中心议题:
- 连接器互调测量及产生原因
- 测量数据与计算数据的对比
在微波网络中,同轴连接器是引起互调的主要来源。同轴连接器的非线性特性是引起互调的主要原因。准确确定同轴连接器的无源互调对整个射频系统设计有重大的意义。
目前大多数的连接器生产厂家采用的测试方法都是一起测试两个同轴连接器,具体办法是根据需要测试的连接器制作一个圆桶状工装,然后将待测量的连接器的内导体锯短使之与外面的介质相齐平, 将两个连接器的内导体互相连接安装在工装里,一端接互调仪,另一端接低互调负载,测量两个连接器级联的互调值。这种测试方法有三个缺点:
(1)对不同的连接器要制作不同的工装,程序比较麻烦,耗时长;
(2)这种测试方法是抽样测试,虽然在工艺或者其他方面保证了互调的稳定性,但是毕竟不是个个测量,难免存在漏网之鱼,这会给用户带来困扰;
(3)在这种测试方法中,引入了一个新的接触面,就是内导体对内导体的平面,这对测试系统的残余互调会造成影响,但是很难确定影响的大小?;诖车牟馐苑椒ǖ闹种秩钡?,本文提出一种新的连接器的互调测试方法——开路测试法。
这种测试方法是让连接器的一端开路,另一端接互调仪。这种方法可以在不破坏同轴连接器的基础上确定同轴连接器的无源互调值。
本文首先建立一个连接器的测试模型,然后根据这个模型,利用矢量网络分析仪分别测量连接器模型在开路和接负载两种情况下的负载反射系数和源反射系数在不同频率的值。利用这些数据就可以计算出微波无源网络中同轴连接器在网络中开路和接负载两种情况下的互调。最后,用互调分析仪测量连接器的互调值验证了这种方法的有效性。
1 互调测量及产生原因
本文中所有PIM的测量都是采用Jonitcom公司的PIM分析仪,外型如图1所示。其简化的测量系统图如图2所示。


该系统中两个大功率载频f1和f2通过双工滤波器发射到DUT,终端接50 Ω负载。PIM产生的杂散信号在DUT中产生,并在两个方向传播——“前向”到匹配负载,“反向”到双工滤波器。发射激励信号的频率和被测的IM产物的频率由双工滤波器的TX和RX通道决定。接收机测量反向传播的IM波功率。
PIM测试分为两种,一种是传输测试法,如图3所示,另一种是反射测试法,如图4 所示。本文采用反射法测量,发射功率均为43 dBm。当载频为f1和f2,测量的IM产物的频率为

[page]
研究发现连接器中的非线性失真产生于沿着连接器的方向上的某一个特殊点(很象适配器上的金属和金属的连接接点)。在这个基础上,对被测器件分析。
DUT非线性产生的IM形成两个电压波:为反向传播IM电压波,它由DUT的反向端面发出;为前向传播IM电压波,产生于DUT的前向端面。如图5所示。电长度lback,lDUT,lfront决定PIM的值。
lfront为DUT反向断面到DUT内部第一个非线性点的距离,lDUT为DUT中第一个非线性点到最后一个非线性点之间的距离,lback为最后一个 非线性点到DUT前向端面之间的距离。源Vfront和Vback表示出现在DUT端面的测量系统的残余IM以及负载的电长度lload和负载阻抗 Zload。
不同的电长度lback,lDUT,lfront也对应着不同的反射系数,为了便于分析,引入图6的模型。源反射系数,负载反射系数包含的信息不但表明了被测器件的各种电长度,还表明了在不同负载下的匹配状态。

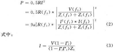
通过上面的讨论,所有IM源的电压在相位上叠加,在点源上形成的V(i(f))可以用N级泰勒级数近似表示:

那么PIM产生的功率的表达式为:


[page]
2 测量数据与计算数据的对比
为了验证该方法的有效性,本文给出了两个频段的PIM值的计算与测量结果对比。
频段l:800 MHz的通信系统的发射频段为869~894 MHz,接收频段为824~849 MHz。如图7所示。

同理得到第二个频段:1 800 MHz通信的发射频段为1 805~1 880 MHz,接收频段为1 730~1 880 MHz。如图8所示。

在800 MHz频段内,测量的接50 Ω负载的PIM值的范围是-69.3~-70.5 dBm,差值为1.2 dB,计算的接50 Ω负载的PIM值的范围是-68.8~-69.5 dBm,差值为0.7 dB,可以得出计算和测量的值相差很小。测量的开路状态的PIM值的范围是-88.4~-89.2 dBm,差值为O.8 dB计算的开路状态的PIM值的范围是-88.1~-89.1 dBm,差值为1 dB。接负载和开路,两者PIM大约差19 dB。
在l 800 MHz频段内,测量的接50 Ω负载的PIM值的范围是-119.1~-120.0 dBm,差值为O.9 dB。计算的接50 Ω负载的PIM值的范围是-118.1~-120.0 dBm,差值为1.9 dB可以得出计算和测量的值相差很小。
测量的开路状态的PIM值的范围是-109.O~-109.9 dBm,差值为0.9 dB,计算的开路状态的PIM值的范围是-109.8~-110.5 dBm,差值为0.7 dB,接负载和开路,两者PIM大约差10 dB。
由以上的分析可知,这种计算方法计算出来的PIM值和真实的PIM值十分接近,并且随频率的变化趋势一致。同时可以看出,在开路的时候所测量的 PIM明显要比接负载的时候所测量的PIM要大,增大的PIM值是因为匹配不好所造成,当然,相同的负载状况在不同的频率下呈现的匹配状态是不一样的。
3 结语
本文以连接器模型为基础,利用负载反射系数,源反射系数估算同轴连接器在微波无源网络中的PIM失真值。由此得到在不同负载下同轴连接器的PIM值。
文中分别计算和测量了在接50 Ω负载和开路两个状态的PIM值。根据计算和测量数据的对比结果,由负载反射系数,源反射系数估算同轴连接器在微波无源网络中的PIM失真值与真实测量值很吻合,这说明了用负载反射系数,源反射系数估算同轴连接器在微波无源网络中的PIM失真值的方法是有效的。提出了一种新的对于连接器互调的测试方法,使用这种方法测试时不需要对连接器做专门的工装,而且可以不做破坏性实验,实现连接器的个个检验,而不是传统测试方案中的抽检,从根本上保证了连接器互调的可靠性,真正实行了检验的作用。




