【导读】人们普遍认为,使用双极结型晶体管(BJT)电流源可以对双极结型晶体管差分放大器进行温度补偿,但事实并非如此。对I0进行温度补偿得到常数re,会导致电流源外部发射极电阻R0上的电压低,从而无法精确设置I0。本设计实例分析了BJT差分放大器的发射极电路电流源I0,及其不同实现方式对放大器增益的影响。
双极结型晶体管(BJT)对发射极耦合差分放大器电路是模拟设计人员熟悉的放大器级,但其复杂性也颇有意思。本文探讨了BJT差分放大器的发射极电路电流I0及其不同实现方式对放大器增益的影响。
人们普遍认为BJT电流源可以对BJT差分放大器进行温度补偿这一结论是正确的,但似乎并不知道其成立条件。典型电路如图1所示。

图1:差分输入差分输出电压放大器。
这是一款差分输入差分输出电压放大器。在输入和输出量差分的情况下,电路的增量电压增益为:

差分放大的条件是Aν1 = Aν2。当电路满足如下等式时,它是对称的:
然后电压增益变成:

其中rM是互阻,输入电压产生(pre-α)的输出电流流经该电阻。
好的设计目标是使Aν成为固定值。其中一个影响因素是选择具有低温度系数(TC)和足够精确的电阻器,这通常很容易实现。但对于高精度设计,由环境温度变化引起的阻值变化是需要考虑的因素。尤其还要考虑“热效应”,即由随νi一起变化的功耗变化引起的动态的、与波形相关的阻值变化。对于非常精确的设计,也必须考虑与施加电压相关的阻值变化。
在精确设计中,除这里使用的两个(re和β)BJT T模型参数之外,其它晶体管参数,即ro,也需要考虑在内。我们假设BJT具有足够高的厄利电压(Early voltage),因而不需要考虑ro——至少在这里不考虑。在实践中,这个假设通常是有效的。
BJT通常是电路中最不理想的元件。从增益公式可以看出,增量发射极电阻re和β这两个BJT参数影响增益。对于高β值——也即β>> 1,增益因子接近1:

对于典型β值200,α = 0.995,造成0.5%的增益误差。如果差太大,则需要α补偿技术。通常,该误差可以通过将其包含在增益公式中来弥补,正如我们所做的。更重要的是其温漂的大小。典型值为:
那么对于大的β,α的TC约为50 ppm;α通常不是大问题。
Av的互阻表达式rM(分母)是输入电压产生输入和输出回路共有的(发射极)电流的电阻。输出电流被α修改,导致发射器的电流通路的损耗。该互阻rM也包括以RB表示的β。如果RB保持为小数值,且输入由电压源驱动,则不必考虑β。如果源的阻值高,那么RB项会因β随温度变化而影响增益。其1 %/℃ 的变化要缩小到RB/(β + 1)在rM中不占主导的程度。保持RB为小数值是另一个设计考虑因数。
在rM中最麻烦的一项是re,因为它随着温度和发射极电流IE而变化,根据:

在IE恒定的情况下,re随热电压VT变化,而VT与绝对温度成比例变化。

在300K(约80℉)时,该值为1/300 K或约0.33 %/K = 0.33 %/℃。对于实验室品质的仪器设计,我们假设一个温度范围超过25℃ +/- 15℃,即10℃到40℃,超过此范围设备应能符合规范正常运行。在环境温度变化超过15℃的情况下,VT变化约5%,这对大多数精密设计来说太大了。因此,需要补偿增益的VT变化。
对re最简单的补偿方式是在rM中把它作为一个可以忽略的项(和RB项一起)。这是通过使RE占主导来实现的。对于RE>>re,re的漂移对增益的影响远低于5%。许多情况下,占主导地位的外部发射极阻值解决了漂移问题,但牺牲了增益和功耗。通过增加I0,re成比例地减小,但电路功耗增加。这不仅对功耗受限的设备不利,还会通过增加BJT中的ΔPD(νi)而加剧发热。
在某些情况下,re不能忽略不计,需要对其进行一些补偿。最常见的一种方法是使I0跟踪re并抵消其影响。为了使I0具有VT的TC,最简单的方法是使用BJT电流源实现I0。电流源BJT的b-e结电压随温升下降,I0增加、re减小。
电流源电路
我们将考虑的第一个电路源I0不过是个电阻R0,它返回到负电源。当电源电压–V接近负无穷大或者R0的值接近无穷大时,这个“长尾”电流源接近理想的电流源。它对re的TC没做补偿。
下面显示了第二个考虑的实现。

图2:电路在R0两端的电压为V – VBE(Q0)。
这个简单电路在R0两端的电压为V – VBE(Q0)。随着温度的升高,VBE降低,但与VT的TC无关。影响VBE的另一个主要BJT参数是在p-n结(b-e结)电压方程中发现的饱和电流IS:

