【导读】很多电子工程师会问二极管重动态与直流电阻到底有什么关系,又有什么区别?这是很多人分不清楚的,其实直流电阻是二极管在一定伏安特性上,某一点端电压与其电流的比值。那么二极管中直流电阻和动态电阻之间有什么区别呢?
二极管经常在电路中被用作整流之用。作为一种非线性器件,其对直流与直流之间的等效电阻的反应也是不同的。而直流电阻是二极管在一定伏安特性上,某一点端电压与其电流的比值。那么二极管中直流电阻和动态电阻之间有什么区别呢?

(a) 电路

(b) 二极管伏安特性和工作点Q

(c) 二极管的直流电阻
图1
在直流电源V的作用下,对应于二极管电流ID和二极管两端电压UD的点称为静态工作点,该点对应的直流电阻为:

动态电阻是在一个固定的直流电压和电流(即静态工作点Q)的基础上,由交流信号ui引起特性曲线,在Q点附近的一小段电压和电流的变化产生的。若该交流信号ui是低频,而且幅度很?。ㄍǔ3频推敌⌒藕牛?,则由此引起的电流变化量也很小,这一小段特性曲线可以用通过Q点的切线来等效。

(a) 电路

(b) 二极管伏安特性

(c) 二极管的动态电阻
图2
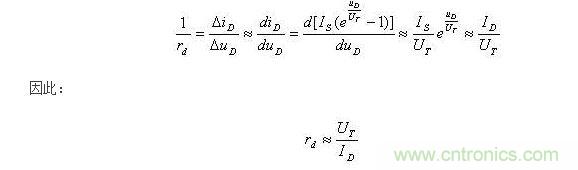
若在Q点的基础上外加微小的低频信号,二极管两端产生的电压变化量和电流变化量如图2(b)中所标注,则此时的二极管可等效成一个动态电阻rd,根据二极管的电流方程可得:

可得:

ID为静态电流,常温下UT=26mV。可知,静态电流ID越大,rd将越小。设UD=0.7V时,ID=2mA。由此可得直流电阻RD=350,而动态电阻(交流电阻)为:

可见二者相差甚远,切不可混淆。
通过前文的讲解和计算,相信大家对直流电阻和动态电阻的区别有了一定的认识,这也解释了在使用万用表的电阻档对二极管进行测量时,所得电阻为二极管的直流电阻,而并不是非动态电阻。
与此同时,在用万用表欧姆当对二极管的正向电阻进行测量时,因为万用表内阻不同,所以导致流经管子的电流强度不同,这就意味着工作点的不同,最后使得测量出的RD值也不同。



