【导读】当测量USB3.0通道的S参数时,可选的仪器是时域反射计或TDR。TDR系统通常往待测器件注入一个阶跃电压信号然后测量是时间函数的反射电压。差分测量通过产生极性相反可相对定时的阶跃电压对实现。这篇文章中谈到的都是差分信号。
下一代串行数据标准采用的高速率已经进入到微波领域。比如,Super Speed USB(USB3.0)通过双绞线对线缆传输速率就达到了5Gb/s。通过连接器和线缆传输如此高的速率必须考虑通道的不连续性引起的失真。为了将失真程度保持在一个可控的水平,标准规定了线缆和连接器对的阻抗和回波损耗。最新的测量使用S参数S11表征而且必须归一化到线缆的90欧姆差分阻抗。
反射电压与发射器和待测器件之间的阻抗失配成比例,关系如下式:
Z0是源阻抗,ZL(t)是待测器件的阻抗,r(t)是反射系数,Vr(t)/Vi(t)是入射和发射电压的比率。式(1)假设到待测器件的源,线缆和连接器都是匹配的,但事实上这种情况很少见。为了补偿线缆和连接器的不理想,参考平面校正(基线校正)通常进行开路,短路,负载校准。调整式(1)可以得到待测器件的阻抗和时间(或距离)的函数,所以可以使用校准过的TDR做阻抗测量。
图1展示了USB3.0带有连接器线缆的的阻抗曲线。曲线表明了随着TDR阶跃信号在线缆中的行进阻抗变化是时间的函数。注意轨迹两头的阻抗变化,那是由于连接器引起的,当使用上升时间100ps(阶跃信号)测试时连接器的阻抗规定是90+/-7欧。TDR的上升时间非常重要,因为阻抗变化和TDR阶跃信号的上升时间成反比,而规范规定的USB3.0信号的上升时间是100ps,测量中匹配这个上升时间将给出信号“看到的”阻抗。

图1:USB3.0带有连接器线缆的差分阻抗vs时间测量
回波损耗或S11是频域的测量和反射系数有关。归一化(通过反射平面校准基线校正)反射系数的傅里叶变换给出了回波损耗是频率的函数。图2给出了USB3.0线缆和连接器测量的结果。图中的横轴表示2GHz/div,范围是0~20GHz,纵轴表示10dB/div。回波损耗在2GHz大约是15dB,但随着频率的增加开始变得越来越小。精细的空值间隔是由线缆末端的连接器引起的,较大的空值间隔是由于连接器内部的阻抗结构决定的。

图2:USB3.0带有连接器线缆的差分回波损耗
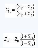
回波损耗可以参考图1中线缆和连接器阻抗是90欧而TDR系统差分阻抗是100欧,由于USB3.0发射机阻抗是90欧,这个不匹配人为地减少了回波损耗。为了正确的表达回波损耗,将阻抗转化为测试到的S11是非常必要的,转换关系由下式给出。

转化可以分为两步。首先,用特征阻抗是100欧姆的测试系统得出的复数S参数计算出复数的负载阻抗。其次,用新的90欧姆参考阻抗计算出负载阻抗的S参数?;夭ㄋ鸷氖瞧德实暮?,所以可以计算出每个频点的S参数。
举个例子,用100欧姆阻抗表征的复合回波损耗S11=0.53-0.12J转换到90欧姆的如下:

式2用来将图2中测到的插损转换到90欧姆差分阻抗。图3中的两个曲线给出了100欧姆和90欧姆特征阻抗的的回波损耗。

图3:100欧姆(虚线)和90欧姆参考(实线)的回波损耗
USB3.0线缆和连接器的差分阻抗可以使用校正的TDR系统测量插损而得出。通过对连接到待测器件的参考平面(基线校正)运行开路,短路,负载进行校正。通过简单的转换测试系统和待测器件之间的不同阻抗进行插损补偿。




