试条件A(Ta=85℃,相对湿度=85%, VCE=2800V),测试条件B(Ta=85℃,相对湿度=95%, VCE=2800V),测试条件C(Ta=85℃,相对湿度=95%, VCE=2000V),测试结果如图4,图5和图6所示。
根据失效机理,湿度引起的失效应该在芯片的边缘区域。试验过程中发生的失效点,同样在芯片的边缘,如图7所示。


4.2 湿度加速因子
如图4所示,在测试条件A的平均寿命为3023个小时。同样,如图5所示,在测试条件B的平均寿命为309个小时。所以,从相对湿度85%到相对湿度95%,加速因子αf_A-B通过计算为3023/309=9.78。相对湿度的经验影响因子x通过下式计算:

这里RHa_testB=95%, RHa_testA=85%, 所以上式的计算结果x=20.5。
4.3 电压加速因子
如图5所示,在测试条件B的平均寿命为309个小时。同样,如图6所示,在测试条件C的平均寿命为490个小时。所以,从电压2000V到电压2800V,加速因子αf_C-B通过计算为490/309=1.59。电压的经验影响因子y通过下式计算:

这里Va_testB=2800V, Va_testC=2000V,, 所以上式的计算结果y=1.37。
5. 3.3kV IGBT寿命预估
5.1 基本寿命时间
这里,参考条件定义为RHu=75%,Tu=25℃和Vu=1500V。通过公式(1),可以得到测试条件A中的加速因子αf_A为5.31k,测试条件B中的加速因子αf_B为52.0k,测试条件C中的加速因子αf_B为32.8k。综合这些加速因子,温湿反偏试验测试A、测试B和测试C转换为如表1、表2和表3所示的参考条件。

以上失效点集成为图8所示的威布尔曲线图,从图中可以得到,在参考条件下F(t)=10%的寿命为1210年。同时,在此威布尔分析中,排除了最大点和最小点。所以,在参考条件下,3.3kV IGBT的寿命LTb=1210年。

5.2 寿命预估模型
所有参数通过温湿反偏试验A、试验B和试验C得到确认。所以新的寿命预估模型如下:
湿度加速因子:

温度加速因子:

电压加速因子:

LTb=1210年,Tu=25℃,Vu=1500V,x=20.5,y=1.37,EA=0.79eV,k=8.62×10-5 eV/K
新的寿命预估模型仅考虑了湿度引起的失效,但是在实际运行时必须考虑除了湿度以外其它因素引起的失效。
5.3 寿命预估结果
通过以上寿命预估模型,可以预估3.3kV IGBT在不同工况下的寿命。图9展示了寿命预估结果,包含了在直流1500V下1年、30年和1000年的温度湿度矫正曲线。通过这些曲线,我们可以看到3.3kV IGBT有足够强的抵御湿度能力。

从上图可以看出,相对湿度增加11%或者温度增加40℃,都会造成寿命从1000年减为30年,所以,相对来说,相对湿度的影响比温度影响更大。一般来说,当变流器内部升温时,绝对湿度会保持不变。如果环境条件从温度38.9℃、相对湿度83.0%变为温度42.6℃、相对湿度68.8%,但是绝对湿度值保持40g/m3,寿命会从30年增加到1000年。所以,预加热是一种非常有效的抑制湿度失效的方法。
当然,1000年的计算值仅仅是考虑湿度情况下的寿命,如果考虑上其它因素,比如温度循环寿命等,IGBT??槭导适倜谑导手胁⒚挥姓饷闯?。
同时,以上寿命预估模型是基于温湿反偏试验,所以没有考虑温度快速变化的情况。特别当快速冷却会造成凝露,比高湿工况更加严酷。在实际工况中,这种温度快速变化的工况也应该考虑。为了防止凝露,同样的,预加热是一种有效的手段。
6. 结 论
本文介绍了考虑湿度影响的寿命预估模型。通过这个模型,得到了1500V情况下的1年、30年和1000年的温度湿度矫正曲线,并且确认了3.3kV IGBT模块具有足够的抑制湿度失效的能力。
同时,本文确定了高湿会对高压IGBT??榈氖倜艽蟮挠跋?,所以如果变流器在高湿工况下时,必须考虑湿度带来的影响。预加热是一种非常有效的抑制湿度失效的方法。
7. 参考文献
[1]Christian Zorn, Nando Kaminski, “Acceleration of Temperature Humidity Bias(THB) Testing on IGBT Modules by High Bias Levels,” 2015 IEEE
[2]N. Tanaka, et al., “Robust HVIGBT Modules Design against High Humidity,” PCIM Europe2015
[3]Shigeto Honda, Tatsuo Harada, Akito Nishii, Ze Chen, Kazuhiro Shimizu, “HighVoltage Device Edge Termination for Wide Temperature Range plus Humidity withSurface Charge Control (SCC) Technology,” ISPSD 2016.
推荐阅读:
MOS管栅极驱动电阻如何优化设计?
瑞萨电子携其最新解决方案亮相2018上海慕尼黑电子展
Vishay在ELECRAMA 2018印度展上举办“World of Solutions”主题展
推荐阅读:
MOS管栅极驱动电阻如何优化设计?
瑞萨电子携其最新解决方案亮相2018上海慕尼黑电子展
Vishay在ELECRAMA 2018印度展上举办“World of Solutions”主题展




