- 输入整流桥的选择
- 输入滤波电容器的选择
- 漏极钳位?;さ缏返纳杓?/strong>
本文介绍输入整流滤波器及钳位?;さ缏返纳杓疲ㄊ淙胝髑诺难≡?、输入滤波电容器的选择、漏极钳位?;さ缏返纳杓频饶谌?,讲解图文并茂且附实例计算。
1 输入整流桥的选择
1)整流桥的导通时间与选通特性
50Hz交流电压经过全波整流后变成脉动直流电压u1,再通过输入滤波电容得到直流高压U1。在理想情况下,整流桥的导通角本应为180°(导通范围是从 0°~180°),但由于滤波电容器C的作用,仅在接近交流峰值电压处的很短时间内,才有输入电流流经过整流桥对C充电。50Hz交流电的半周期为 10ms,整流桥的导通时间tC≈3ms,其导通角仅为54°(导通范围是36°~90°)。因此,整流桥实际通过的是窄脉冲电流。桥式整流滤波电路的原 理如图1(a)所示,整流滤波电压及整流电流的波形分别如图l(b)和(c)所示。

(1)整流桥的上述特性可等效成对应于输入电压频率的占空比大约为30%。
(2)整流二极管的一次导通过程,可视为一个“选通脉冲”,其脉冲重复频率就等于交流电网的频率(50Hz)。
(3)为降低开关电源中500kHz以下的传导噪声,有时用两只普通硅整流管(例如1N4007) 与两只快恢复二极管(如FR106)组成整流桥,FRl06的反向恢复时间trr≈250ns。
2)整流桥的参数选择
隔离式开关电源一般采用由整流管构成的整流桥,亦可直接选用成品整流桥,完成桥式整流。全波桥式整流器简称硅整流桥,它是将四只硅整流管接成桥路形式,再用塑料封装而成的半导体器件。它具有体积小、使用方便、各整流管的参数一致性好等优点,可广泛用于开关电源的整流电路。硅整流桥有4个引出端,其中交流输入端、直流输出端各两个。
硅整流桥的最大整流电流平均值分0.5~40A等多种规格,最高反向工作电压有50~1000V等多种规格。小功率硅整流桥可直接焊在印刷板上,大、中功率硅整流桥则要用螺钉固定,并且需安装合适的散热器。
整流桥的主要参数有反向峰值电压URM(V),正向压降UF(V),平均整流电流Id(A),正向峰值浪涌电流IFSM(A),最大反向漏电流 IR(μA)。整流桥的反向击穿电压URR应满足下式要求:
举例说明,当交流输入电压范围是85~132V时,umax=132V,由式(1)计算出UBR=233.3V,可选耐压400V的成品整流桥。对于宽范 围输入交流电压,umax=265V,同理求得UBR=468.4V,应选耐压600V的成品整流桥。需要指出,假如用4只硅整流管来构成整流桥,整流管 的耐压值还应进一步提高。辟如可选1N4007(1A/1000V)、1N5408(3A/1000V)型塑封整流管。这是因为此类管子的价格低廉,且按 照耐压值“宁高勿低”的原则,能提高整流桥的安全性与可靠性。
设输入有效值电流为IRMS,整流桥额定的有效值电流为IBR,应当使IBR≥2IRMS。计算IRMS的公式如下:
式中,PO为开关电源的输出功率,η为电源效率,umin为交流输入电压的最小值,cosφ为开关电源的功率因数,允许cosφ=0.5~0.7。由于整 流桥实际通过的不是正弦波电流,而是窄脉冲电流(参见图1),因此整流桥的平均整流电流Id 例如,设计一个7.5V/2A(15W)开关电源,交流输入电压范围是85~265V,要求η=80%。将Po=15W、η=80%、umin=85V、 cosψ=0.7一并代入(2)式得到,IRMS=0.32A,进而求出Id=0.65×IRMS=0.21A。实际选用lA/600V的整流桥,以留出一定余量。
[page]
2 输入滤波电容器的选择
1)输入滤波电容器容量的选择
为降低整流滤波器的输出纹波,输入滤波电容器的容量CI必须选的合适。令每单位输出功率(W)所需输入滤波电容器容量 (μF)的比例系数为k,当交流电压 u=85~265V时,应取k=(2~3)μF/W;当交流电压u=230V(1±15%)时,应取k=1μF/W。输入滤波电容器容量的选择方法详见附表l,Po为开关电源的输出功率。