对于典型的BJT(例如PN3904),IS ≈10 fA。那么,1mA的电流产生的VBE≅0.65 V。
VT和IS都对TC(VBE)产生影响。IS对VBE的影响大于VT,且极性相反,导致对VBE的总影响约为–2mV/℃。因此,取消IS影响比VT的更重要。
根据V和VBE的相对值,TC(VBE)的影响可以通过选择RE和电源电压V来调节,这通常受到系统级设计的限制。通过在发射极和地之间增加一个电阻网络,可以独立设置戴维宁(Thevenin)等效电源电压和R0值。如果正确地调节,随着T增加,VBE减小、I0增加。如果增加T引起的re减小抵消了由VT引起的re增加,那么BJT对的re和增益保持不变。
通过用T微分re,TC(re)的计算如下:
其中TC%是TC的分数变化。
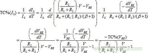
TC%(I0) = TC%(IE)的设定可以建构如下。R0上的唯一变化来自VBE。因此,由T引起的I0的分数变化是:

设定TC%(I0) = TC%(VT) = 1/T≅ 0.33 %/℃时,R0两端的电压,V – VBE = 0.6 V。在-V = -1.25V时,这个补偿方案不太有吸引力。TC(I0)的极性对补偿来说是正确的,但幅值不合要求,因此有了下一个方案,如图3所示。

图3:TC(I0)的极性对补偿来说是正确的,但幅值不合要求,因此有了新的方案。
I0的实现比以前的方案更通用、更常见?;痉制灯魑柚肨C%(I0)提供了额外的自由度,它有助于忽略TC(β),现在是:

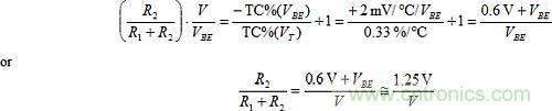
现在可以找到提供正确补偿的分压比。当TC%(I0)设置为等于TC%(VT)时,则:

这个结果很有意思;无论V值如何,空载分压器电压必须为1.25 V才能进行增益补偿。这也是带隙参考电压,也应该是。带隙电路使用负TC(VBE),并调节以抵消正TC(VT)。由此产生的带隙电压总是接近1.25V,并根据BJT掺杂水平略微变化。
经常用来提供粗略温度补偿的另一种电流源方案是插入与R2串联的二极管,如图4所示。

图4:经常用来提供粗略温度补偿的一种电流源方案是插入与R2串联的二极管。
常见的解释是,二极管的TC补偿了BJT b-e结的TC,导致更稳定的I0。一个典型的例子是使用1N4152二极管来补偿PN3904。然而,二极管和BJT b-e结是完全不同的。结梯度不同,为实现更高的击穿电压,二极管的掺杂水平远低于BJT基极。为了获得良好的发射极到基极注入效率,发射极少数载流子浓度被有意地做大,这是以VBE反向击穿为代价的,VBE反向击穿通常在7V左右,远低于二极管的40V。关键是,虽然两个结都是硅,却相当不匹配。
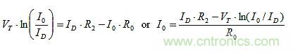
如果假定一个类似的BJT b-e结用作二极管,其基极连接到集电极,那么结点匹配就好得多(虽然不如相邻集成BJT好),并允许α ≅ 1,然后在BJT输入回路周围施加基尔霍夫电压定律(两个BJT结的IS被消除):

其中ID是二极管电流。如果结电流相等,则VT的TC被去除并且TC%(I0) ≅ 0 %/℃。这对需要稳定电流源的应用非常有用,但它没有补偿差分放大器的re。为得到所需的TC,电流必须有意设定为不相等,并且对于TC的补偿极性,它必须为正。因此,我们必须有ID>I0。
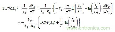
TC%(I0)通过上式中I0的隐函数微分求得:

通过另外的代数操作:

然后进行补偿,设TC%(I0) = TC%(VT) = 1/T,求解:

实际的电流比因指数函数而要求R0两端的电压不要大于VT。对于I0 = 2mA,R0 = 22Ω,VT = 26 mV,R0两端的电压为44mV或1.69xVT,ID = 14.77xI0 = 29.5mA,大于多数设计所需的值。为了使R0不在发射结电路中占主导地位,需要R0为这样的小值,以便能表示VBE的TC。然而在许多设计中,R0相对较大,且其压降远远超过VT。因此,re的TC%(VT)没有得到正确补偿,增益中存在TC漂移。
前面的方案省略了基极二极管,在允许较大的R0电压方面只是略好一点。也许我们应该逆向而行,在发射极中增加一或两个二极管。组合结的TC将是单结TC乘以组合数量,这将使RE按比例变大。我们通常不希望增加大量的串联二极管,因为这会造成I0的静态稳定性变差。因此,使用差动放大电流源进行re的温度补偿需要小心地进行电路静态设计。然后使I0对结参数敏感,并且这些参数(例如IS)在分立晶体管中具有稍宽的容差,即使相同部件号也是如此。就PN3904BJT来说,在相同电流和温度条件下,不同供应商或生产批次的产品,可能会有高达50mV的差异。这种补偿方法最适合单片集成。
结论
普遍认为,BJT电流源可以对BJT差分放大器进行温度补偿,但这并非放之四海而皆准。为常数re进行I0的温度补偿,导致电流源外部发射极电阻R0上的电压变得过低,使得无法精确设置I0。
因此,除了放大VT的更复杂的方案,在一些设计中,用于差分放大器增益稳定性的RE主导方法似乎是可接受的。另一个有多个级的方案是使用连续补偿(PNP)级来消除第一级的增益TC。