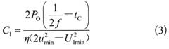
输入滤波电容的容量是开关电源的一个重要参数。CI值选得过低,会使UImin值大大降低,而输入脉动电压UR却升 高。但CI值取得过高,会增加电容器成本,而且对于提高UImin值和降低脉动电压的效果并不明显。下面介绍计算CI准确值的方法。
设交流电压u的最小值为umin。u经过桥式整流和CI滤波,在u=umin情况下的输入电压波形如图2所示。该图是在Po=POM,f=50Hz、整流桥的导通时间tC=3ms、η=80%的情况下绘出的。由图可见,在直流高压的最小值UImin上还叠加一个幅度为UR的一次侧脉动电压,这是CI在充放 电过程中形成的。欲获得CI的准确值,可按下式进行计算:

3 漏极钳位?;さ缏返纳杓?br />
对反激式开关电源而言,每当功率开关管(MOSFET)由导通变成截止时,在开关电源的一次绕组上就会产生尖峰电压和感应电压。其中的尖峰电压是由于高频变压器存在漏感(即漏磁产生的自感)而形成的,它与直流高压UI和感应电压UOR叠加在MOSFET的漏极上,很容易损坏MOSFET。为此,必须在增加 漏极钳位?;さ缏罚约夥宓缪菇星换蛘呶?。
1)漏极上各电压参数的电位分布
下面分析输入直流电压的最大值UImax、一次绕组的感应电压UOR、钳位电压UB与UBM、最大漏极电压UDmax、漏一源击穿电压U(BR)DS这6 个电压参数的电位分布情况使读者能有一个定量的概念。对于TOPSwitch—XX系列单片开关电源,其功率开关管的漏一源击穿电压 U(BR)DS≥700V,现取下限值700V。感应电压UOR=135V(典型值)。本来钳位二极管的钳位电压UB只需取135V,即可将叠加在UOR 上由漏感造成的尖峰电压吸收掉,实际却不然。手册中给出UB参数值仅表示工作在常温、小电流情况下的数值。实际上钳位二极管(即瞬态电压抑制器TVS)还 具有正向温度系数,它在高温、大电流条件下的钳位电压UBM要远高于UB。实验表明,二者存在下述关系:
这表明UBM大约比UB高40%。为防止钳位二极管对一次侧感应电压UOR也起到钳位作用,所选用的TVS钳位电压应按下式计算:
此外,还须考虑与钳位二极管相串联的阻塞二极管VD的影响。VD一般采用快恢复或超快恢复二极管,其特征是反向恢复时间(trr)很短。但是VDl在从反向截止到正向导通过程中还存在着正向恢复时间(tfr),还需留出20V的电压余量。
[page]
考虑上述因素之后,计算TOPSwitch一 最大漏一源极电压的经验公式应为:
TOPSwitch—XX系列单片开关电源在230V交流固定输入时,MOSFET的漏极上各电压参数的电位分布如图3所示,占空比D≈26%。此时 u=230V±35V,即umax=265V,UImax=umax≈375V,UOR=135V,UB=1.5 UOR≈200V,UBM=1.4UB=280V,UDmax=675V,最后再留出25V的电压余量,因此U(BR)DS=700V。实际上 U(BR)DS也具有正向温度系数,当环境温度升高时U(BR)DS也会升高,上述设计就为芯片耐压值提供了额外的裕量。


(2)利用阻容吸收元件和阻塞二极管组成的R、C、VD型钳位电路,如(b)图所示。
(3)由阻容吸收元件、TVS和阻塞二极管构成的R、C、TVS、VD型钳位电路,如(c)图所示。
(4)由稳压管(VDZ)、阻容吸收元件和阻塞二极管(快恢复二极管FRD)构成的VDz、R、C、VD型钳位电路,如(d)图所示。
上述方案中以(c)的?;ばЧ罴?,它能充分发挥TVS响应速度极快、可承受瞬态高能量脉冲之优点,并且还增加了RC吸收回路。鉴于压敏电阻器(VSR) 的标称击穿电压值(U1nA)离散性较大,响应速度也比TVS慢很多,在开关电源中一般不用它构成漏极钳位?;さ缏?。
需要指出,阻塞二极管一般可采用快恢复或超快恢复二极管。但有时也专门选择反向恢复时间较长的玻璃钝化整流管1N4005GP,其目的是使漏感能量能够得到恢复,以提高电源效率。玻璃钝化整流管的反向恢复时间介于快恢复二极管与普通硅整流管之间,但不得用普通硅整流管1N4005来代替lN4005GP。
常用钳位二极管和阻塞二极管的选择见附表2。




